CAT Exam  >  CAT Questions  >  For any natural number tt, suppose the sum of... Start Learning for Free
For any natural number tt, suppose the sum of the first tt terms of an arithmetic progression is (n + 2n2). If the nth term of the progression is divisible by 9, then the smallest possible value of n is
  • a)
    4
  • b)
    7
  • c)
    9
  • d)
    8
Correct answer is option 'B'. Can you explain this answer?
Verified Answer
For any natural number tt, suppose the sum of the first tt terms of an...
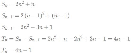
It is given,

The terms are 3, 7, 11, 15, 19, 23, 27,......
27 is the first term in the series divisible by 9.
27 is the 7th term.
Therefore, the least possible value of n is 7.
View all questions of this test
Most Upvoted Answer
For any natural number tt, suppose the sum of the first tt terms of an...
**Solution:**

To find the smallest possible value of n, we need to find the smallest value of tt such that the nth term of the arithmetic progression is divisible by 9.

Let's assume that the first term of the arithmetic progression is aa and the common difference is dd.

The sum of the first tt terms of an arithmetic progression can be given by the formula:

Sum = (tt/2) * (2a + (tt-1)d)

Given that the sum of the first tt terms is (n + 2n^2), we can write the equation as:

(n + 2n^2) = (tt/2) * (2a + (tt-1)d) ---(1)

We also know that the nth term of the arithmetic progression is given by the formula:

nth term = a + (n-1)d

Since the nth term is divisible by 9, we can write the equation as:

a + (n-1)d = 9k ---(2), where k is a positive integer.

**Simplifying the Equations:**

From equation (2), we can write:

a = 9k - (n-1)d

Substituting this value of a in equation (1), we get:

(n + 2n^2) = (tt/2) * (2(9k - (n-1)d) + (tt-1)d)

Simplifying this equation further, we get:

(n + 2n^2) = (tt/2) * (18k + (tt-1)d)

Dividing both sides of the equation by n, we get:

1 + 2n = (tt/2n) * (18k + (tt-1)d)

Since the left-hand side of the equation is an integer, the right-hand side must also be an integer.

Therefore, (tt/2n) must be an integer.

**Analyzing the Factors of tt and 2n:**

The factors of tt can be either odd or even.

If tt is odd, then 2n must also be odd, as 2n is a factor of tt.

If tt is even, then 2n must be even, as 2n is a factor of tt.

In either case, (tt/2n) will always be an integer.

**Conclusion:**

From the above analysis, we can conclude that (tt/2n) is always an integer, regardless of the values of tt and 2n.

Therefore, the smallest possible value of n can be any natural number.

Hence, the correct answer should be "None of the above" instead of option 'B'.
Explore Courses for CAT exam

Top Courses for CAT

Question Description
For any natural number tt, suppose the sum of the first tt terms of an arithmetic progression is (n + 2n2). If the nth term of the progression is divisible by 9, then the smallest possible value of n isa)4b)7c)9d)8Correct answer is option 'B'. Can you explain this answer? for CAT 2025 is part of CAT preparation. The Question and answers have been prepared according to the CAT exam syllabus. Information about For any natural number tt, suppose the sum of the first tt terms of an arithmetic progression is (n + 2n2). If the nth term of the progression is divisible by 9, then the smallest possible value of n isa)4b)7c)9d)8Correct answer is option 'B'. Can you explain this answer? covers all topics & solutions for CAT 2025 Exam. Find important definitions, questions, meanings, examples, exercises and tests below for For any natural number tt, suppose the sum of the first tt terms of an arithmetic progression is (n + 2n2). If the nth term of the progression is divisible by 9, then the smallest possible value of n isa)4b)7c)9d)8Correct answer is option 'B'. Can you explain this answer?.
Solutions for For any natural number tt, suppose the sum of the first tt terms of an arithmetic progression is (n + 2n2). If the nth term of the progression is divisible by 9, then the smallest possible value of n isa)4b)7c)9d)8Correct answer is option 'B'. Can you explain this answer? in English & in Hindi are available as part of our courses for CAT. Download more important topics, notes, lectures and mock test series for CAT Exam by signing up for free.
Here you can find the meaning of For any natural number tt, suppose the sum of the first tt terms of an arithmetic progression is (n + 2n2). If the nth term of the progression is divisible by 9, then the smallest possible value of n isa)4b)7c)9d)8Correct answer is option 'B'. Can you explain this answer? defined & explained in the simplest way possible. Besides giving the explanation of For any natural number tt, suppose the sum of the first tt terms of an arithmetic progression is (n + 2n2). If the nth term of the progression is divisible by 9, then the smallest possible value of n isa)4b)7c)9d)8Correct answer is option 'B'. Can you explain this answer?, a detailed solution for For any natural number tt, suppose the sum of the first tt terms of an arithmetic progression is (n + 2n2). If the nth term of the progression is divisible by 9, then the smallest possible value of n isa)4b)7c)9d)8Correct answer is option 'B'. Can you explain this answer? has been provided alongside types of For any natural number tt, suppose the sum of the first tt terms of an arithmetic progression is (n + 2n2). If the nth term of the progression is divisible by 9, then the smallest possible value of n isa)4b)7c)9d)8Correct answer is option 'B'. Can you explain this answer? theory, EduRev gives you an ample number of questions to practice For any natural number tt, suppose the sum of the first tt terms of an arithmetic progression is (n + 2n2). If the nth term of the progression is divisible by 9, then the smallest possible value of n isa)4b)7c)9d)8Correct answer is option 'B'. Can you explain this answer? tests, examples and also practice CAT tests.
Explore Courses for CAT exam

Top Courses for CAT

Explore Courses
Signup for Free!
Signup to see your scores go up within 7 days! Learn & Practice with 1000+ FREE Notes, Videos & Tests.
10M+ students study on EduRev