Electrical Engineering (EE) Exam  >  Electrical Engineering (EE) Questions  >   A dc shunt motor runs at 1200 rpm on no load... Start Learning for Free
A dc shunt motor runs at 1200 rpm on no load drawing 5 A from 220 V mains. Its armature and field resistance are 0.25 Ω and 110 Ω respectively when loaded the motor draws 62 A from the mains. Assuming the armature reaction demagnetizes the field to the extent of 5%, the new speed in rpm is ___________.
    Correct answer is '1175'. Can you explain this answer?
    Most Upvoted Answer
    A dc shunt motor runs at 1200 rpm on no load drawing 5 A from 220 V m...
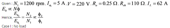
    Given Information:


    • No-load speed of the DC shunt motor: 1200 rpm

    • No-load current drawn by the motor: 5 A

    • Supply voltage: 220 V

    • Armature resistance: 0.25 Ω

    • Field resistance: 110 Ω

    • Load current drawn by the motor: 62 A

    • Armature reaction demagnetizes the field by 5%



    Calculation:

    1. Finding the Armature Voltage:

    The armature voltage can be calculated using Ohm's Law:
    V = I * R
    where,
    V is the armature voltage,
    I is the load current, and
    R is the armature resistance.

    Substituting the given values, we have:
    V = 62 A * 0.25 Ω
    V = 15.5 V

    2. Finding the Field Voltage:

    The field voltage can be calculated by subtracting the armature voltage from the supply voltage:
    Field Voltage = Supply Voltage - Armature Voltage
    Field Voltage = 220 V - 15.5 V
    Field Voltage = 204.5 V

    3. Finding the Field Current:

    The field current can be calculated using Ohm's Law:
    I_field = V_field / R_field
    where,
    I_field is the field current,
    V_field is the field voltage, and
    R_field is the field resistance.

    Substituting the given values, we have:
    I_field = 204.5 V / 110 Ω
    I_field ≈ 1.859 A

    4. Finding the Field Weakening Effect:

    The armature reaction demagnetizes the field to the extent of 5%. This means the effective field current is reduced by 5%.

    Field Weakening Effect = 5% of Field Current
    Field Weakening Effect = 5/100 * 1.859 A
    Field Weakening Effect ≈ 0.093 A

    Effective Field Current = Field Current - Field Weakening Effect
    Effective Field Current ≈ 1.859 A - 0.093 A
    Effective Field Current ≈ 1.766 A

    5. Finding the New Speed:

    The speed of a DC motor is inversely proportional to the flux produced by the field winding. As the effective field current decreases, the flux and hence the speed increases.

    Speed ∝ (1 / Flux)

    The new speed can be calculated using the formula:
    New Speed = No-load Speed * (Field Current / Effective Field Current)

    Substituting the given values, we have:
    New Speed = 1200 rpm * (1.859 A / 1.766 A)
    New Speed ≈ 1175 rpm

    Therefore, the new speed of the DC shunt motor is approximately 1175 rpm.
    Community Answer
    A dc shunt motor runs at 1200 rpm on no load drawing 5 A from 220 V m...
    Explore Courses for Electrical Engineering (EE) exam

    Top Courses for Electrical Engineering (EE)

    Question Description
    A dc shunt motor runs at 1200 rpm on no load drawing 5 A from 220 V mains. Its armature and field resistance are 0.25 Ω and 110 Ω respectively when loaded the motor draws 62 A from the mains. Assuming the armature reaction demagnetizes the field to the extent of 5%, the new speed in rpm is ___________.Correct answer is '1175'. Can you explain this answer? for Electrical Engineering (EE) 2025 is part of Electrical Engineering (EE) preparation. The Question and answers have been prepared according to the Electrical Engineering (EE) exam syllabus. Information about A dc shunt motor runs at 1200 rpm on no load drawing 5 A from 220 V mains. Its armature and field resistance are 0.25 Ω and 110 Ω respectively when loaded the motor draws 62 A from the mains. Assuming the armature reaction demagnetizes the field to the extent of 5%, the new speed in rpm is ___________.Correct answer is '1175'. Can you explain this answer? covers all topics & solutions for Electrical Engineering (EE) 2025 Exam. Find important definitions, questions, meanings, examples, exercises and tests below for A dc shunt motor runs at 1200 rpm on no load drawing 5 A from 220 V mains. Its armature and field resistance are 0.25 Ω and 110 Ω respectively when loaded the motor draws 62 A from the mains. Assuming the armature reaction demagnetizes the field to the extent of 5%, the new speed in rpm is ___________.Correct answer is '1175'. Can you explain this answer?.
    Solutions for A dc shunt motor runs at 1200 rpm on no load drawing 5 A from 220 V mains. Its armature and field resistance are 0.25 Ω and 110 Ω respectively when loaded the motor draws 62 A from the mains. Assuming the armature reaction demagnetizes the field to the extent of 5%, the new speed in rpm is ___________.Correct answer is '1175'. Can you explain this answer? in English & in Hindi are available as part of our courses for Electrical Engineering (EE). Download more important topics, notes, lectures and mock test series for Electrical Engineering (EE) Exam by signing up for free.
    Here you can find the meaning of A dc shunt motor runs at 1200 rpm on no load drawing 5 A from 220 V mains. Its armature and field resistance are 0.25 Ω and 110 Ω respectively when loaded the motor draws 62 A from the mains. Assuming the armature reaction demagnetizes the field to the extent of 5%, the new speed in rpm is ___________.Correct answer is '1175'. Can you explain this answer? defined & explained in the simplest way possible. Besides giving the explanation of A dc shunt motor runs at 1200 rpm on no load drawing 5 A from 220 V mains. Its armature and field resistance are 0.25 Ω and 110 Ω respectively when loaded the motor draws 62 A from the mains. Assuming the armature reaction demagnetizes the field to the extent of 5%, the new speed in rpm is ___________.Correct answer is '1175'. Can you explain this answer?, a detailed solution for A dc shunt motor runs at 1200 rpm on no load drawing 5 A from 220 V mains. Its armature and field resistance are 0.25 Ω and 110 Ω respectively when loaded the motor draws 62 A from the mains. Assuming the armature reaction demagnetizes the field to the extent of 5%, the new speed in rpm is ___________.Correct answer is '1175'. Can you explain this answer? has been provided alongside types of A dc shunt motor runs at 1200 rpm on no load drawing 5 A from 220 V mains. Its armature and field resistance are 0.25 Ω and 110 Ω respectively when loaded the motor draws 62 A from the mains. Assuming the armature reaction demagnetizes the field to the extent of 5%, the new speed in rpm is ___________.Correct answer is '1175'. Can you explain this answer? theory, EduRev gives you an ample number of questions to practice A dc shunt motor runs at 1200 rpm on no load drawing 5 A from 220 V mains. Its armature and field resistance are 0.25 Ω and 110 Ω respectively when loaded the motor draws 62 A from the mains. Assuming the armature reaction demagnetizes the field to the extent of 5%, the new speed in rpm is ___________.Correct answer is '1175'. Can you explain this answer? tests, examples and also practice Electrical Engineering (EE) tests.
    Explore Courses for Electrical Engineering (EE) exam

    Top Courses for Electrical Engineering (EE)

    Explore Courses
    Signup for Free!
    Signup to see your scores go up within 7 days! Learn & Practice with 1000+ FREE Notes, Videos & Tests.
    10M+ students study on EduRev