Mechanical Engineering Exam  >  Mechanical Engineering Questions  >   Maximum stress induced at the edge of an ell... Start Learning for Free
Maximum stress induced at the edge of an elliptical hole of major axis 4 mm and minor axis 1.5 mm in a flat plate, as shown in figure, is
Correct answer is 'A'. Can you explain this answer?
Verified Answer
Maximum stress induced at the edge of an elliptical hole of major axi...
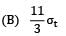
a = major axis
b = minor axis
View all questions of this test
Most Upvoted Answer
Maximum stress induced at the edge of an elliptical hole of major axi...
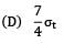
a = major axis
b = minor axis
Explore Courses for Mechanical Engineering exam

Top Courses for Mechanical Engineering

Question Description
Maximum stress induced at the edge of an elliptical hole of major axis 4 mm and minor axis 1.5 mm in a flat plate, as shown in figure, isCorrect answer is 'A'. Can you explain this answer? for Mechanical Engineering 2025 is part of Mechanical Engineering preparation. The Question and answers have been prepared according to the Mechanical Engineering exam syllabus. Information about Maximum stress induced at the edge of an elliptical hole of major axis 4 mm and minor axis 1.5 mm in a flat plate, as shown in figure, isCorrect answer is 'A'. Can you explain this answer? covers all topics & solutions for Mechanical Engineering 2025 Exam. Find important definitions, questions, meanings, examples, exercises and tests below for Maximum stress induced at the edge of an elliptical hole of major axis 4 mm and minor axis 1.5 mm in a flat plate, as shown in figure, isCorrect answer is 'A'. Can you explain this answer?.
Solutions for Maximum stress induced at the edge of an elliptical hole of major axis 4 mm and minor axis 1.5 mm in a flat plate, as shown in figure, isCorrect answer is 'A'. Can you explain this answer? in English & in Hindi are available as part of our courses for Mechanical Engineering. Download more important topics, notes, lectures and mock test series for Mechanical Engineering Exam by signing up for free.
Here you can find the meaning of Maximum stress induced at the edge of an elliptical hole of major axis 4 mm and minor axis 1.5 mm in a flat plate, as shown in figure, isCorrect answer is 'A'. Can you explain this answer? defined & explained in the simplest way possible. Besides giving the explanation of Maximum stress induced at the edge of an elliptical hole of major axis 4 mm and minor axis 1.5 mm in a flat plate, as shown in figure, isCorrect answer is 'A'. Can you explain this answer?, a detailed solution for Maximum stress induced at the edge of an elliptical hole of major axis 4 mm and minor axis 1.5 mm in a flat plate, as shown in figure, isCorrect answer is 'A'. Can you explain this answer? has been provided alongside types of Maximum stress induced at the edge of an elliptical hole of major axis 4 mm and minor axis 1.5 mm in a flat plate, as shown in figure, isCorrect answer is 'A'. Can you explain this answer? theory, EduRev gives you an ample number of questions to practice Maximum stress induced at the edge of an elliptical hole of major axis 4 mm and minor axis 1.5 mm in a flat plate, as shown in figure, isCorrect answer is 'A'. Can you explain this answer? tests, examples and also practice Mechanical Engineering tests.
Explore Courses for Mechanical Engineering exam

Top Courses for Mechanical Engineering

Explore Courses
Signup for Free!
Signup to see your scores go up within 7 days! Learn & Practice with 1000+ FREE Notes, Videos & Tests.
10M+ students study on EduRev