Defence Exam  >  Defence Questions  >  The line joining the points (2, 1, 3) and (4,... Start Learning for Free
The line joining the points (2, 1, 3) and (4, -2, 5) cuts the plane 2x + y-z = 3.
What is the ratio in which the plane divideds the line ?
  • a)
    1 :1
  • b)
    2 : 3
  • c)
    3 : 4
  • d)
    N one o f these
Correct answer is option 'D'. Can you explain this answer?
Verified Answer
The line joining the points (2, 1, 3) and (4, -2, 5) cuts the plane 2x...
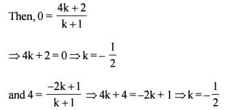
Let th e ratio is k : 1

View all questions of this test
Most Upvoted Answer
The line joining the points (2, 1, 3) and (4, -2, 5) cuts the plane 2x...
Given Information:
We are given two points: A(2, 1, 3) and B(4, -2, 5) and a plane equation: 2x - y - z = 3.

Approach:
To find the ratio in which the plane divides the line joining the two given points, we can follow these steps:
1. Find the equation of the line passing through points A and B.
2. Substitute the equation of the line into the plane equation to find the point of intersection.
3. Calculate the distances between the points of intersection and the given points A and B.
4. Find the ratio of these distances.

Calculation:
1. Finding the equation of the line passing through points A and B:
The equation of a line passing through two points (x₁, y₁, z₁) and (x₂, y₂, z₂) is given by:
(x - x₁)/(x₂ - x₁) = (y - y₁)/(y₂ - y₁) = (z - z₁)/(z₂ - z₁)

Substituting the given points A(2, 1, 3) and B(4, -2, 5) into the equation, we get:
(x - 2)/(4 - 2) = (y - 1)/(-2 - 1) = (z - 3)/(5 - 3)
(x - 2)/2 = (y - 1)/(-3) = (z - 3)/2

Simplifying the equation, we get:
3(x - 2) = -2(y - 1) = 2(z - 3)
3x - 6 = -2y + 2 = 2z - 6

Rearranging the terms, we get the equation of the line:
3x + 2y - 2z = -2

2. Substituting the equation of the line into the plane equation to find the point of intersection:
We need to solve the system of equations formed by the line equation and the plane equation.
We have:
2x - y - z = 3 (Plane equation)
3x + 2y - 2z = -2 (Line equation)

Solving these equations, we find the point of intersection:
Multiplying the plane equation by 2, we get:
4x - 2y - 2z = 6

Adding this equation to the line equation, we eliminate the y and z terms:
(3x + 4x) + (2y - 2y) + (-2z - 2z) = (-2 + 6)
7x = 4
x = 4/7

Substituting the value of x into the plane equation, we can find the values of y and z:
2(4/7) - y - z = 3
8/7 - y - z = 3
-y - z = 3 - 8/7
-y - z = 17/7

Since there are two variables and only one equation
Explore Courses for Defence exam
Question Description
The line joining the points (2, 1, 3) and (4, -2, 5) cuts the plane 2x + y-z = 3.What is the ratio in which the plane divideds the line ?a)1 :1b)2 : 3c)3 : 4d)N one o f theseCorrect answer is option 'D'. Can you explain this answer? for Defence 2025 is part of Defence preparation. The Question and answers have been prepared according to the Defence exam syllabus. Information about The line joining the points (2, 1, 3) and (4, -2, 5) cuts the plane 2x + y-z = 3.What is the ratio in which the plane divideds the line ?a)1 :1b)2 : 3c)3 : 4d)N one o f theseCorrect answer is option 'D'. Can you explain this answer? covers all topics & solutions for Defence 2025 Exam. Find important definitions, questions, meanings, examples, exercises and tests below for The line joining the points (2, 1, 3) and (4, -2, 5) cuts the plane 2x + y-z = 3.What is the ratio in which the plane divideds the line ?a)1 :1b)2 : 3c)3 : 4d)N one o f theseCorrect answer is option 'D'. Can you explain this answer?.
Solutions for The line joining the points (2, 1, 3) and (4, -2, 5) cuts the plane 2x + y-z = 3.What is the ratio in which the plane divideds the line ?a)1 :1b)2 : 3c)3 : 4d)N one o f theseCorrect answer is option 'D'. Can you explain this answer? in English & in Hindi are available as part of our courses for Defence. Download more important topics, notes, lectures and mock test series for Defence Exam by signing up for free.
Here you can find the meaning of The line joining the points (2, 1, 3) and (4, -2, 5) cuts the plane 2x + y-z = 3.What is the ratio in which the plane divideds the line ?a)1 :1b)2 : 3c)3 : 4d)N one o f theseCorrect answer is option 'D'. Can you explain this answer? defined & explained in the simplest way possible. Besides giving the explanation of The line joining the points (2, 1, 3) and (4, -2, 5) cuts the plane 2x + y-z = 3.What is the ratio in which the plane divideds the line ?a)1 :1b)2 : 3c)3 : 4d)N one o f theseCorrect answer is option 'D'. Can you explain this answer?, a detailed solution for The line joining the points (2, 1, 3) and (4, -2, 5) cuts the plane 2x + y-z = 3.What is the ratio in which the plane divideds the line ?a)1 :1b)2 : 3c)3 : 4d)N one o f theseCorrect answer is option 'D'. Can you explain this answer? has been provided alongside types of The line joining the points (2, 1, 3) and (4, -2, 5) cuts the plane 2x + y-z = 3.What is the ratio in which the plane divideds the line ?a)1 :1b)2 : 3c)3 : 4d)N one o f theseCorrect answer is option 'D'. Can you explain this answer? theory, EduRev gives you an ample number of questions to practice The line joining the points (2, 1, 3) and (4, -2, 5) cuts the plane 2x + y-z = 3.What is the ratio in which the plane divideds the line ?a)1 :1b)2 : 3c)3 : 4d)N one o f theseCorrect answer is option 'D'. Can you explain this answer? tests, examples and also practice Defence tests.
Explore Courses for Defence exam

Top Courses for Defence

Explore Courses
Signup for Free!
Signup to see your scores go up within 7 days! Learn & Practice with 1000+ FREE Notes, Videos & Tests.
10M+ students study on EduRev