JEE Exam  >  JEE Questions  >  Consider the lines L1 and L2 defined by L1 : ... Start Learning for Free
Consider the lines L1 and L2 defined by L1 : x√2 + y - 1 = 0 and L2 : x√2 - y + 1 = 0.
For a fixed constant λ , let C be the locus of a point P such that the product of the distance of P from L1 and the distance of P from L2 is λ2. The line y = 2x + 1 meets C at two points R and S, where the distance between R and S is √270
Let the perpendicular bisector of RS meet C at two distinct points R' and S'. Let D be the square of the distance between R' and S'
Q. The value of λ2 is _____.
    Correct answer is '9'. Can you explain this answer?
    Most Upvoted Answer
    Consider the lines L1 and L2 defined by L1 : x√2 + y - 1 = 0 and...
    Please provide the necessary information or image to assist you better.
    Free Test
    Community Answer
    Consider the lines L1 and L2 defined by L1 : x√2 + y - 1 = 0 and...
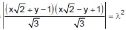
    Locus C = 

    Distance between R and S =   (tanθ is slope of line)

    So, 
    λ2 = 9
    Explore Courses for JEE exam
    Question Description
    Consider the lines L1 and L2 defined by L1 : x√2 + y - 1 = 0 and L2 : x√2 - y + 1 = 0.For a fixed constantλ , let C be the locus of a point P such that the product of the distance of P from L1 and the distance of P from L2 is λ2. The line y = 2x + 1 meets C at two points R and S, where the distance between R and S is√270Let the perpendicular bisector of RS meet C at two distinct points R and S. Let D be the square of the distance between R and SQ. The value ofλ2 is _____.Correct answer is '9'. Can you explain this answer? for JEE 2025 is part of JEE preparation. The Question and answers have been prepared according to the JEE exam syllabus. Information about Consider the lines L1 and L2 defined by L1 : x√2 + y - 1 = 0 and L2 : x√2 - y + 1 = 0.For a fixed constantλ , let C be the locus of a point P such that the product of the distance of P from L1 and the distance of P from L2 is λ2. The line y = 2x + 1 meets C at two points R and S, where the distance between R and S is√270Let the perpendicular bisector of RS meet C at two distinct points R and S. Let D be the square of the distance between R and SQ. The value ofλ2 is _____.Correct answer is '9'. Can you explain this answer? covers all topics & solutions for JEE 2025 Exam. Find important definitions, questions, meanings, examples, exercises and tests below for Consider the lines L1 and L2 defined by L1 : x√2 + y - 1 = 0 and L2 : x√2 - y + 1 = 0.For a fixed constantλ , let C be the locus of a point P such that the product of the distance of P from L1 and the distance of P from L2 is λ2. The line y = 2x + 1 meets C at two points R and S, where the distance between R and S is√270Let the perpendicular bisector of RS meet C at two distinct points R and S. Let D be the square of the distance between R and SQ. The value ofλ2 is _____.Correct answer is '9'. Can you explain this answer?.
    Solutions for Consider the lines L1 and L2 defined by L1 : x√2 + y - 1 = 0 and L2 : x√2 - y + 1 = 0.For a fixed constantλ , let C be the locus of a point P such that the product of the distance of P from L1 and the distance of P from L2 is λ2. The line y = 2x + 1 meets C at two points R and S, where the distance between R and S is√270Let the perpendicular bisector of RS meet C at two distinct points R and S. Let D be the square of the distance between R and SQ. The value ofλ2 is _____.Correct answer is '9'. Can you explain this answer? in English & in Hindi are available as part of our courses for JEE. Download more important topics, notes, lectures and mock test series for JEE Exam by signing up for free.
    Here you can find the meaning of Consider the lines L1 and L2 defined by L1 : x√2 + y - 1 = 0 and L2 : x√2 - y + 1 = 0.For a fixed constantλ , let C be the locus of a point P such that the product of the distance of P from L1 and the distance of P from L2 is λ2. The line y = 2x + 1 meets C at two points R and S, where the distance between R and S is√270Let the perpendicular bisector of RS meet C at two distinct points R and S. Let D be the square of the distance between R and SQ. The value ofλ2 is _____.Correct answer is '9'. Can you explain this answer? defined & explained in the simplest way possible. Besides giving the explanation of Consider the lines L1 and L2 defined by L1 : x√2 + y - 1 = 0 and L2 : x√2 - y + 1 = 0.For a fixed constantλ , let C be the locus of a point P such that the product of the distance of P from L1 and the distance of P from L2 is λ2. The line y = 2x + 1 meets C at two points R and S, where the distance between R and S is√270Let the perpendicular bisector of RS meet C at two distinct points R and S. Let D be the square of the distance between R and SQ. The value ofλ2 is _____.Correct answer is '9'. Can you explain this answer?, a detailed solution for Consider the lines L1 and L2 defined by L1 : x√2 + y - 1 = 0 and L2 : x√2 - y + 1 = 0.For a fixed constantλ , let C be the locus of a point P such that the product of the distance of P from L1 and the distance of P from L2 is λ2. The line y = 2x + 1 meets C at two points R and S, where the distance between R and S is√270Let the perpendicular bisector of RS meet C at two distinct points R and S. Let D be the square of the distance between R and SQ. The value ofλ2 is _____.Correct answer is '9'. Can you explain this answer? has been provided alongside types of Consider the lines L1 and L2 defined by L1 : x√2 + y - 1 = 0 and L2 : x√2 - y + 1 = 0.For a fixed constantλ , let C be the locus of a point P such that the product of the distance of P from L1 and the distance of P from L2 is λ2. The line y = 2x + 1 meets C at two points R and S, where the distance between R and S is√270Let the perpendicular bisector of RS meet C at two distinct points R and S. Let D be the square of the distance between R and SQ. The value ofλ2 is _____.Correct answer is '9'. Can you explain this answer? theory, EduRev gives you an ample number of questions to practice Consider the lines L1 and L2 defined by L1 : x√2 + y - 1 = 0 and L2 : x√2 - y + 1 = 0.For a fixed constantλ , let C be the locus of a point P such that the product of the distance of P from L1 and the distance of P from L2 is λ2. The line y = 2x + 1 meets C at two points R and S, where the distance between R and S is√270Let the perpendicular bisector of RS meet C at two distinct points R and S. Let D be the square of the distance between R and SQ. The value ofλ2 is _____.Correct answer is '9'. Can you explain this answer? tests, examples and also practice JEE tests.
    Explore Courses for JEE exam

    Top Courses for JEE

    Explore Courses
    Signup for Free!
    Signup to see your scores go up within 7 days! Learn & Practice with 1000+ FREE Notes, Videos & Tests.
    10M+ students study on EduRev