Electrical Engineering (EE) Exam  >  Electrical Engineering (EE) Questions  >  The transconductance of a n-channel MOSFET wo... Start Learning for Free
The transconductance of a n-channel MOSFET working in saturation is . If the parameter width to length ratio is doubled by maintaining the current of same level then the new transconductance is
  • a)
  • b)
  • c)
  • d)
Correct answer is option 'B'. Can you explain this answer?
Verified Answer
The transconductance of a n-channel MOSFET working in saturation is ....
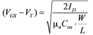
Expression of drain current for a n-channel MOSFET working in saturation is given as
And transconductance is given as
As only W/L is doubled and current In is constant, hence to see the effect on transconductance, finding the value of (VGS - VT) in term of constant In from equation (i),
Substituting this value in equation (ii),
View all questions of this test
Most Upvoted Answer
The transconductance of a n-channel MOSFET working in saturation is ....
Expression of drain current for a n-channel MOSFET working in saturation is given as
And transconductance is given as
As only W/L is doubled and current In is constant, hence to see the effect on transconductance, finding the value of (VGS - VT) in term of constant In from equation (i),
Substituting this value in equation (ii),
Explore Courses for Electrical Engineering (EE) exam

Top Courses for Electrical Engineering (EE)

Question Description
The transconductance of a n-channel MOSFET working in saturation is . If the parameter width to length ratio is doubled by maintaining the current of same level then the new transconductance isa)b)c)d)Correct answer is option 'B'. Can you explain this answer? for Electrical Engineering (EE) 2025 is part of Electrical Engineering (EE) preparation. The Question and answers have been prepared according to the Electrical Engineering (EE) exam syllabus. Information about The transconductance of a n-channel MOSFET working in saturation is . If the parameter width to length ratio is doubled by maintaining the current of same level then the new transconductance isa)b)c)d)Correct answer is option 'B'. Can you explain this answer? covers all topics & solutions for Electrical Engineering (EE) 2025 Exam. Find important definitions, questions, meanings, examples, exercises and tests below for The transconductance of a n-channel MOSFET working in saturation is . If the parameter width to length ratio is doubled by maintaining the current of same level then the new transconductance isa)b)c)d)Correct answer is option 'B'. Can you explain this answer?.
Solutions for The transconductance of a n-channel MOSFET working in saturation is . If the parameter width to length ratio is doubled by maintaining the current of same level then the new transconductance isa)b)c)d)Correct answer is option 'B'. Can you explain this answer? in English & in Hindi are available as part of our courses for Electrical Engineering (EE). Download more important topics, notes, lectures and mock test series for Electrical Engineering (EE) Exam by signing up for free.
Here you can find the meaning of The transconductance of a n-channel MOSFET working in saturation is . If the parameter width to length ratio is doubled by maintaining the current of same level then the new transconductance isa)b)c)d)Correct answer is option 'B'. Can you explain this answer? defined & explained in the simplest way possible. Besides giving the explanation of The transconductance of a n-channel MOSFET working in saturation is . If the parameter width to length ratio is doubled by maintaining the current of same level then the new transconductance isa)b)c)d)Correct answer is option 'B'. Can you explain this answer?, a detailed solution for The transconductance of a n-channel MOSFET working in saturation is . If the parameter width to length ratio is doubled by maintaining the current of same level then the new transconductance isa)b)c)d)Correct answer is option 'B'. Can you explain this answer? has been provided alongside types of The transconductance of a n-channel MOSFET working in saturation is . If the parameter width to length ratio is doubled by maintaining the current of same level then the new transconductance isa)b)c)d)Correct answer is option 'B'. Can you explain this answer? theory, EduRev gives you an ample number of questions to practice The transconductance of a n-channel MOSFET working in saturation is . If the parameter width to length ratio is doubled by maintaining the current of same level then the new transconductance isa)b)c)d)Correct answer is option 'B'. Can you explain this answer? tests, examples and also practice Electrical Engineering (EE) tests.
Explore Courses for Electrical Engineering (EE) exam

Top Courses for Electrical Engineering (EE)

Explore Courses
Signup for Free!
Signup to see your scores go up within 7 days! Learn & Practice with 1000+ FREE Notes, Videos & Tests.
10M+ students study on EduRev