CDS Exam  >  CDS Questions  >  Present ages of Sameer and Anand are in the r... Start Learning for Free
Present ages of Sameer and Anand are in the ratio of 5:4 respectively. Three years hence, the ratio of their ages will become 11:9 respectively. What is Anand's present age in years?
  • a)
    24
  • b)
    27
  • c)
    40
  • d)
    None of these
Correct answer is option 'A'. Can you explain this answer?
Verified Answer
Present ages of Sameer and Anand are in the ratio of5:4respectively. T...
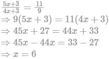
Let the present ages of Sameer and Anand be 5x years and 4x years respectively.
Three years hence, the ratio of their ages will,

∴ Anand's present age = 4x
⇒ 4×6 = 24 years
View all questions of this test
Most Upvoted Answer
Present ages of Sameer and Anand are in the ratio of5:4respectively. T...
Let the present ages of Sameer and Anand be 5x years and 4x years respectively.
Three years hence, the ratio of their ages will,

∴ Anand's present age = 4x
⇒ 4×6 = 24 years
Explore Courses for CDS exam
Question Description
Present ages of Sameer and Anand are in the ratio of5:4respectively. Three years hence, the ratio of their ages will become11:9respectively. What is Anands present age in years?a)24b)27c)40d)None of theseCorrect answer is option 'A'. Can you explain this answer? for CDS 2025 is part of CDS preparation. The Question and answers have been prepared according to the CDS exam syllabus. Information about Present ages of Sameer and Anand are in the ratio of5:4respectively. Three years hence, the ratio of their ages will become11:9respectively. What is Anands present age in years?a)24b)27c)40d)None of theseCorrect answer is option 'A'. Can you explain this answer? covers all topics & solutions for CDS 2025 Exam. Find important definitions, questions, meanings, examples, exercises and tests below for Present ages of Sameer and Anand are in the ratio of5:4respectively. Three years hence, the ratio of their ages will become11:9respectively. What is Anands present age in years?a)24b)27c)40d)None of theseCorrect answer is option 'A'. Can you explain this answer?.
Solutions for Present ages of Sameer and Anand are in the ratio of5:4respectively. Three years hence, the ratio of their ages will become11:9respectively. What is Anands present age in years?a)24b)27c)40d)None of theseCorrect answer is option 'A'. Can you explain this answer? in English & in Hindi are available as part of our courses for CDS. Download more important topics, notes, lectures and mock test series for CDS Exam by signing up for free.
Here you can find the meaning of Present ages of Sameer and Anand are in the ratio of5:4respectively. Three years hence, the ratio of their ages will become11:9respectively. What is Anands present age in years?a)24b)27c)40d)None of theseCorrect answer is option 'A'. Can you explain this answer? defined & explained in the simplest way possible. Besides giving the explanation of Present ages of Sameer and Anand are in the ratio of5:4respectively. Three years hence, the ratio of their ages will become11:9respectively. What is Anands present age in years?a)24b)27c)40d)None of theseCorrect answer is option 'A'. Can you explain this answer?, a detailed solution for Present ages of Sameer and Anand are in the ratio of5:4respectively. Three years hence, the ratio of their ages will become11:9respectively. What is Anands present age in years?a)24b)27c)40d)None of theseCorrect answer is option 'A'. Can you explain this answer? has been provided alongside types of Present ages of Sameer and Anand are in the ratio of5:4respectively. Three years hence, the ratio of their ages will become11:9respectively. What is Anands present age in years?a)24b)27c)40d)None of theseCorrect answer is option 'A'. Can you explain this answer? theory, EduRev gives you an ample number of questions to practice Present ages of Sameer and Anand are in the ratio of5:4respectively. Three years hence, the ratio of their ages will become11:9respectively. What is Anands present age in years?a)24b)27c)40d)None of theseCorrect answer is option 'A'. Can you explain this answer? tests, examples and also practice CDS tests.
Explore Courses for CDS exam

Top Courses for CDS

Explore Courses
Signup for Free!
Signup to see your scores go up within 7 days! Learn & Practice with 1000+ FREE Notes, Videos & Tests.
10M+ students study on EduRev