JEE Exam  >  JEE Notes  >  Mathematics (Maths) for JEE Main & Advanced  >  Approximations and Exponential Series

Approximations and Exponential Series | Mathematics (Maths) for JEE Main & Advanced PDF Download

Approximations

Approximations and Exponential Series | Mathematics (Maths) for JEE Main & Advanced

If x < 1, the terms of the above expansion go on decreasing and if x be very small, a stage may be reached when we may neglect the terms containing higher powers of x in the expansion. Thus, if x be so small that its squares and higher powers may be neglected then (1 + x)n = 1 + nx, approximately,

This is an approximate value of (1 + x)n

Example1: If x is so small such that its square and higher powers may be neglected then find the approximate value of Approximations and Exponential Series | Mathematics (Maths) for JEE Main & Advanced

Sol:

Approximations and Exponential Series | Mathematics (Maths) for JEE Main & Advanced

Approximations and Exponential Series | Mathematics (Maths) for JEE Main & Advanced

Approximations and Exponential Series | Mathematics (Maths) for JEE Main & Advanced

Example 2: The value of cube root of 1001 upto five decimal places is

Sol:

(1001)1/3 = (1000 + 1)1/3 = Approximations and Exponential Series | Mathematics (Maths) for JEE Main & Advanced

= 10 {1 + 0.0003333 -0.00000011 + ......} = 10.00333

 Example 3: The sum of Approximations and Exponential Series | Mathematics (Maths) for JEE Main & Advanced is

Sol: Comparing with

1 + nx + Approximations and Exponential Series | Mathematics (Maths) for JEE Main & Advanced+ ......         ⇒ nx = 1/4              ...(i)

& Approximations and Exponential Series | Mathematics (Maths) for JEE Main & Advanced or Approximations and Exponential Series | Mathematics (Maths) for JEE Main & Advanced

Approximations and Exponential Series | Mathematics (Maths) for JEE Main & AdvancedApproximations and Exponential Series | Mathematics (Maths) for JEE Main & Advanced

Approximations and Exponential Series | Mathematics (Maths) for JEE Main & Advanced ...(ii) {by (i)}

putting the value of x in (i) ⇒ Approximations and Exponential Series | Mathematics (Maths) for JEE Main & Advanced ⇒ n = Approximations and Exponential Series | Mathematics (Maths) for JEE Main & Advanced

Approximations and Exponential Series | Mathematics (Maths) for JEE Main & Advanced sum of series = (1 + x)n = (1 -1/2)-1/2 = (1/2)-1/2 = Approximations and Exponential Series | Mathematics (Maths) for JEE Main & Advanced

 Exponential series

(a) e is an irrational number lying between 2.7 & 2.8. Its value correct upto 10 places of decimal is 2.7182818284.

(b) Logarithms to the base 'e' are known as the Napierian system, so named after Napier, their inventor. They are also called Natural Logarithm. 

(c) 
Approximations and Exponential Series | Mathematics (Maths) for JEE Main & Advanced where x may be any real or complex number & Approximations and Exponential Series | Mathematics (Maths) for JEE Main & Advanced

(d) 
Approximations and Exponential Series | Mathematics (Maths) for JEE Main & Advanced 

(e)
Approximations and Exponential Series | Mathematics (Maths) for JEE Main & Advanced

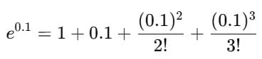
Example 4: Approximate e0.1 up to 3 decimal places using series.

Sol: Approximations and Exponential Series | Mathematics (Maths) for JEE Main & Advanced

Approximations and Exponential Series | Mathematics (Maths) for JEE Main & Advanced

Logarithmic series 

 (a) ln (1 + x) = x -Approximations and Exponential Series | Mathematics (Maths) for JEE Main & Advanced where Approximations and Exponential Series | Mathematics (Maths) for JEE Main & Advanced

(b) ln (1 -x) = Approximations and Exponential Series | Mathematics (Maths) for JEE Main & Advanced where Approximations and Exponential Series | Mathematics (Maths) for JEE Main & Advanced

 

Remember : 

(i)Approximations and Exponential Series | Mathematics (Maths) for JEE Main & Advanced

(ii) eln x = x

(iii) ln2 = 0.693

(iv) ln 10 = 2.303


Example 5: Expand ln(1.1) using logarithmic series.

