Electronics and Communication Engineering (ECE) Exam  >  Electronics and Communication Engineering (ECE) Questions  >   A p-type semiconductor with zero electric fi... Start Learning for Free
A p-type semiconductor with zero electric field is under illumination (low level injection) in steady state condition. Excess minority carrier density is zero at x = ±2ln , where ln = 10-4 cm is the diffusion length of electrons. Assume electronic charge, q = -1.6 x 10-19C . The profiles of photo-generation rate of carriers and the recombination rate of excess minority carriers (?) are shown. Under these conditions, the magnitude of the current density due to the photo-generated electrons at x = +2In is _________ mA/cm2
(round off to two decimal places).
  • a)
    0.57
  • b)
    0.61
Correct answer is between '0.57,0.61'. Can you explain this answer?
Verified Answer
A p-type semiconductor with zero electric field is under illumination...
Given
(i) p- Type semiconductor
(ii) Diffusion length of electrons, ln = 10-4 cm
(iii) Photo generation exist only between -ln to ln
(iv) Rate of recombination is exponential decay.
(v) No recombination and no generation exist between ln to 2ln and -ln to -2ln
Given diagram is shown below.
Excess minority carrier concentration is given by,
Differentiating excess minority carrier concentration n'(x) profile.
From continuity equation,
Hence, equations (i) becomes,
Where, G Photo generation rate (cm-3 /s) , R = Excess minority carrier recombination rate (cm-3 /s) .
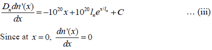
From equation (ii),
Integrating both sides,
Putting C = -1020In l in equation (iii).
From excess minority carrier concentration profile,
From equation (iii),
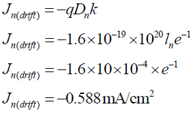
Electron current density at x = 2ln is given by,
Hence, the correct answer is 0.58.
View all questions of this test
Most Upvoted Answer
A p-type semiconductor with zero electric field is under illumination...
Given
(i) p- Type semiconductor
(ii) Diffusion length of electrons, ln = 10-4 cm
(iii) Photo generation exist only between -ln to ln
(iv) Rate of recombination is exponential decay.
(v) No recombination and no generation exist between ln to 2ln and -ln to -2ln
Given diagram is shown below.
Excess minority carrier concentration is given by,
Differentiating excess minority carrier concentration n'(x) profile.
From continuity equation,
Hence, equations (i) becomes,
Where, G Photo generation rate (cm-3 /s) , R = Excess minority carrier recombination rate (cm-3 /s) .
From equation (ii),
Integrating both sides,
Putting C = -1020In l in equation (iii).
From excess minority carrier concentration profile,
From equation (iii),
Electron current density at x = 2ln is given by,
Hence, the correct answer is 0.58.
Explore Courses for Electronics and Communication Engineering (ECE) exam

Top Courses for Electronics and Communication Engineering (ECE)

