Class 11 Exam  >  Class 11 Questions  >  Passage IAn unknown compound X (C5HgBr) does ... Start Learning for Free
Passage I
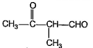
An unknown compound X (C5HgBr) does not decolourise purple colour of alkaline permanganate solution. Upon treatment with C2H5OK/C2H5OH, X gives Y (C5H8) as only structural isomer. Catalytic hydrogenation of Y gives methyl cyclobutane. Ozonolysis of Y gives Z (C5H8O2) which can exist as a pair of enantiomers.
 
Q. What is correct skeleton of Z? 
  • a)
  • b)
  • c)
  • d)
Correct answer is option 'B'. Can you explain this answer?
Most Upvoted Answer
Passage IAn unknown compound X (C5HgBr) does not decolourise purple co...
B is correct
Explore Courses for Class 11 exam

Top Courses for Class 11

Question Description
Passage IAn unknown compound X (C5HgBr) does not decolourise purple colour of alkaline permanganate solution. Upon treatment with C2H5OK/C2H5OH, X gives Y (C5H8) as only structural isomer. Catalytic hydrogenation of Y gives methyl cyclobutane. Ozonolysis of Y gives Z (C5H8O2) which can exist as a pair of enantiomers.Q.What is correct skeleton of Z?a)b)c)d)Correct answer is option 'B'. Can you explain this answer? for Class 11 2025 is part of Class 11 preparation. The Question and answers have been prepared according to the Class 11 exam syllabus. Information about Passage IAn unknown compound X (C5HgBr) does not decolourise purple colour of alkaline permanganate solution. Upon treatment with C2H5OK/C2H5OH, X gives Y (C5H8) as only structural isomer. Catalytic hydrogenation of Y gives methyl cyclobutane. Ozonolysis of Y gives Z (C5H8O2) which can exist as a pair of enantiomers.Q.What is correct skeleton of Z?a)b)c)d)Correct answer is option 'B'. Can you explain this answer? covers all topics & solutions for Class 11 2025 Exam. Find important definitions, questions, meanings, examples, exercises and tests below for Passage IAn unknown compound X (C5HgBr) does not decolourise purple colour of alkaline permanganate solution. Upon treatment with C2H5OK/C2H5OH, X gives Y (C5H8) as only structural isomer. Catalytic hydrogenation of Y gives methyl cyclobutane. Ozonolysis of Y gives Z (C5H8O2) which can exist as a pair of enantiomers.Q.What is correct skeleton of Z?a)b)c)d)Correct answer is option 'B'. Can you explain this answer?.
Solutions for Passage IAn unknown compound X (C5HgBr) does not decolourise purple colour of alkaline permanganate solution. Upon treatment with C2H5OK/C2H5OH, X gives Y (C5H8) as only structural isomer. Catalytic hydrogenation of Y gives methyl cyclobutane. Ozonolysis of Y gives Z (C5H8O2) which can exist as a pair of enantiomers.Q.What is correct skeleton of Z?a)b)c)d)Correct answer is option 'B'. Can you explain this answer? in English & in Hindi are available as part of our courses for Class 11. Download more important topics, notes, lectures and mock test series for Class 11 Exam by signing up for free.
Here you can find the meaning of Passage IAn unknown compound X (C5HgBr) does not decolourise purple colour of alkaline permanganate solution. Upon treatment with C2H5OK/C2H5OH, X gives Y (C5H8) as only structural isomer. Catalytic hydrogenation of Y gives methyl cyclobutane. Ozonolysis of Y gives Z (C5H8O2) which can exist as a pair of enantiomers.Q.What is correct skeleton of Z?a)b)c)d)Correct answer is option 'B'. Can you explain this answer? defined & explained in the simplest way possible. Besides giving the explanation of Passage IAn unknown compound X (C5HgBr) does not decolourise purple colour of alkaline permanganate solution. Upon treatment with C2H5OK/C2H5OH, X gives Y (C5H8) as only structural isomer. Catalytic hydrogenation of Y gives methyl cyclobutane. Ozonolysis of Y gives Z (C5H8O2) which can exist as a pair of enantiomers.Q.What is correct skeleton of Z?a)b)c)d)Correct answer is option 'B'. Can you explain this answer?, a detailed solution for Passage IAn unknown compound X (C5HgBr) does not decolourise purple colour of alkaline permanganate solution. Upon treatment with C2H5OK/C2H5OH, X gives Y (C5H8) as only structural isomer. Catalytic hydrogenation of Y gives methyl cyclobutane. Ozonolysis of Y gives Z (C5H8O2) which can exist as a pair of enantiomers.Q.What is correct skeleton of Z?a)b)c)d)Correct answer is option 'B'. Can you explain this answer? has been provided alongside types of Passage IAn unknown compound X (C5HgBr) does not decolourise purple colour of alkaline permanganate solution. Upon treatment with C2H5OK/C2H5OH, X gives Y (C5H8) as only structural isomer. Catalytic hydrogenation of Y gives methyl cyclobutane. Ozonolysis of Y gives Z (C5H8O2) which can exist as a pair of enantiomers.Q.What is correct skeleton of Z?a)b)c)d)Correct answer is option 'B'. Can you explain this answer? theory, EduRev gives you an ample number of questions to practice Passage IAn unknown compound X (C5HgBr) does not decolourise purple colour of alkaline permanganate solution. Upon treatment with C2H5OK/C2H5OH, X gives Y (C5H8) as only structural isomer. Catalytic hydrogenation of Y gives methyl cyclobutane. Ozonolysis of Y gives Z (C5H8O2) which can exist as a pair of enantiomers.Q.What is correct skeleton of Z?a)b)c)d)Correct answer is option 'B'. Can you explain this answer? tests, examples and also practice Class 11 tests.
Explore Courses for Class 11 exam

Top Courses for Class 11

Explore Courses
Signup for Free!
Signup to see your scores go up within 7 days! Learn & Practice with 1000+ FREE Notes, Videos & Tests.
10M+ students study on EduRev