GRE Exam  >  GRE Questions  >  If two sets, Set A:{−10, −3, y2, ... Start Learning for Free
If two sets, Set A:{−10, −3, y2, 9, 10, 11}, and Set B:{0, 2, −2y, 12, 13, 15} have their elements arranged in ascending order, and have equal median values, what is the value of y?
  • a)
    -3
  • b)
    -2
  • c)
    -1
  • d)
    0
  • e)
    1
Correct answer is option 'A'. Can you explain this answer?
Most Upvoted Answer
If two sets, Set A:{−10, −3, y2, 9, 10, 11}, and Set B:{0,...
Given:
  • Set A:{−10,−3,y2,9,10,11}, and Set B:{0,2,−2y,12,13,15} have their elements arranged in an ascending order
  • Median value of Set A = Median value of Set B
We have to find out the value of y.
We have two sets A and B whose elements are arranged in an ascending order.
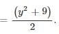
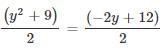
Since Set A has 6 elements, the median value would be the average of the 3rd and the 4th values 
Similarly, since Set B also has 6 elements, the median value would be the average of the 3rd and the 4th values 
We are given that

⇒ y2 + 2y − 3 = 0 
y2 + 3y − y − 3 = 0
y(y + 3)−1(y + 3) = 0
(y + 3)(y − 1) = 0
y = −3 or 1
y cannot be 1 since at y = 1, Set B:{0, 2, −2, 12, 13, 15}; however, it is given that Set B is arranged in the ascending order whereas the above set is not.
So, the only possible value of y = −3.
Set A:{−10, −3, y2 = 9, 9, 10, 11}, and Set B:{0, 2, −2y = 6, 12, 13, 15}
Free Test
Community Answer
If two sets, Set A:{−10, −3, y2, 9, 10, 11}, and Set B:{0,...
1, 2, 3} and Set B:{4, 5, 6}, is there any element that is common to both sets?
Explore Courses for GRE exam

Top Courses for GRE

Question Description
If two sets, Set A:{−10, −3, y2, 9, 10, 11}, and Set B:{0, 2, −2y, 12, 13, 15} have their elements arranged in ascending order, and have equal median values, what is the value of y?a)-3b)-2c)-1d)0e)1Correct answer is option 'A'. Can you explain this answer? for GRE 2025 is part of GRE preparation. The Question and answers have been prepared according to the GRE exam syllabus. Information about If two sets, Set A:{−10, −3, y2, 9, 10, 11}, and Set B:{0, 2, −2y, 12, 13, 15} have their elements arranged in ascending order, and have equal median values, what is the value of y?a)-3b)-2c)-1d)0e)1Correct answer is option 'A'. Can you explain this answer? covers all topics & solutions for GRE 2025 Exam. Find important definitions, questions, meanings, examples, exercises and tests below for If two sets, Set A:{−10, −3, y2, 9, 10, 11}, and Set B:{0, 2, −2y, 12, 13, 15} have their elements arranged in ascending order, and have equal median values, what is the value of y?a)-3b)-2c)-1d)0e)1Correct answer is option 'A'. Can you explain this answer?.
Solutions for If two sets, Set A:{−10, −3, y2, 9, 10, 11}, and Set B:{0, 2, −2y, 12, 13, 15} have their elements arranged in ascending order, and have equal median values, what is the value of y?a)-3b)-2c)-1d)0e)1Correct answer is option 'A'. Can you explain this answer? in English & in Hindi are available as part of our courses for GRE. Download more important topics, notes, lectures and mock test series for GRE Exam by signing up for free.
Here you can find the meaning of If two sets, Set A:{−10, −3, y2, 9, 10, 11}, and Set B:{0, 2, −2y, 12, 13, 15} have their elements arranged in ascending order, and have equal median values, what is the value of y?a)-3b)-2c)-1d)0e)1Correct answer is option 'A'. Can you explain this answer? defined & explained in the simplest way possible. Besides giving the explanation of If two sets, Set A:{−10, −3, y2, 9, 10, 11}, and Set B:{0, 2, −2y, 12, 13, 15} have their elements arranged in ascending order, and have equal median values, what is the value of y?a)-3b)-2c)-1d)0e)1Correct answer is option 'A'. Can you explain this answer?, a detailed solution for If two sets, Set A:{−10, −3, y2, 9, 10, 11}, and Set B:{0, 2, −2y, 12, 13, 15} have their elements arranged in ascending order, and have equal median values, what is the value of y?a)-3b)-2c)-1d)0e)1Correct answer is option 'A'. Can you explain this answer? has been provided alongside types of If two sets, Set A:{−10, −3, y2, 9, 10, 11}, and Set B:{0, 2, −2y, 12, 13, 15} have their elements arranged in ascending order, and have equal median values, what is the value of y?a)-3b)-2c)-1d)0e)1Correct answer is option 'A'. Can you explain this answer? theory, EduRev gives you an ample number of questions to practice If two sets, Set A:{−10, −3, y2, 9, 10, 11}, and Set B:{0, 2, −2y, 12, 13, 15} have their elements arranged in ascending order, and have equal median values, what is the value of y?a)-3b)-2c)-1d)0e)1Correct answer is option 'A'. Can you explain this answer? tests, examples and also practice GRE tests.
Explore Courses for GRE exam

Top Courses for GRE

Explore Courses
Signup for Free!
Signup to see your scores go up within 7 days! Learn & Practice with 1000+ FREE Notes, Videos & Tests.
10M+ students study on EduRev