Physics Exam  >  Physics Notes  >  Mathematical Methods  >  Basic Concepts, Matrix Addition & Scalar Multiplication

Basic Concepts, Matrix Addition & Scalar Multiplication | Mathematical Methods - Physics PDF Download

Basic Concepts

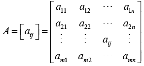
A matrix (plural matrices) is a rectangular array of numbers, symbols, or expressions, arranged in rows and columns. The individual items in a matrix are called its elements or entries. Thus a m x n matrix is of the form
 Basic Concepts, Matrix Addition & Scalar Multiplication | Mathematical Methods - Physics
In matrix A has m rows and n column aij is   the element of ith row and jth column.
If number of row and number of column in matrix is equal (m = n) then matrix is said to be square matrix. Then its diagonal containing the entries a11 ,a22 , ann ...., ann is called main diagonal or principal diagonal of A.

A matrix that is not diagonal is called a rectangular matrix.
Transposition
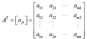
 A transpose AT of a m x n matrix A =[aij] is the n x m matrix that has the first row of A as its first column, the second row of A as its second column, and so on. Thus the transpose of A is
Basic Concepts, Matrix Addition & Scalar Multiplication | Mathematical Methods - Physics
Symmetric matrices and skew-symmetric matrices
Matrices whose transpose equals the matrix are called symmetric matrix. Matrices whose transpose equals the minus of matrix are called anti-symmetric matrix
AT = A (symmetric matrix)  and A= -A (anti-symmetric matrix)
Equality of matrices
Two matrices A [aij] and B [bij] are equal, written A = B , if and only if they have the same size and the corresponding entries are equal, that is a11 = b11 , a12 = b12 and so on.


Matrix Addition

Addition is defined only for matrices A [aij] and B = [bij] of the same size; their sum written A + B , is then obtained by adding the corresponding entries. Matrices of different sizes cannot be added
Basic Concepts, Matrix Addition & Scalar Multiplication | Mathematical Methods - Physics

Scalar Multiplication

The product of any m x n matrix A = [aij]  and any scalar λ =  written λ A is the m x n matrix λA =[λaij] obtained by multiplying each entry in A by λ. Thus
Basic Concepts, Matrix Addition & Scalar Multiplication | Mathematical Methods - Physics
Here (-1) A is simply written -A and is called the negative of A . Similarly, (-k)A is simply written -kA . Also, A +(-B) is written A - B and is called the difference of A and B (which must have the same size).
For matrices of the same size m x n we obtain for addition
(i) A + B = B + A
(ii) (A + B) + C = A + (B + C)

(iii) A + 0 = A
(iv) A + (-A) = 0 here 0 denote the zero matrix of size m x n.
and for scalar multiplication

(i) λ(A + B) = λA + λB

(ii) (λ + k )A = λA + kA

(iii) λ(kA) = (λk )A

(iv) 1A = A
Transposition of sum can be done term by term (A + B)T =AT + BT and for scalar multiplication we have (λA)T = λAT

Matrix Multiplication

The product C = AB (in this order) of an m x n matrix A = [aij] and r x p matrix B = [bij] is defined if and only if r = n, that is
Number of rows of 2nd factor B= Number of columns of 1st factor A
and is then defined as the m x p matrix C = [cij] with entries
Basic Concepts, Matrix Addition & Scalar Multiplication | Mathematical Methods - Physics
Basic Concepts, Matrix Addition & Scalar Multiplication | Mathematical Methods - Physics

 Properties of Matrix Multiplication

(i) AB ≠ BA in general

(ii) AB = 0 does not necessarily imply A = 0 or B = 0 or BA = 0

(iii) AC = AD does not necessarily imply C = D .

(iv) (kA)B = k(AB) = A(kB)

(v) A(BC) = (AB)C
(vi) (A + B )C = AC + BC

(vii) (AB)T = BTAT

Special Matrices

Triangular Matrices

Upper triangular matrices are square matrices that can have nonzero entries only on and above the main diagonal, whereas any entry below the diagonal must be zero.
Basic Concepts, Matrix Addition & Scalar Multiplication | Mathematical Methods - Physics
Similarly lower triangular matrices can have nonzero entries only on and below the main diagonal, whereas any entry above the diagonal must be zero.  Any entry on the main diagonal of a triangular matrix may be zero or not
Basic Concepts, Matrix Addition & Scalar Multiplication | Mathematical Methods - Physics 

