Chemistry Exam  >  Chemistry Questions  >  Which of the following compounds will behave ... Start Learning for Free
Which of the following compounds will behave as a reducing sugar in an aqueous KOH solution?
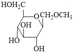
  • a)
  • b)
  • c)
  • d)
Correct answer is option 'A'. Can you explain this answer?
Explore Courses for Chemistry exam

Top Courses for Chemistry

Question Description
Which of the following compounds will behave as a reducing sugar in an aqueous KOH solution?a)b)c)d)Correct answer is option 'A'. Can you explain this answer? for Chemistry 2025 is part of Chemistry preparation. The Question and answers have been prepared according to the Chemistry exam syllabus. Information about Which of the following compounds will behave as a reducing sugar in an aqueous KOH solution?a)b)c)d)Correct answer is option 'A'. Can you explain this answer? covers all topics & solutions for Chemistry 2025 Exam. Find important definitions, questions, meanings, examples, exercises and tests below for Which of the following compounds will behave as a reducing sugar in an aqueous KOH solution?a)b)c)d)Correct answer is option 'A'. Can you explain this answer?.
Solutions for Which of the following compounds will behave as a reducing sugar in an aqueous KOH solution?a)b)c)d)Correct answer is option 'A'. Can you explain this answer? in English & in Hindi are available as part of our courses for Chemistry. Download more important topics, notes, lectures and mock test series for Chemistry Exam by signing up for free.
Here you can find the meaning of Which of the following compounds will behave as a reducing sugar in an aqueous KOH solution?a)b)c)d)Correct answer is option 'A'. Can you explain this answer? defined & explained in the simplest way possible. Besides giving the explanation of Which of the following compounds will behave as a reducing sugar in an aqueous KOH solution?a)b)c)d)Correct answer is option 'A'. Can you explain this answer?, a detailed solution for Which of the following compounds will behave as a reducing sugar in an aqueous KOH solution?a)b)c)d)Correct answer is option 'A'. Can you explain this answer? has been provided alongside types of Which of the following compounds will behave as a reducing sugar in an aqueous KOH solution?a)b)c)d)Correct answer is option 'A'. Can you explain this answer? theory, EduRev gives you an ample number of questions to practice Which of the following compounds will behave as a reducing sugar in an aqueous KOH solution?a)b)c)d)Correct answer is option 'A'. Can you explain this answer? tests, examples and also practice Chemistry tests.
Explore Courses for Chemistry exam

Top Courses for Chemistry

Explore Courses
Signup for Free!
Signup to see your scores go up within 7 days! Learn & Practice with 1000+ FREE Notes, Videos & Tests.
10M+ students study on EduRev