JEE Exam  >  JEE Questions  >  If speed(V), acceleration(A)and force(B)are c... Start Learning for Free
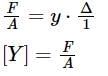
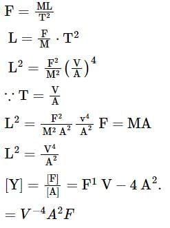
If speed(V), acceleration (A) and force (B) are considered as fundamental units, the dimension of Young's modulus will be?
  • a)
    V-2A2F2
  • b)
    V-4A2F
  • c)
    V-4A-2F
  • d)
    V-2A2F-2
Correct answer is option 'B'. Can you explain this answer?
Most Upvoted Answer
If speed(V), acceleration(A)and force(B)are considered as fundamental ...

Now from dimension
Explore Courses for JEE exam
Question Description
If speed(V), acceleration(A)and force(B)are considered as fundamental units, the dimension of Youngs modulus will be?a)V-2A2F2b)V-4A2Fc)V-4A-2Fd)V-2A2F-2Correct answer is option 'B'. Can you explain this answer? for JEE 2025 is part of JEE preparation. The Question and answers have been prepared according to the JEE exam syllabus. Information about If speed(V), acceleration(A)and force(B)are considered as fundamental units, the dimension of Youngs modulus will be?a)V-2A2F2b)V-4A2Fc)V-4A-2Fd)V-2A2F-2Correct answer is option 'B'. Can you explain this answer? covers all topics & solutions for JEE 2025 Exam. Find important definitions, questions, meanings, examples, exercises and tests below for If speed(V), acceleration(A)and force(B)are considered as fundamental units, the dimension of Youngs modulus will be?a)V-2A2F2b)V-4A2Fc)V-4A-2Fd)V-2A2F-2Correct answer is option 'B'. Can you explain this answer?.
Solutions for If speed(V), acceleration(A)and force(B)are considered as fundamental units, the dimension of Youngs modulus will be?a)V-2A2F2b)V-4A2Fc)V-4A-2Fd)V-2A2F-2Correct answer is option 'B'. Can you explain this answer? in English & in Hindi are available as part of our courses for JEE. Download more important topics, notes, lectures and mock test series for JEE Exam by signing up for free.
Here you can find the meaning of If speed(V), acceleration(A)and force(B)are considered as fundamental units, the dimension of Youngs modulus will be?a)V-2A2F2b)V-4A2Fc)V-4A-2Fd)V-2A2F-2Correct answer is option 'B'. Can you explain this answer? defined & explained in the simplest way possible. Besides giving the explanation of If speed(V), acceleration(A)and force(B)are considered as fundamental units, the dimension of Youngs modulus will be?a)V-2A2F2b)V-4A2Fc)V-4A-2Fd)V-2A2F-2Correct answer is option 'B'. Can you explain this answer?, a detailed solution for If speed(V), acceleration(A)and force(B)are considered as fundamental units, the dimension of Youngs modulus will be?a)V-2A2F2b)V-4A2Fc)V-4A-2Fd)V-2A2F-2Correct answer is option 'B'. Can you explain this answer? has been provided alongside types of If speed(V), acceleration(A)and force(B)are considered as fundamental units, the dimension of Youngs modulus will be?a)V-2A2F2b)V-4A2Fc)V-4A-2Fd)V-2A2F-2Correct answer is option 'B'. Can you explain this answer? theory, EduRev gives you an ample number of questions to practice If speed(V), acceleration(A)and force(B)are considered as fundamental units, the dimension of Youngs modulus will be?a)V-2A2F2b)V-4A2Fc)V-4A-2Fd)V-2A2F-2Correct answer is option 'B'. Can you explain this answer? tests, examples and also practice JEE tests.
Explore Courses for JEE exam

Top Courses for JEE

Explore Courses
Signup for Free!
Signup to see your scores go up within 7 days! Learn & Practice with 1000+ FREE Notes, Videos & Tests.
10M+ students study on EduRev