Diagonal Matrices

These are square matrices that can have nonzero entries only on the main diagonal. Any entry above or below the main diagonal must be zero.
Basic Concepts, Matrix Addition & Scalar Multiplication | Mathematical Methods - Physics

Scalar Matrix

If all the diagonal entries of a diagonal matrix S are equal, say, c , we call S a scalar matrix because multiplication of any square matrix A of the same size by S has same effect as the multiplication by scalar, that is,
AS = SA = cA

Example:

Basic Concepts, Matrix Addition & Scalar Multiplication | Mathematical Methods - Physics
and
Basic Concepts, Matrix Addition & Scalar Multiplication | Mathematical Methods - Physics

Unit Matrix (Identity Matrix)

A scalar matrix whose entries on the main diagonal are all 1 is called a unit matrix (identity matrix) and is denoted by I . Thus Basic Concepts, Matrix Addition & Scalar Multiplication | Mathematical Methods - Physics
AI = IA = A

Inverse of a Matrix

The inverse of a n x n matrix A = [aij] is denoted by A-1 and is an n n matrix such that AA-1 = A-1 A = I
where I is the n x n unit matrix.

Note:

(i) If A has inverse, then A is called a nonsingular matrix.

(ii) If A has no inverse, then A is called a singular matrix.

(iii) If A has an inverse, the inverse is unique.
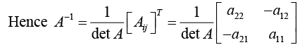
The inverse of a nonsingular n x n matrix  A = [aij] is given by
Basic Concepts, Matrix Addition & Scalar Multiplication | Mathematical Methods - Physics
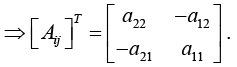
where Aij is the cofactor of aij in det A . Note well that in A-1, the cofactor Aij occupies the same place as aji does in A .

Cofactor of aij
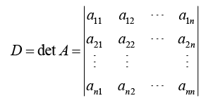
A determinant of order n is a scalar associated with an n n matrix A = [aij], which is written
Basic Concepts, Matrix Addition & Scalar Multiplication | Mathematical Methods - Physics
and is defined for n = 1 by  D = a11 ,
and is defined for n > 2 by
D = ai1 Ci1 + ai2Ci2 + •••• + ainCin    (i = 1,2 .......,or n)
where Cij = (-1i)i + j Mij
and Mij is a determinant of order (n - 1), namely, the determinant of the submatrix of A obtained from A by deleting the row and column of the entry aij .
Mij is called the minor of aij in D and Cij is the cofactor of aij in D .
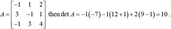
Example 1:  Let Basic Concepts, Matrix Addition & Scalar Multiplication | Mathematical Methods - Physics

Basic Concepts, Matrix Addition & Scalar Multiplication | Mathematical Methods - Physics
Basic Concepts, Matrix Addition & Scalar Multiplication | Mathematical Methods - Physics

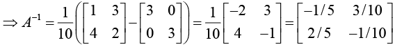
Example 2: Let Basic Concepts, Matrix Addition & Scalar Multiplication | Mathematical Methods - Physicsthen cofactor of A is Basic Concepts, Matrix Addition & Scalar Multiplication | Mathematical Methods - Physics

Basic Concepts, Matrix Addition & Scalar Multiplication | Mathematical Methods - Physics
Hence, Basic Concepts, Matrix Addition & Scalar Multiplication | Mathematical Methods - Physics

Example 3: Let Basic Concepts, Matrix Addition & Scalar Multiplication | Mathematical Methods - Physics

Basic Concepts, Matrix Addition & Scalar Multiplication | Mathematical Methods - Physics
Basic Concepts, Matrix Addition & Scalar Multiplication | Mathematical Methods - Physics
Basic Concepts, Matrix Addition & Scalar Multiplication | Mathematical Methods - Physics

Matrix Eigen value Problems

Let A = [aij] be a given n xn square matrix and consider the equation
AX = λX ........(1)
Here X is an unknown vector and λ an unknown scalar and, we want to determine both.

A value of λ for which (1) has a solution X ≠ 0 is called eigenvalue of the matrix A . The corresponding solutions X ≠ 0 of (1) are called eigenvevtors of A corresponding to that eigenvalue A.