Question Description
A p-type semiconductor with zero electric field is under illumination (low level injection) in steady state condition. Excess minority carrier density is zero at x = ±2ln , where ln = 10-4 cm is the diffusion length of electrons. Assume electronic charge, q = -1.6 x 10-19C . The profiles of photo-generation rate of carriers and the recombination rate of excess minority carriers (?) are shown. Under these conditions, the magnitude of the current density due to the photo-generated electrons at x = +2In is _________ mA/cm2(round off to two decimal places).a)0.57b)0.61Correct answer is between '0.57,0.61'. Can you explain this answer? for Electronics and Communication Engineering (ECE) 2025 is part of Electronics and Communication Engineering (ECE) preparation. The Question and answers have been prepared according to the Electronics and Communication Engineering (ECE) exam syllabus. Information about A p-type semiconductor with zero electric field is under illumination (low level injection) in steady state condition. Excess minority carrier density is zero at x = ±2ln , where ln = 10-4 cm is the diffusion length of electrons. Assume electronic charge, q = -1.6 x 10-19C . The profiles of photo-generation rate of carriers and the recombination rate of excess minority carriers (?) are shown. Under these conditions, the magnitude of the current density due to the photo-generated electrons at x = +2In is _________ mA/cm2(round off to two decimal places).a)0.57b)0.61Correct answer is between '0.57,0.61'. Can you explain this answer? covers all topics & solutions for Electronics and Communication Engineering (ECE) 2025 Exam. Find important definitions, questions, meanings, examples, exercises and tests below for A p-type semiconductor with zero electric field is under illumination (low level injection) in steady state condition. Excess minority carrier density is zero at x = ±2ln , where ln = 10-4 cm is the diffusion length of electrons. Assume electronic charge, q = -1.6 x 10-19C . The profiles of photo-generation rate of carriers and the recombination rate of excess minority carriers (?) are shown. Under these conditions, the magnitude of the current density due to the photo-generated electrons at x = +2In is _________ mA/cm2(round off to two decimal places).a)0.57b)0.61Correct answer is between '0.57,0.61'. Can you explain this answer?.
Solutions for A p-type semiconductor with zero electric field is under illumination (low level injection) in steady state condition. Excess minority carrier density is zero at x = ±2ln , where ln = 10-4 cm is the diffusion length of electrons. Assume electronic charge, q = -1.6 x 10-19C . The profiles of photo-generation rate of carriers and the recombination rate of excess minority carriers (?) are shown. Under these conditions, the magnitude of the current density due to the photo-generated electrons at x = +2In is _________ mA/cm2(round off to two decimal places).a)0.57b)0.61Correct answer is between '0.57,0.61'. Can you explain this answer? in English & in Hindi are available as part of our courses for Electronics and Communication Engineering (ECE). Download more important topics, notes, lectures and mock test series for Electronics and Communication Engineering (ECE) Exam by signing up for free.
Here you can find the meaning of A p-type semiconductor with zero electric field is under illumination (low level injection) in steady state condition. Excess minority carrier density is zero at x = ±2ln , where ln = 10-4 cm is the diffusion length of electrons. Assume electronic charge, q = -1.6 x 10-19C . The profiles of photo-generation rate of carriers and the recombination rate of excess minority carriers (?) are shown. Under these conditions, the magnitude of the current density due to the photo-generated electrons at x = +2In is _________ mA/cm2(round off to two decimal places).a)0.57b)0.61Correct answer is between '0.57,0.61'. Can you explain this answer? defined & explained in the simplest way possible. Besides giving the explanation of A p-type semiconductor with zero electric field is under illumination (low level injection) in steady state condition. Excess minority carrier density is zero at x = ±2ln , where ln = 10-4 cm is the diffusion length of electrons. Assume electronic charge, q = -1.6 x 10-19C . The profiles of photo-generation rate of carriers and the recombination rate of excess minority carriers (?) are shown. Under these conditions, the magnitude of the current density due to the photo-generated electrons at x = +2In is _________ mA/cm2(round off to two decimal places).a)0.57b)0.61Correct answer is between '0.57,0.61'. Can you explain this answer?, a detailed solution for A p-type semiconductor with zero electric field is under illumination (low level injection) in steady state condition. Excess minority carrier density is zero at x = ±2ln , where ln = 10-4 cm is the diffusion length of electrons. Assume electronic charge, q = -1.6 x 10-19C . The profiles of photo-generation rate of carriers and the recombination rate of excess minority carriers (?) are shown. Under these conditions, the magnitude of the current density due to the photo-generated electrons at x = +2In is _________ mA/cm2(round off to two decimal places).a)0.57b)0.61Correct answer is between '0.57,0.61'. Can you explain this answer? has been provided alongside types of A p-type semiconductor with zero electric field is under illumination (low level injection) in steady state condition. Excess minority carrier density is zero at x = ±2ln , where ln = 10-4 cm is the diffusion length of electrons. Assume electronic charge, q = -1.6 x 10-19C . The profiles of photo-generation rate of carriers and the recombination rate of excess minority carriers (?) are shown. Under these conditions, the magnitude of the current density due to the photo-generated electrons at x = +2In is _________ mA/cm2(round off to two decimal places).a)0.57b)0.61Correct answer is between '0.57,0.61'. Can you explain this answer? theory, EduRev gives you an ample number of questions to practice A p-type semiconductor with zero electric field is under illumination (low level injection) in steady state condition. Excess minority carrier density is zero at x = ±2ln , where ln = 10-4 cm is the diffusion length of electrons. Assume electronic charge, q = -1.6 x 10-19C . The profiles of photo-generation rate of carriers and the recombination rate of excess minority carriers (?) are shown. Under these conditions, the magnitude of the current density due to the photo-generated electrons at x = +2In is _________ mA/cm2(round off to two decimal places).a)0.57b)0.61Correct answer is between '0.57,0.61'. Can you explain this answer? tests, examples and also practice Electronics and Communication Engineering (ECE) tests.
Explore Courses for Electronics and Communication Engineering (ECE) exam

Top Courses for Electronics and Communication Engineering (ECE)

Explore Courses
Signup for Free!
Signup to see your scores go up within 7 days! Learn & Practice with 1000+ FREE Notes, Videos & Tests.
10M+ students study on EduRev