Class 12 Exam  >  Class 12 Questions  >  Find the approximate value ofa)7.0142b)7.0879... Start Learning for Free
Find the approximate value of 
  • a)
    7.0142
  • b)
    7.087942
  • c)
    7.022
  • d)
    7.00714
Correct answer is option 'D'. Can you explain this answer?
Most Upvoted Answer
Find the approximate value ofa)7.0142b)7.087942c)7.022d)7.00714Correct...
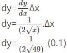
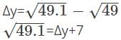
Let y= Let x=49 and Δx=0.1
Then, Δy= 

dy is approximately equal to Δy is equal to

dy=0.1/14=0.00714
∴ The approximate value of  is 7+0.00714=7.00714
Explore Courses for Class 12 exam

Top Courses for Class 12

Question Description
Find the approximate value ofa)7.0142b)7.087942c)7.022d)7.00714Correct answer is option 'D'. Can you explain this answer? for Class 12 2025 is part of Class 12 preparation. The Question and answers have been prepared according to the Class 12 exam syllabus. Information about Find the approximate value ofa)7.0142b)7.087942c)7.022d)7.00714Correct answer is option 'D'. Can you explain this answer? covers all topics & solutions for Class 12 2025 Exam. Find important definitions, questions, meanings, examples, exercises and tests below for Find the approximate value ofa)7.0142b)7.087942c)7.022d)7.00714Correct answer is option 'D'. Can you explain this answer?.
Solutions for Find the approximate value ofa)7.0142b)7.087942c)7.022d)7.00714Correct answer is option 'D'. Can you explain this answer? in English & in Hindi are available as part of our courses for Class 12. Download more important topics, notes, lectures and mock test series for Class 12 Exam by signing up for free.
Here you can find the meaning of Find the approximate value ofa)7.0142b)7.087942c)7.022d)7.00714Correct answer is option 'D'. Can you explain this answer? defined & explained in the simplest way possible. Besides giving the explanation of Find the approximate value ofa)7.0142b)7.087942c)7.022d)7.00714Correct answer is option 'D'. Can you explain this answer?, a detailed solution for Find the approximate value ofa)7.0142b)7.087942c)7.022d)7.00714Correct answer is option 'D'. Can you explain this answer? has been provided alongside types of Find the approximate value ofa)7.0142b)7.087942c)7.022d)7.00714Correct answer is option 'D'. Can you explain this answer? theory, EduRev gives you an ample number of questions to practice Find the approximate value ofa)7.0142b)7.087942c)7.022d)7.00714Correct answer is option 'D'. Can you explain this answer? tests, examples and also practice Class 12 tests.
Explore Courses for Class 12 exam

Top Courses for Class 12

Explore Courses
Signup for Free!
Signup to see your scores go up within 7 days! Learn & Practice with 1000+ FREE Notes, Videos & Tests.
10M+ students study on EduRev