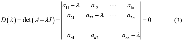
In matrix notation,    (A-λI)X = 0  ........(2)
This homogeneous linear system of equations has a nontrivial solution if and only if the corresponding determinant of the coefficients is zero
Basic Concepts, Matrix Addition & Scalar Multiplication | Mathematical Methods - Physics

D (λ) is called the characteristic determinant. The equation is called the characteristic

equation of the matrix A . By developing D (λ) we obtain a polynomial of nth degree

in λ . This is called the characteristic polynomial of A .

Note:

  • The eigenvalues of a square matrix A are the roots of the characteristic equation (3) of A . Hence an n x n matrix has at least one eigenvalue and at most n numerically different eigenvalues.
  • Once the eigenvalues are known, corresponding eigenvectors are obtained.
  • Repeated eigenvalues are said to be degenerate eigenvalues. For degenerate eigenvalues there are different eigenvectors for same eigenvalues.
  • Non repeated eigenvalues are non-degenerate eigenvalues. For non-degenerate eigenvalues there are different eigenvectors for different eigenvalues.
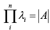
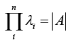
  • Sum of eigenvalues are equal to trace of matrix Basic Concepts, Matrix Addition & Scalar Multiplication | Mathematical Methods - PhysicsTrace of matrix is sum of diagonal element.
  • Product of eigenvalues are equal to determinant of matrix Basic Concepts, Matrix Addition & Scalar Multiplication | Mathematical Methods - Physics
  • Eigenvectors correspond to different eigenvalues are always independent.
  • Eigenvectors corresponds to same eigenvalue may or may not be independent.

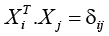
Orthonormality Condition
Basic Concepts, Matrix Addition & Scalar Multiplication | Mathematical Methods - Physics
If i = j then δij = 1 (Normalisation Condition)
and If i ≠ j then δij = 0 (Orthogonal Condition)

Linear independence and dimensionality of a vector space
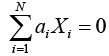
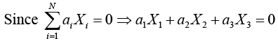
A set of A vectors X1,X2,...,XN is said to be linearly independent if Basic Concepts, Matrix Addition & Scalar Multiplication | Mathematical Methods - Physics

is satisfied when a1 = a2 = a3 = a4 =........= 0 otherwise it is said to be linear dependent.

The dimension of a space vector is given by the maximum number of linearly independent vectors the space can have.
The maximum number of linearly independent vectors a space has isN(X1X2,...,XN) . This space is said to be N dimensional. In this case any vector Y of the vector space can be expressed as linear combination.Basic Concepts, Matrix Addition & Scalar Multiplication | Mathematical Methods - Physics


Example 4: Find the eigenvalues and orthonormal eigenvectors of matrixBasic Concepts, Matrix Addition & Scalar Multiplication | Mathematical Methods - Physics

For eigenvalues Basic Concepts, Matrix Addition & Scalar Multiplication | Mathematical Methods - Physics
(2-λ) {X2 - 1} = 0  λ = 2 and λ = +1
Eigenvalues are given by λ =-1, X2 = 1, λ3 = 2. All eigenvalues are different so they are non-degenerate.

Eigenvector can be determined by the equation AX = λX .
Basic Concepts, Matrix Addition & Scalar Multiplication | Mathematical Methods - Physics
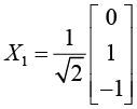
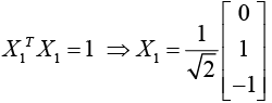
For λ1 = -1
Basic Concepts, Matrix Addition & Scalar Multiplication | Mathematical Methods - Physics
Normalized eigenvector can be determined by relation Xx = 1.Basic Concepts, Matrix Addition & Scalar Multiplication | Mathematical Methods - Physics
Basic Concepts, Matrix Addition & Scalar Multiplication | Mathematical Methods - Physics
Normalized Eigenvector corresponds to λ = -1 is Basic Concepts, Matrix Addition & Scalar Multiplication | Mathematical Methods - Physics
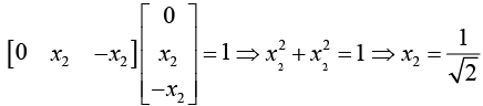
For λ2 = 1
Basic Concepts, Matrix Addition & Scalar Multiplication | Mathematical Methods - Physics
Normalized eigenvector can be determined by relation X2T X2 = 1 ⇒ X2 = Basic Concepts, Matrix Addition & Scalar Multiplication | Mathematical Methods - Physics

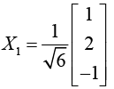
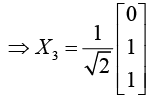
For  λ3 = 2
Basic Concepts, Matrix Addition & Scalar Multiplication | Mathematical Methods - Physics
Normalized eigenvector can be determined by relation X3TX3 = 1 Basic Concepts, Matrix Addition & Scalar Multiplication | Mathematical Methods - Physics

Example 5: Find the eigenvalues and orthonormal eigenvectors of matrix A = Basic Concepts, Matrix Addition & Scalar Multiplication | Mathematical Methods - Physics

Also check that eigenvectors are linearly independent.

