JEE Exam  >  JEE Notes  >  Chemistry for JEE Main & Advanced  >  Carboxylic Acids: Physical & Chemical Properties

Carboxylic Acids: Physical & Chemical Properties | Chemistry for JEE Main & Advanced PDF Download

Physical properties of Carboxylic Acids

Odor

Carboxylic acids containing up to nine carbon atoms exhibit colorless liquid states at room temperature, accompanied by unpleasant odors. In contrast, their higher counterparts exist as solid, wax-like substances, characterized by their lack of noticeable scent owing to reduced volatility.

Boiling point 

Carboxylic acids, when compared to aldehydes, ketones, and similar-sized alcohols, have higher boiling points, meaning they need more heat to turn from a liquid to a gas.

Carboxylic Acids: Physical & Chemical Properties | Chemistry for JEE Main & Advanced

Carboxylic Acids: Physical & Chemical Properties | Chemistry for JEE Main & Advanced

Carboxylic Acids: Physical & Chemical Properties | Chemistry for JEE Main & Advanced

The high boiling points of carboxylic acids are the result of the formation of a stable hydrogen-bonded dimer.

 Carboxylic Acids: Physical & Chemical Properties | Chemistry for JEE Main & AdvancedHydrogen-bonded Acid Dimer

Solubility 
Carboxylic acids form hydrogen bonds with water and the lower molecular–weight carboxylic acids (up to 4 carbon atoms) are miscible with water.

Acid derivatives (esters, acid chlorides, anhydride, nitriles, and amides) are soluble in organic solvents such as alcohols, ethers, chlorinated alkanes, and aromatic hydrocarbons.

Question for Carboxylic Acids: Physical & Chemical Properties
Try yourself:
Which physical property of carboxylic acids is responsible for their higher boiling points compared to aldehydes, ketones, and similar-sized alcohols?
View Solution

Chemical Reactions


Reaction involving cleavage of O-H bond

Acidity of carboxylic acids

Carboxylic Acids: Physical & Chemical Properties | Chemistry for JEE Main & Advanced

Ex.
Carboxylic Acids: Physical & Chemical Properties | Chemistry for JEE Main & Advanced

Ex. HCOOH > CH3COOH > CH3-CH2-COOH

Carboxylic Acids: Physical & Chemical Properties | Chemistry for JEE Main & Advanced

Ex. Relative acid strength is:-
RCOOH > HOH > ROH > HC = CH > NH3 > RH

Note: The acidity of acids is compared by comparing the stability of the conjugate base.

  • Carboxylic acids, like alcohols, release hydrogen when they interact with metals that easily give up electrons. 
  • They also create salts with alkaline substances, similar to what happens with phenols. 
  • However, unlike phenols, they react with weaker bases like carbonates and bicarbonates, leading to the release of carbon dioxide. This particular reaction is employed to identify the presence of carboxyl groups in organic compounds.

Action with blue litmus: All carboxylic acids turn blue litmus red.
Reaction with metals :

2 CH3 COOH + 2Na  → 2CH3COONa(Sodium acetate) + H2
2CH3 COOH + Zn → (CH3COO)2 Zn(Zinc acetate) + H2

Reaction with alkalies :
CH3 COOH + NaOH → CH3 COONa + H2O

Reaction with carbonates and bicarbonates :
2CH3COOH + Na2CO3 → 2CH3 COONa + CO2 + H2O
CH3COOH + NaHCO→ CH3COONa + CO2 + H2O

The reaction of carboxylic acid with aqueous sodium carbonate solution produces brisk effervescence. However, most phenols do not produce effervescence. Therefore, the reaction may be used to distinguish between carboxylic acids and phenols.

Question for Carboxylic Acids: Physical & Chemical Properties
Try yourself:
Which of the following reactions is employed to identify the presence of carboxyl groups in organic compounds?
View Solution

Reaction with Grignard's reagent :

Carboxylic Acids: Physical & Chemical Properties | Chemistry for JEE Main & Advanced

Note: A stronger acid displaces a weaker acid from the salt of the weaker acid.

Ex. CH3COOH (Stronger acid) + CH3ONa → CH3 COONa + CH3 —OH (WeakerAcid)

Ex. CH3COOH (stronger acid) + NaHCO3 →  CHCOONa + HCO3 (Weaker acid) →  H2O + CO2

Reaction involving cleavage of C–OH bond

Formation of acid chlorides: 

Carboxylic Acids: Physical & Chemical Properties | Chemistry for JEE Main & Advanced

Carboxylic Acids: Physical & Chemical Properties | Chemistry for JEE Main & Advanced

Fisher Esterification:
Carboxylic acid reacts with alcohol to form esters through a condensation reaction known as esterification.

General Reaction:

Carboxylic Acids: Physical & Chemical Properties | Chemistry for JEE Main & Advanced

Specific Example:

Carboxylic Acids: Physical & Chemical Properties | Chemistry for JEE Main & Advanced

Carboxylic Acids: Physical & Chemical Properties | Chemistry for JEE Main & Advanced

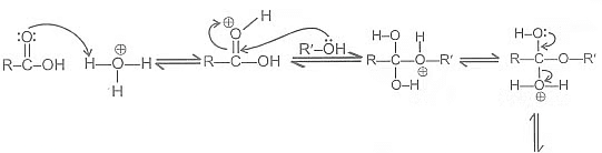
Mechanism:
 
Acid catalysed esterification:

Carboxylic Acids: Physical & Chemical Properties | Chemistry for JEE Main & Advanced                          Carboxylic Acids: Physical & Chemical Properties | Chemistry for JEE Main & Advanced

