JEE Exam  >  JEE Questions  >  If the real part of the complex number (1 - c... Start Learning for Free
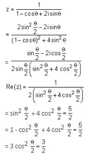
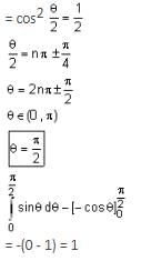
If the real part of the complex number (1 - cosθ + 2i sinθ)-1 is 1/5 for θ ∈ (0, π), then the value of the integral  dx is equal to:
  • a)
    2
  • b)
    -1
  • c)
    0
  • d)
    1
Correct answer is option 'D'. Can you explain this answer?
Most Upvoted Answer
If the real part of the complex number (1 - cosθ + 2i sinθ...

Explore Courses for JEE exam
Question Description
If the real part of the complex number (1 - cosθ + 2i sinθ)-1 is 1/5 forθ∈ (0, π),then the value of the integraldx is equal to:a)2b)-1c)0d)1Correct answer is option 'D'. Can you explain this answer? for JEE 2025 is part of JEE preparation. The Question and answers have been prepared according to the JEE exam syllabus. Information about If the real part of the complex number (1 - cosθ + 2i sinθ)-1 is 1/5 forθ∈ (0, π),then the value of the integraldx is equal to:a)2b)-1c)0d)1Correct answer is option 'D'. Can you explain this answer? covers all topics & solutions for JEE 2025 Exam. Find important definitions, questions, meanings, examples, exercises and tests below for If the real part of the complex number (1 - cosθ + 2i sinθ)-1 is 1/5 forθ∈ (0, π),then the value of the integraldx is equal to:a)2b)-1c)0d)1Correct answer is option 'D'. Can you explain this answer?.
Solutions for If the real part of the complex number (1 - cosθ + 2i sinθ)-1 is 1/5 forθ∈ (0, π),then the value of the integraldx is equal to:a)2b)-1c)0d)1Correct answer is option 'D'. Can you explain this answer? in English & in Hindi are available as part of our courses for JEE. Download more important topics, notes, lectures and mock test series for JEE Exam by signing up for free.
Here you can find the meaning of If the real part of the complex number (1 - cosθ + 2i sinθ)-1 is 1/5 forθ∈ (0, π),then the value of the integraldx is equal to:a)2b)-1c)0d)1Correct answer is option 'D'. Can you explain this answer? defined & explained in the simplest way possible. Besides giving the explanation of If the real part of the complex number (1 - cosθ + 2i sinθ)-1 is 1/5 forθ∈ (0, π),then the value of the integraldx is equal to:a)2b)-1c)0d)1Correct answer is option 'D'. Can you explain this answer?, a detailed solution for If the real part of the complex number (1 - cosθ + 2i sinθ)-1 is 1/5 forθ∈ (0, π),then the value of the integraldx is equal to:a)2b)-1c)0d)1Correct answer is option 'D'. Can you explain this answer? has been provided alongside types of If the real part of the complex number (1 - cosθ + 2i sinθ)-1 is 1/5 forθ∈ (0, π),then the value of the integraldx is equal to:a)2b)-1c)0d)1Correct answer is option 'D'. Can you explain this answer? theory, EduRev gives you an ample number of questions to practice If the real part of the complex number (1 - cosθ + 2i sinθ)-1 is 1/5 forθ∈ (0, π),then the value of the integraldx is equal to:a)2b)-1c)0d)1Correct answer is option 'D'. Can you explain this answer? tests, examples and also practice JEE tests.
Explore Courses for JEE exam

Top Courses for JEE

Explore Courses
Signup for Free!
Signup to see your scores go up within 7 days! Learn & Practice with 1000+ FREE Notes, Videos & Tests.
10M+ students study on EduRev