Mechanical Engineering Exam  >  Mechanical Engineering Questions  >  When a body is subjected to a direct tensile ... Start Learning for Free
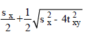
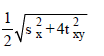
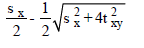
When a body is subjected to a direct tensile stress (sx) in one plane accompanied by a simpl shear stress (txy), the maximum shear stress is
  • a)
  • b)
  • c)
  • d)
Correct answer is option 'D'. Can you explain this answer?
Most Upvoted Answer
When a body is subjected to a direct tensile stress (sx) in one plane ...
   A is right option 
Explore Courses for Mechanical Engineering exam

Top Courses for Mechanical Engineering

Question Description
When a body is subjected to a direct tensile stress (sx) in one plane accompanied by a simpl shear stress (txy), the maximum shear stress isa)b)c)d)Correct answer is option 'D'. Can you explain this answer? for Mechanical Engineering 2025 is part of Mechanical Engineering preparation. The Question and answers have been prepared according to the Mechanical Engineering exam syllabus. Information about When a body is subjected to a direct tensile stress (sx) in one plane accompanied by a simpl shear stress (txy), the maximum shear stress isa)b)c)d)Correct answer is option 'D'. Can you explain this answer? covers all topics & solutions for Mechanical Engineering 2025 Exam. Find important definitions, questions, meanings, examples, exercises and tests below for When a body is subjected to a direct tensile stress (sx) in one plane accompanied by a simpl shear stress (txy), the maximum shear stress isa)b)c)d)Correct answer is option 'D'. Can you explain this answer?.
Solutions for When a body is subjected to a direct tensile stress (sx) in one plane accompanied by a simpl shear stress (txy), the maximum shear stress isa)b)c)d)Correct answer is option 'D'. Can you explain this answer? in English & in Hindi are available as part of our courses for Mechanical Engineering. Download more important topics, notes, lectures and mock test series for Mechanical Engineering Exam by signing up for free.
Here you can find the meaning of When a body is subjected to a direct tensile stress (sx) in one plane accompanied by a simpl shear stress (txy), the maximum shear stress isa)b)c)d)Correct answer is option 'D'. Can you explain this answer? defined & explained in the simplest way possible. Besides giving the explanation of When a body is subjected to a direct tensile stress (sx) in one plane accompanied by a simpl shear stress (txy), the maximum shear stress isa)b)c)d)Correct answer is option 'D'. Can you explain this answer?, a detailed solution for When a body is subjected to a direct tensile stress (sx) in one plane accompanied by a simpl shear stress (txy), the maximum shear stress isa)b)c)d)Correct answer is option 'D'. Can you explain this answer? has been provided alongside types of When a body is subjected to a direct tensile stress (sx) in one plane accompanied by a simpl shear stress (txy), the maximum shear stress isa)b)c)d)Correct answer is option 'D'. Can you explain this answer? theory, EduRev gives you an ample number of questions to practice When a body is subjected to a direct tensile stress (sx) in one plane accompanied by a simpl shear stress (txy), the maximum shear stress isa)b)c)d)Correct answer is option 'D'. Can you explain this answer? tests, examples and also practice Mechanical Engineering tests.
Explore Courses for Mechanical Engineering exam

Top Courses for Mechanical Engineering

Explore Courses
Signup for Free!
Signup to see your scores go up within 7 days! Learn & Practice with 1000+ FREE Notes, Videos & Tests.
10M+ students study on EduRev