JEE Exam  >  JEE Questions  >  Let z₁ and z₂ be nth roots of uni... Start Learning for Free
Let z₁ and z₂ be nth roots of unity which subtend a right angle at the origin, then n must be of the form :
  • a)
    4k+1
  • b)
    4k+2
  • c)
    4k+3
  • d)
    4k
Correct answer is option 'D'. Can you explain this answer?
Most Upvoted Answer
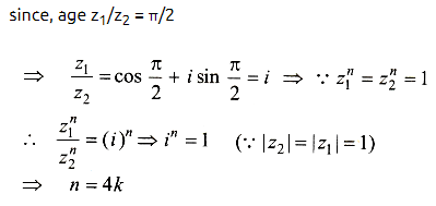
Let z₁ and z₂ be nth roots of unity which subtend a right ...
Community Answer
Let z₁ and z₂ be nth roots of unity which subtend a right ...
Explanation:

To understand why the answer is option 'D', let's break down the problem step by step.

1. Roots of Unity:

Roots of unity are the complex numbers that satisfy the equation z^n = 1, where n is a positive integer. These roots are equally spaced on the unit circle in the complex plane.

2. Subtending a Right Angle:

When two complex numbers z and z' subtend a right angle at the origin, the vectors representing these complex numbers form a right angle.

3. Representation in the Complex Plane:

Let's represent z and z' in the complex plane as z = cos(θ) + i sin(θ) and z' = cos(φ) + i sin(φ), where θ and φ are the arguments of z and z' respectively.

4. Geometric Interpretation:

For the vectors representing z and z' to form a right angle, the difference between their arguments should be π/2 radians (90 degrees). Therefore, we have φ - θ = π/2.

5. Expressing z and z' in Terms of n:

Since z and z' are nth roots of unity, their arguments can be expressed as θ = 2πk/n and φ = 2πm/n, where k and m are integers.

6. Substituting in the Equation:

Substituting the values of θ and φ in the equation φ - θ = π/2, we have (2πm/n) - (2πk/n) = π/2.
Simplifying, we get 2π(m - k)/n = π/2.

7. Simplifying the Equation:

Canceling out π and rearranging the equation, we have (m - k)/n = 1/4.

8. Conclusion:

From the above equation, we can conclude that n must be a multiple of 4 (4k), since (m - k) can be any integer and 1/4 is a fixed value.

Therefore, the correct answer is option 'D' - n must be of the form 4k, where k is an integer.
Explore Courses for JEE exam
Question Description
Let z₁ and z₂ be nth roots of unity which subtend a right angle at the origin, then n must be of the form :a)4k+1b)4k+2c)4k+3d)4kCorrect answer is option 'D'. Can you explain this answer? for JEE 2025 is part of JEE preparation. The Question and answers have been prepared according to the JEE exam syllabus. Information about Let z₁ and z₂ be nth roots of unity which subtend a right angle at the origin, then n must be of the form :a)4k+1b)4k+2c)4k+3d)4kCorrect answer is option 'D'. Can you explain this answer? covers all topics & solutions for JEE 2025 Exam. Find important definitions, questions, meanings, examples, exercises and tests below for Let z₁ and z₂ be nth roots of unity which subtend a right angle at the origin, then n must be of the form :a)4k+1b)4k+2c)4k+3d)4kCorrect answer is option 'D'. Can you explain this answer?.
Solutions for Let z₁ and z₂ be nth roots of unity which subtend a right angle at the origin, then n must be of the form :a)4k+1b)4k+2c)4k+3d)4kCorrect answer is option 'D'. Can you explain this answer? in English & in Hindi are available as part of our courses for JEE. Download more important topics, notes, lectures and mock test series for JEE Exam by signing up for free.
Here you can find the meaning of Let z₁ and z₂ be nth roots of unity which subtend a right angle at the origin, then n must be of the form :a)4k+1b)4k+2c)4k+3d)4kCorrect answer is option 'D'. Can you explain this answer? defined & explained in the simplest way possible. Besides giving the explanation of Let z₁ and z₂ be nth roots of unity which subtend a right angle at the origin, then n must be of the form :a)4k+1b)4k+2c)4k+3d)4kCorrect answer is option 'D'. Can you explain this answer?, a detailed solution for Let z₁ and z₂ be nth roots of unity which subtend a right angle at the origin, then n must be of the form :a)4k+1b)4k+2c)4k+3d)4kCorrect answer is option 'D'. Can you explain this answer? has been provided alongside types of Let z₁ and z₂ be nth roots of unity which subtend a right angle at the origin, then n must be of the form :a)4k+1b)4k+2c)4k+3d)4kCorrect answer is option 'D'. Can you explain this answer? theory, EduRev gives you an ample number of questions to practice Let z₁ and z₂ be nth roots of unity which subtend a right angle at the origin, then n must be of the form :a)4k+1b)4k+2c)4k+3d)4kCorrect answer is option 'D'. Can you explain this answer? tests, examples and also practice JEE tests.
Explore Courses for JEE exam

Top Courses for JEE

Explore Courses
Signup for Free!
Signup to see your scores go up within 7 days! Learn & Practice with 1000+ FREE Notes, Videos & Tests.
10M+ students study on EduRev