JEE Exam  >  JEE Questions  >  If (1 + x + x2)n = a0 + a1x + a2x2 + ..... + ... Start Learning for Free
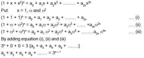
If (1 + x + x2)n = a0 + a1x + a2x2 + ..... + a2nx2n, then a0 + a3 + a6 + ....... is equal to 
  • a)
    3n – 1
  • b)
    2n – 1
  • c)
    3n
  • d)
    3n – 1
Correct answer is option 'D'. Can you explain this answer?
Verified Answer
If (1 + x + x2)n = a0 + a1x + a2x2 + ..... + a2nx2n, then a0 + a3 + a6...
View all questions of this test
Most Upvoted Answer
If (1 + x + x2)n = a0 + a1x + a2x2 + ..... + a2nx2n, then a0 + a3 + a6...
The given expression can be rewritten as:

(1 + x + x^2)^n = a0 + a1x + a2x^2 + ... + a2nx^(2n)

To find the terms a0, a3, a6, ..., we need to find the terms with powers of x that are multiples of 3.

When expanding (1 + x + x^2)^n, the powers of x will be of the form (x^k)(x^l)(x^m), where k + l + m = 2n.

If we want the power of x to be a multiple of 3, we need k, l, and m to all be multiples of 3.

Since k + l + m = 2n, and we want k, l, and m to be multiples of 3, we can let k = 3a, l = 3b, and m = 3c, where a, b, and c are integers.

Substituting these values into k + l + m = 2n, we get 3a + 3b + 3c = 2n.

Simplifying, we have a + b + c = (2n)/3.

Since a, b, and c are integers, (2n)/3 must be an integer.

Therefore, for the powers of x to be multiples of 3, n must be a multiple of 3.

So, the terms a0, a3, a6, ... are the coefficients of x^0, x^3, x^6, ..., respectively.

Since n must be a multiple of 3, we can write n as 3k, where k is an integer.

Then, the terms a0, a3, a6, ... are the coefficients of x^0, x^3, x^6, ..., respectively, when expanding (1 + x + x^2)^(3k).

Therefore, a0, a3, a6, ... = 3k.
Explore Courses for JEE exam
Question Description
If (1 + x + x2)n = a0 + a1x + a2x2 + ..... + a2nx2n, then a0 + a3 + a6 + ....... is equal toa)3n – 1b)2n – 1c)3nd)3n – 1Correct answer is option 'D'. Can you explain this answer? for JEE 2025 is part of JEE preparation. The Question and answers have been prepared according to the JEE exam syllabus. Information about If (1 + x + x2)n = a0 + a1x + a2x2 + ..... + a2nx2n, then a0 + a3 + a6 + ....... is equal toa)3n – 1b)2n – 1c)3nd)3n – 1Correct answer is option 'D'. Can you explain this answer? covers all topics & solutions for JEE 2025 Exam. Find important definitions, questions, meanings, examples, exercises and tests below for If (1 + x + x2)n = a0 + a1x + a2x2 + ..... + a2nx2n, then a0 + a3 + a6 + ....... is equal toa)3n – 1b)2n – 1c)3nd)3n – 1Correct answer is option 'D'. Can you explain this answer?.
Solutions for If (1 + x + x2)n = a0 + a1x + a2x2 + ..... + a2nx2n, then a0 + a3 + a6 + ....... is equal toa)3n – 1b)2n – 1c)3nd)3n – 1Correct answer is option 'D'. Can you explain this answer? in English & in Hindi are available as part of our courses for JEE. Download more important topics, notes, lectures and mock test series for JEE Exam by signing up for free.
Here you can find the meaning of If (1 + x + x2)n = a0 + a1x + a2x2 + ..... + a2nx2n, then a0 + a3 + a6 + ....... is equal toa)3n – 1b)2n – 1c)3nd)3n – 1Correct answer is option 'D'. Can you explain this answer? defined & explained in the simplest way possible. Besides giving the explanation of If (1 + x + x2)n = a0 + a1x + a2x2 + ..... + a2nx2n, then a0 + a3 + a6 + ....... is equal toa)3n – 1b)2n – 1c)3nd)3n – 1Correct answer is option 'D'. Can you explain this answer?, a detailed solution for If (1 + x + x2)n = a0 + a1x + a2x2 + ..... + a2nx2n, then a0 + a3 + a6 + ....... is equal toa)3n – 1b)2n – 1c)3nd)3n – 1Correct answer is option 'D'. Can you explain this answer? has been provided alongside types of If (1 + x + x2)n = a0 + a1x + a2x2 + ..... + a2nx2n, then a0 + a3 + a6 + ....... is equal toa)3n – 1b)2n – 1c)3nd)3n – 1Correct answer is option 'D'. Can you explain this answer? theory, EduRev gives you an ample number of questions to practice If (1 + x + x2)n = a0 + a1x + a2x2 + ..... + a2nx2n, then a0 + a3 + a6 + ....... is equal toa)3n – 1b)2n – 1c)3nd)3n – 1Correct answer is option 'D'. Can you explain this answer? tests, examples and also practice JEE tests.
Explore Courses for JEE exam

Top Courses for JEE

Explore Courses
Signup for Free!
Signup to see your scores go up within 7 days! Learn & Practice with 1000+ FREE Notes, Videos & Tests.
10M+ students study on EduRev