Sol: Approximations and Exponential Series | Mathematics (Maths) for JEE Main & Advanced
Approximations and Exponential Series | Mathematics (Maths) for JEE Main & Advanced

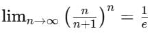
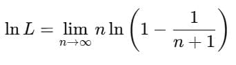
Example 6: Prove that Approximations and Exponential Series | Mathematics (Maths) for JEE Main & Advanced

Sol: Taking log: Approximations and Exponential Series | Mathematics (Maths) for JEE Main & Advanced

Approximations and Exponential Series | Mathematics (Maths) for JEE Main & Advanced

Comparison Between Exponential and Logarithmic Series

Approximations and Exponential Series | Mathematics (Maths) for JEE Main & Advanced

The document Approximations and Exponential Series | Mathematics (Maths) for JEE Main & Advanced is a part of the JEE Course Mathematics (Maths) for JEE Main & Advanced.
All you need of JEE at this link: JEE
172 videos|503 docs|154 tests

FAQs on Approximations and Exponential Series - Mathematics (Maths) for JEE Main & Advanced

1. What are approximations and why are they important in mathematics?
Approximations are mathematical techniques used to find values that are close to the exact or precise values of a certain quantity or function. They are important in mathematics because they allow us to simplify complex calculations and find practical solutions to problems without the need for precise measurements or lengthy calculations.
2. How are exponential series used in mathematics and real-life applications?
Exponential series are mathematical representations of functions in which the variable is raised to a power. They are used in various areas of mathematics, such as calculus, number theory, and probability. In real-life applications, exponential series are commonly used to model growth and decay processes, such as population growth, compound interest, radioactive decay, and the spread of diseases.
3. Can approximations be used to solve equations or find roots of functions?
Yes, approximations can be used to solve equations or find roots of functions. For example, the Newton-Raphson method is an approximation technique used to iteratively find the roots of a function. By making an initial guess and applying a simple formula, the method converges to the root of the function with increasing accuracy at each iteration. This technique is widely used in numerical analysis and engineering to solve equations that do not have exact algebraic solutions.
4. What is the difference between linear and exponential approximations?
Linear approximations are mathematical techniques that involve approximating a function with a straight line, typically around a specific point. This approximation is valid only for small deviations from the chosen point and is often used in calculus to estimate values of functions near a given point. Exponential approximations, on the other hand, involve approximating a function with an exponential curve. This approximation is useful for modeling growth or decay processes, where the rate of change is proportional to the current value. Exponential approximations can be more accurate than linear approximations for certain types of functions and applications.
5. Are there any limitations or drawbacks to using approximations in mathematics?
Yes, there are limitations and drawbacks to using approximations in mathematics. One limitation is that the accuracy of an approximation depends on the chosen method and the level of approximation desired. Some methods may provide only a rough estimate, while others can achieve high accuracy but require more computational resources. Another drawback is that approximations can introduce errors or deviations from the exact values. These errors can accumulate and affect the final result, especially in complex calculations or when multiple approximations are used in succession. Furthermore, approximations may not always provide a complete or comprehensive understanding of a mathematical problem. They are often used as simplifications or shortcuts, but they may not capture all the nuances or intricacies of the underlying mathematical concepts. Therefore, it is important to carefully consider the limitations and potential sources of error when using approximations in mathematics.
Related Searches

Summary

,

video lectures

,

Free

,

Previous Year Questions with Solutions

,

shortcuts and tricks

,

Approximations and Exponential Series | Mathematics (Maths) for JEE Main & Advanced

,

Approximations and Exponential Series | Mathematics (Maths) for JEE Main & Advanced

,

Exam

,

Objective type Questions

,

ppt

,

past year papers

,

Important questions

,

study material

,

pdf

,

MCQs

,

practice quizzes

,

Viva Questions

,

mock tests for examination

,

Sample Paper

,

Semester Notes

,

Approximations and Exponential Series | Mathematics (Maths) for JEE Main & Advanced

,

Extra Questions

;