For eigenvalues (A - λI) = 0 Basic Concepts, Matrix Addition & Scalar Multiplication | Mathematical Methods - Physics
(1-λ){λ2-l} = 0 ⇒ 1 = 1, 1,-1
where λ = -1 is non-degenerate eigenvalue and λ2 = λ3 = 1 is doubly degenerate eigenvalue.
Eigenvector can be determined by the equation AX = λX .

Basic Concepts, Matrix Addition & Scalar Multiplication | Mathematical Methods - Physics

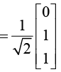
For λ1 =-1

Basic Concepts, Matrix Addition & Scalar Multiplication | Mathematical Methods - Physics
Normalized eigenvector can be determined by relation Basic Concepts, Matrix Addition & Scalar Multiplication | Mathematical Methods - Physics
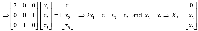
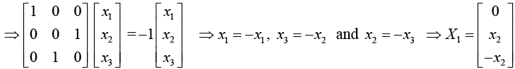
For λ2, = λ3 = 1
Basic Concepts, Matrix Addition & Scalar Multiplication | Mathematical Methods - Physics
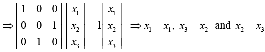
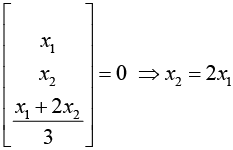
So eigenvector is given byBasic Concepts, Matrix Addition & Scalar Multiplication | Mathematical Methods - Physicsfor any value of x, and x,. One can find Eigenvector corresponds to λ2 = λ3 = 1 but we need to find orthogonal Eigenvectors.
Let X1 = X1 and x2 = 0 so X2 = Basic Concepts, Matrix Addition & Scalar Multiplication | Mathematical Methods - Physics
Normalized eigenvector can be determined by relation X2TX2, =1 ⇒ X2 = Basic Concepts, Matrix Addition & Scalar Multiplication | Mathematical Methods - Physics
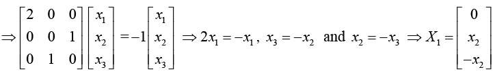
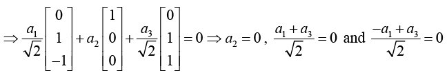
Now we must find third Eigenvector which will satisfied equation x1 = x1 and x2 = x3 and orthogonal to X2.
Basic Concepts, Matrix Addition & Scalar Multiplication | Mathematical Methods - Physics

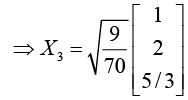
So Basic Concepts, Matrix Addition & Scalar Multiplication | Mathematical Methods - Physicsand value of x2 can be find with orthogonal relation X3TX3 = 1
Basic Concepts, Matrix Addition & Scalar Multiplication | Mathematical Methods - Physics
Basic Concepts, Matrix Addition & Scalar Multiplication | Mathematical Methods - Physics
Basic Concepts, Matrix Addition & Scalar Multiplication | Mathematical Methods - Physics
⇒ a1 = 0, a2 = 0, a3 = 0,

So they are linearly independent.


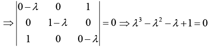
Example 6: Find the eigenvalues and orthonormal eigenvectors of A =Basic Concepts, Matrix Addition & Scalar Multiplication | Mathematical Methods - Physics 

For eigenvalues (A - λI) = 0 Basic Concepts, Matrix Addition & Scalar Multiplication | Mathematical Methods - Physics

⇒ - (2 + λ) {-λ (1 - λ) -12} - 2 {-2λ - 6} - 3 {-4 + (1 - λ)) = 0
⇒ -(2 + λ){-λ + λ2-12} -2{-2λ-6}-3{-3-λ} = 0
⇒ (2 +λ) {-λ +λ2 -12} - 2 {2λ + 6} - 3 {3 +λ} = 0
⇒ 2{-λ + λ2-12} + {-λ23-12λ)-7λ-21 = 0
⇒ λ32 -21λ-45 = 0 ⇒ (λ + 3)(λ-5) = 0 ⇒ λ = -3, -3, 5

where λ1 = 5 is non-degenerate eigenvalue and λ2, = λ3, = -3 is doubly degenerate eigenvalue.