If we follow the forward path in this mechanism, we have the mechanism for the acid catalysed esterification for an acid. If however, we follow the reverse reactions, we have the mechanism for the acid catalysed hydrolysis of an ester. Acid catalysed ester hydrolysis gives:

Carboxylic Acids: Physical & Chemical Properties | Chemistry for JEE Main & Advanced

Formation of amides: 

Carboxylic Acids: Physical & Chemical Properties | Chemistry for JEE Main & Advanced

Formation of acid anhydride: 

Carboxylic Acids: Physical & Chemical Properties | Chemistry for JEE Main & Advanced

Reactions Involving -COOH Group:

Schmidt Reaction:

The carboxylic acids react with hydrazoic acid in the presence of H2SO4 to form a primary amine 

Carboxylic Acids: Physical & Chemical Properties | Chemistry for JEE Main & AdvancedSchmidt Reaction

Question for Carboxylic Acids: Physical & Chemical Properties
Try yourself:What is the product formed when a carboxylic acid reacts with hydrazoic acid in the presence of H2SO4?
View Solution

Soda-lime decarboxylation :

General reaction:

Carboxylic Acids: Physical & Chemical Properties | Chemistry for JEE Main & Advanced

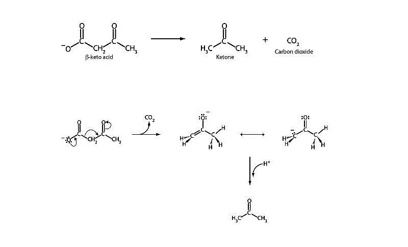
Decarboxylation of  β- keto carboxylic acids :

Carboxylic Acids: Physical & Chemical Properties | Chemistry for JEE Main & Advanced

Kolbe's electrolysis:

Carboxylic Acids: Physical & Chemical Properties | Chemistry for JEE Main & AdvancedCarboxylic Acids: Physical & Chemical Properties | Chemistry for JEE Main & AdvancedCarboxylic Acids: Physical & Chemical Properties | Chemistry for JEE Main & Advanced

(II) R.  +  R→ R - R

If n is the number of carbon atoms in the salt of carboxylic acid, the alkane formed has 2(n-1) carbon atoms.

Carboxylic Acids: Physical & Chemical Properties | Chemistry for JEE Main & Advanced

Hunsdiecker Reaction (Brome-decarboxylation):

R-COOAg + Br2  → R-Br + CO2 + AgBr

Mechanism:

Carboxylic Acids: Physical & Chemical Properties | Chemistry for JEE Main & Advanced

Carboxylic Acids: Physical & Chemical Properties | Chemistry for JEE Main & Advanced

HVZ Reaction (Halogenation of aliphatic acids and Substituted acids):

Carboxylic Acids: Physical & Chemical Properties | Chemistry for JEE Main & Advanced

Carboxylic Acids: Physical & Chemical Properties | Chemistry for JEE Main & Advanced                              Carboxylic Acids: Physical & Chemical Properties | Chemistry for JEE Main & Advanced

The document Carboxylic Acids: Physical & Chemical Properties | Chemistry for JEE Main & Advanced is a part of the JEE Course Chemistry for JEE Main & Advanced.
All you need of JEE at this link: JEE
366 videos|833 docs|301 tests

FAQs on Carboxylic Acids: Physical & Chemical Properties - Chemistry for JEE Main & Advanced

1. What are the physical properties of carboxylic acids?
Ans. Carboxylic acids have several physical properties. They are typically colorless liquids or white solids at room temperature. They have a strong, pungent odor and are soluble in water. Carboxylic acids also have higher boiling points compared to alcohols and ethers of similar molecular weight.
2. How do carboxylic acids react with water?
Ans. Carboxylic acids readily dissolve in water and undergo a reaction known as hydrolysis. In this reaction, a carboxylic acid reacts with water to form a carboxylate ion and a hydronium ion. This hydrolysis reaction is reversible, with the carboxylic acid and water re-forming under appropriate conditions.
3. Can carboxylic acids undergo esterification?
Ans. Yes, carboxylic acids can undergo esterification reactions. In esterification, a carboxylic acid reacts with an alcohol in the presence of an acid catalyst to form an ester and water. This reaction is widely used in the synthesis of various esters, which have applications in perfumes, flavors, and pharmaceuticals.
4. How do carboxylic acids react with bases?
Ans. Carboxylic acids react with bases to form carboxylate salts and water. This reaction is known as neutralization. The carboxylic acid donates a proton (H+) to the base, forming the carboxylate ion, while the base accepts the proton to form water. Carboxylic acids are weak acids, so they react with strong bases to a greater extent.
5. What are some common chemical reactions of carboxylic acids?
Ans. Carboxylic acids can undergo various chemical reactions. Some common reactions include oxidation, decarboxylation, and reduction. Carboxylic acids can be oxidized to form aldehydes or ketones. They can also undergo decarboxylation, where the carboxyl group is removed as carbon dioxide. Reduction of carboxylic acids results in the formation of alcohols.
Related Searches

video lectures

,

pdf

,

study material

,

Important questions

,

Carboxylic Acids: Physical & Chemical Properties | Chemistry for JEE Main & Advanced

,

Extra Questions

,

Free

,

Objective type Questions

,

mock tests for examination

,

ppt

,

shortcuts and tricks

,

Viva Questions

,

Semester Notes

,

past year papers

,

Summary

,

Carboxylic Acids: Physical & Chemical Properties | Chemistry for JEE Main & Advanced

,

MCQs

,

Previous Year Questions with Solutions

,

Sample Paper

,

Exam

,

Carboxylic Acids: Physical & Chemical Properties | Chemistry for JEE Main & Advanced

,

practice quizzes

;