Railways Exam  >  Railways Questions  >   In a family of six members T, U, V, X, Y and... Start Learning for Free
In a family of six members T, U, V, X, Y and Z, Y is the father of V. X is T’s only grand-child. T has two children: Z and V, one of them is a boy and the other is girl. V is X’s only uncle. U is Z’s daughter-in-law. How is Y related to X
  • a)
    Brother.
  • b)
    Grand-father.
  • c)
    Father.
  • d)
    Son
Correct answer is option 'B'. Can you explain this answer?
Verified Answer
In a family of six members T, U, V, X, Y and Z, Y is the father of V....
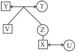
T has two children Z and V. Y is the father of V. Therefore, T is the mother and Y is the father of Z, and V. V is X’s only uncle. So, V is a male, and Z is a female. X is T’s only grandchild. Therefore, X is the child of Z (as V is the uncle of Z). Therefore, U is the wife of X, and X is the son of Z as U is Z’s daughter-in-law.
Thus, we can have the following diagram.
Thus, Y is the grand-father of X.
View all questions of this test
Explore Courses for Railways exam
Question Description
In a family of six members T, U, V, X, Y and Z, Y is the father of V. X is T’s only grand-child. T has two children: Z and V, one of them is a boy and the other is girl. V is X’s only uncle. U is Z’s daughter-in-law. How is Y related to Xa)Brother.b)Grand-father.c)Father.d)SonCorrect answer is option 'B'. Can you explain this answer? for Railways 2025 is part of Railways preparation. The Question and answers have been prepared according to the Railways exam syllabus. Information about In a family of six members T, U, V, X, Y and Z, Y is the father of V. X is T’s only grand-child. T has two children: Z and V, one of them is a boy and the other is girl. V is X’s only uncle. U is Z’s daughter-in-law. How is Y related to Xa)Brother.b)Grand-father.c)Father.d)SonCorrect answer is option 'B'. Can you explain this answer? covers all topics & solutions for Railways 2025 Exam. Find important definitions, questions, meanings, examples, exercises and tests below for In a family of six members T, U, V, X, Y and Z, Y is the father of V. X is T’s only grand-child. T has two children: Z and V, one of them is a boy and the other is girl. V is X’s only uncle. U is Z’s daughter-in-law. How is Y related to Xa)Brother.b)Grand-father.c)Father.d)SonCorrect answer is option 'B'. Can you explain this answer?.
Solutions for In a family of six members T, U, V, X, Y and Z, Y is the father of V. X is T’s only grand-child. T has two children: Z and V, one of them is a boy and the other is girl. V is X’s only uncle. U is Z’s daughter-in-law. How is Y related to Xa)Brother.b)Grand-father.c)Father.d)SonCorrect answer is option 'B'. Can you explain this answer? in English & in Hindi are available as part of our courses for Railways. Download more important topics, notes, lectures and mock test series for Railways Exam by signing up for free.
Here you can find the meaning of In a family of six members T, U, V, X, Y and Z, Y is the father of V. X is T’s only grand-child. T has two children: Z and V, one of them is a boy and the other is girl. V is X’s only uncle. U is Z’s daughter-in-law. How is Y related to Xa)Brother.b)Grand-father.c)Father.d)SonCorrect answer is option 'B'. Can you explain this answer? defined & explained in the simplest way possible. Besides giving the explanation of In a family of six members T, U, V, X, Y and Z, Y is the father of V. X is T’s only grand-child. T has two children: Z and V, one of them is a boy and the other is girl. V is X’s only uncle. U is Z’s daughter-in-law. How is Y related to Xa)Brother.b)Grand-father.c)Father.d)SonCorrect answer is option 'B'. Can you explain this answer?, a detailed solution for In a family of six members T, U, V, X, Y and Z, Y is the father of V. X is T’s only grand-child. T has two children: Z and V, one of them is a boy and the other is girl. V is X’s only uncle. U is Z’s daughter-in-law. How is Y related to Xa)Brother.b)Grand-father.c)Father.d)SonCorrect answer is option 'B'. Can you explain this answer? has been provided alongside types of In a family of six members T, U, V, X, Y and Z, Y is the father of V. X is T’s only grand-child. T has two children: Z and V, one of them is a boy and the other is girl. V is X’s only uncle. U is Z’s daughter-in-law. How is Y related to Xa)Brother.b)Grand-father.c)Father.d)SonCorrect answer is option 'B'. Can you explain this answer? theory, EduRev gives you an ample number of questions to practice In a family of six members T, U, V, X, Y and Z, Y is the father of V. X is T’s only grand-child. T has two children: Z and V, one of them is a boy and the other is girl. V is X’s only uncle. U is Z’s daughter-in-law. How is Y related to Xa)Brother.b)Grand-father.c)Father.d)SonCorrect answer is option 'B'. Can you explain this answer? tests, examples and also practice Railways tests.
Explore Courses for Railways exam

Top Courses for Railways

Explore Courses
Signup for Free!
Signup to see your scores go up within 7 days! Learn & Practice with 1000+ FREE Notes, Videos & Tests.
10M+ students study on EduRev