Eigenvector can be determined by the equation AX = λX .
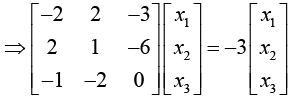
Basic Concepts, Matrix Addition & Scalar Multiplication | Mathematical Methods - Physics
Basic Concepts, Matrix Addition & Scalar Multiplication | Mathematical Methods - Physics
⇒ -2x1 + 2x2 - 3x3 = 5x1, 2x1 + x2 - 6x= 5x2 and x1 + 2x2 =-5x3

⇒ -7x1 + 2x2 - 3x3 = 0 - 2x1 - 4x2 - 6x3 = 0 and x1 + 2x2 + 5x3 = 0
From above relations x2 = 2x1 and x3 = -x1 ⇒ X1 = Basic Concepts, Matrix Addition & Scalar Multiplication | Mathematical Methods - Physics
Normalized eigenvector can be determined by relation X1T X1 = 1 ⇒ Basic Concepts, Matrix Addition & Scalar Multiplication | Mathematical Methods - Physics
For λ2 = λ3 = -3 Basic Concepts, Matrix Addition & Scalar Multiplication | Mathematical Methods - Physics
⇒ -2X1 + 2x2 - 3x3 = -3X1, 2X1 + x2 - 6x3 = -3x2 and -X1 - 2x2 = -3x3
⇒ X1 + 2x2 - 3x3 = 0, 2X1 + 4x2 - 6x3 = 0 and x1 + 2x2 - 3x3 = 0
Let x3 = 0 ⇒ X1 = -2x2. So eigenvector is given by Basic Concepts, Matrix Addition & Scalar Multiplication | Mathematical Methods - Physics for any value of x2 .
Normalized eigenvector can be determined by relation X2TX2 =1 ⇒ X2 = Basic Concepts, Matrix Addition & Scalar Multiplication | Mathematical Methods - Physics
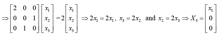
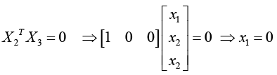
Now we must find third Eigenvector which will satisfy equation x1 + 2x2 - 3x3 = 0 and orthogonal to X2. X2TX3 = 0 ⇒ [-2 1 0]Basic Concepts, Matrix Addition & Scalar Multiplication | Mathematical Methods - Physics
So X3 = Basic Concepts, Matrix Addition & Scalar Multiplication | Mathematical Methods - Physicsand value of x1 can be find with orthogonal relation X3TX3 = 1
Basic Concepts, Matrix Addition & Scalar Multiplication | Mathematical Methods - Physics

The Cayley-Hamilton Theorem

This theorem provides an alternative method for finding the inverse of a matrix A . Also any positive integral power of A can be expressed, using this theorem, as a linear combination of those of lower degree.

Every square matrix satisfied its own characteristic equation. That means that, if
Basic Concepts, Matrix Addition & Scalar Multiplication | Mathematical Methods - Physics
is the characteristic equation of a square matrix A of order n , then
Basic Concepts, Matrix Addition & Scalar Multiplication | Mathematical Methods - Physics
Note:

When λ is replaced by A in the characteristic equation, then constant term an should be replaced by an to get the result of Cayley-Hamilton theorem, where I is the unit matrix of order n . Also 0 in the R.H.S is a null matrix of order n .
Example 7: Find A-1 by Cayley-Hamilton theorem if A = Basic Concepts, Matrix Addition & Scalar Multiplication | Mathematical Methods - Physics

The characteristic equation of A is (A-λI) = 0
Basic Concepts, Matrix Addition & Scalar Multiplication | Mathematical Methods - Physics
By Cayley-Hamilton theorem
Basic Concepts, Matrix Addition & Scalar Multiplication | Mathematical Methods - Physics
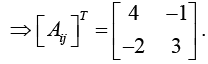
Pre-multiplying by A-1 we get A-1 = Basic Concepts, Matrix Addition & Scalar Multiplication | Mathematical Methods - Physics
Basic Concepts, Matrix Addition & Scalar Multiplication | Mathematical Methods - Physics

Example 8: Find A-1 by Cayley-Hamilton theorem if A = Basic Concepts, Matrix Addition & Scalar Multiplication | Mathematical Methods - Physics

