GMAT Exam  >  GMAT Questions  >  Find the value of z such that 2(z-1)3 + 6(1-z... Start Learning for Free
Find the value of z such that 2(z-1)3 + 6(1-z)3 = 32?
  • a)
    -2
  • b)
    -1
  • c)
    0
  • d)
    1
  • e)
    2
Correct answer is option 'B'. Can you explain this answer?
Verified Answer
Find the value of z such that 2(z-1)3 + 6(1-z)3 = 32?a)-2b)-1c)0d)1e)2...
⇒ 2(z-1)3 + 6(1-z)3 = 32
⇒ 2 [ z3 -1 - 3z(z-1) ] + 6 [1 - z3 - 3z(1-z)] = 32
⇒ 2 [ z3 - 1 -3z+ 3z ] + 6 [ 1 - z-3z + 3z] = 32
⇒  2z3 - 2 - 6z2 + 6z + 6 - 6z-18z2 + 18z = 32
⇒  -4z3 + 12z2 - 12z + 4 = 32
Substract 32 from both sides we get,
⇒  -4z3 + 12z2 - 12z + 4 - 32 = 32 - 32
⇒  -4z3 + 12z2 - 12z - 28 = 0
⇒ -4( z + 1 )( z2 - 4z -7) = 0
⇒ ( z + 1 )( z2 - 4z -7) = 0
Then, 
( z + 1 ) = 0
z = -1
or
( z2 - 4z -7) = 0
z = 2 + √3i,  2 - √3i
View all questions of this test
Most Upvoted Answer
Find the value of z such that 2(z-1)3 + 6(1-z)3 = 32?a)-2b)-1c)0d)1e)2...
Solution:
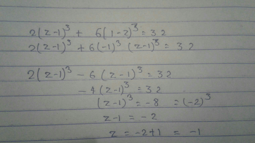
We are given the equation 2(z-1)^3 - 6(1-z)^3 = 32 and we need to find the value of z that satisfies this equation.

Simplifying the equation:

2(z-1)^3 - 6(1-z)^3 = 32
2(z-1)^3 - 6(-1)^3(z-1)^3 = 32
2(z-1)^3 + 6(z-1)^3 = 32
8(z-1)^3 = 32
(z-1)^3 = 4
z-1 = 2
z = 3

Therefore, the value of z that satisfies the equation is 3.

Answer: (e) 2
Free Test
Community Answer
Find the value of z such that 2(z-1)3 + 6(1-z)3 = 32?a)-2b)-1c)0d)1e)2...
Explore Courses for GMAT exam

Top Courses for GMAT

Question Description
Find the value of z such that 2(z-1)3 + 6(1-z)3 = 32?a)-2b)-1c)0d)1e)2Correct answer is option 'B'. Can you explain this answer? for GMAT 2025 is part of GMAT preparation. The Question and answers have been prepared according to the GMAT exam syllabus. Information about Find the value of z such that 2(z-1)3 + 6(1-z)3 = 32?a)-2b)-1c)0d)1e)2Correct answer is option 'B'. Can you explain this answer? covers all topics & solutions for GMAT 2025 Exam. Find important definitions, questions, meanings, examples, exercises and tests below for Find the value of z such that 2(z-1)3 + 6(1-z)3 = 32?a)-2b)-1c)0d)1e)2Correct answer is option 'B'. Can you explain this answer?.
Solutions for Find the value of z such that 2(z-1)3 + 6(1-z)3 = 32?a)-2b)-1c)0d)1e)2Correct answer is option 'B'. Can you explain this answer? in English & in Hindi are available as part of our courses for GMAT. Download more important topics, notes, lectures and mock test series for GMAT Exam by signing up for free.
Here you can find the meaning of Find the value of z such that 2(z-1)3 + 6(1-z)3 = 32?a)-2b)-1c)0d)1e)2Correct answer is option 'B'. Can you explain this answer? defined & explained in the simplest way possible. Besides giving the explanation of Find the value of z such that 2(z-1)3 + 6(1-z)3 = 32?a)-2b)-1c)0d)1e)2Correct answer is option 'B'. Can you explain this answer?, a detailed solution for Find the value of z such that 2(z-1)3 + 6(1-z)3 = 32?a)-2b)-1c)0d)1e)2Correct answer is option 'B'. Can you explain this answer? has been provided alongside types of Find the value of z such that 2(z-1)3 + 6(1-z)3 = 32?a)-2b)-1c)0d)1e)2Correct answer is option 'B'. Can you explain this answer? theory, EduRev gives you an ample number of questions to practice Find the value of z such that 2(z-1)3 + 6(1-z)3 = 32?a)-2b)-1c)0d)1e)2Correct answer is option 'B'. Can you explain this answer? tests, examples and also practice GMAT tests.
Explore Courses for GMAT exam

Top Courses for GMAT

Explore Courses
Signup for Free!
Signup to see your scores go up within 7 days! Learn & Practice with 1000+ FREE Notes, Videos & Tests.
10M+ students study on EduRev