The characteristic equation of A is (A-λI) = 0
Basic Concepts, Matrix Addition & Scalar Multiplication | Mathematical Methods - Physics
By Cayley-Hamilton theorem
Basic Concepts, Matrix Addition & Scalar Multiplication | Mathematical Methods - Physics
Pre-multiplying by A-1 we get A-1 = Basic Concepts, Matrix Addition & Scalar Multiplication | Mathematical Methods - Physics
Basic Concepts, Matrix Addition & Scalar Multiplication | Mathematical Methods - Physics
Basic Concepts, Matrix Addition & Scalar Multiplication | Mathematical Methods - Physics
Basic Concepts, Matrix Addition & Scalar Multiplication | Mathematical Methods - Physics

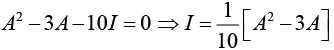
Example 9: Find A-1 by Cayley-Hamilton theorem if A = Basic Concepts, Matrix Addition & Scalar Multiplication | Mathematical Methods - Physics

The characteristic equation of A is (A -λI) = 0
Basic Concepts, Matrix Addition & Scalar Multiplication | Mathematical Methods - Physics
By Cayley-Hamilton theorem
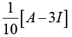
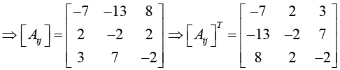
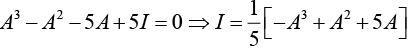
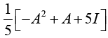
A3 - A2 - A + I = 0 ⇒ I = [A3 + A2 + A]
Pre-multiplying by A-1 we get A-1 = [-A2 + A + I]
Basic Concepts, Matrix Addition & Scalar Multiplication | Mathematical Methods - Physics
Basic Concepts, Matrix Addition & Scalar Multiplication | Mathematical Methods - Physics

The document Basic Concepts, Matrix Addition & Scalar Multiplication | Mathematical Methods - Physics is a part of the Physics Course Mathematical Methods.
All you need of Physics at this link: Physics
78 videos|18 docs|24 tests

FAQs on Basic Concepts, Matrix Addition & Scalar Multiplication - Mathematical Methods - Physics

1. What is matrix multiplication?
Ans. Matrix multiplication is an operation performed on two matrices to produce a third matrix. In this operation, the elements of the first matrix are multiplied with the corresponding elements of the second matrix and then added together to obtain the elements of the resulting matrix.
2. What are special matrices?
Ans. Special matrices are matrices that possess certain unique properties or characteristics. Some examples of special matrices include diagonal matrices, identity matrices, triangular matrices, and symmetric matrices. These matrices have specific patterns or symmetries in their element values, making them useful in various mathematical and scientific applications.
3. What are matrix eigenvalue problems?
Ans. Matrix eigenvalue problems involve finding the eigenvalues and eigenvectors of a given matrix. Eigenvalues represent the scalar values that scale the eigenvectors when multiplied by the matrix. These problems are important in various areas such as physics, engineering, and computer science, as they provide insights into the behavior and properties of linear systems.
4. What are the basic concepts of matrix addition and scalar multiplication?
Ans. Matrix addition involves adding the corresponding elements of two matrices to obtain a new matrix. Both matrices being added must have the same dimensions. Scalar multiplication, on the other hand, involves multiplying each element of a matrix by a scalar value. This operation scales the matrix by the scalar factor.
5. What is the relevance of matrix multiplication in IIT JAM exam?
Ans. Matrix multiplication is a fundamental concept in linear algebra, which is an important subject in the IIT JAM exam. Questions related to matrix multiplication can be asked to test the candidates' understanding of matrix operations, properties, and applications. Being familiar with matrix multiplication is crucial for solving more complex problems in linear algebra and related disciplines.
Related Searches

Matrix Addition & Scalar Multiplication | Mathematical Methods - Physics

,

MCQs

,

Matrix Addition & Scalar Multiplication | Mathematical Methods - Physics

,

Viva Questions

,

Semester Notes

,

Basic Concepts

,

Summary

,

pdf

,

past year papers

,

Objective type Questions

,

mock tests for examination

,

shortcuts and tricks

,

Basic Concepts

,

Previous Year Questions with Solutions

,

Important questions

,

study material

,

Exam

,

Sample Paper

,

video lectures

,

Basic Concepts

,

ppt

,

practice quizzes

,

Extra Questions

,

Free

,

Matrix Addition & Scalar Multiplication | Mathematical Methods - Physics

;