CA Foundation Exam  >  CA Foundation Notes  >  ICAI Notes- Equations

ICAI Notes- Equations - CA Foundation PDF Download

EQUATIONS

LEARNING OBJECTIVES
After studying this chapter, you will be able to:

  • Understand the concept of equations and its various degrees – linear, simultaneous, quadratic and cubic equations;
  • Know how to solve the different equations using different methods of solution; and
  • Know how to apply equations in co-ordinate geometry.

2.1 INTRODUCTION

Equation is defined to be a mathematical statement of equality. If the equality is true for certain value of the variable involved, the equation is often called a conditional equation and equality sign ‘=’ is used; while if the equality is true for all values of the variable involved, the equation is called an identity.

ICAI Notes- Equations - CA Foundation

is an identity since it holds for all values of the variable x.
Determination of value of the variable which satisfies an equation is called solution of the equation or root of the equation. An equation in which highest power of the variable is 1 is called a Linear (or a simple) equation. This is also called the equation of degree 1. Two or more linear equations involving two or more variables are called Simultaneous Linear Equations. An equation of degree 2 (highest Power of the variable is 2) is called Quadratic equation and the equation of degree 3 is called Cubic Equation.

For Example: 8x+17(x–3) = 4 (4x–9) + 12 is a Linear equation
3x2 + 5x +6 = 0 is a quadratic equation.
4x3 + 3x2 + x–7 = 1 is a Cubic equation.
x+2y = 12x+3y = 2 are jointly called simultaneous equations.

2.2 SIMPLE EQUATION

A simple equation in one unknown x is in the form ax + b = 0.
Where a, b are known constants and a10
Note: A simple equation has only one root.

ICAI Notes- Equations - CA Foundation

Solution: By transposing the variables in one side and the constants in other side we have
ICAI Notes- Equations - CA Foundation

ICAI Notes- Equations - CA Foundation

Illustrations: 

1 . The denominator of a fraction exceeds the numerator by 5 and if 3 be added to both the
fraction becomes  ICAI Notes- Equations - CA Foundation Find the fraction

Let x be the numerator and the fraction be  ICAI Notes- Equations - CA Foundation. By the question  ICAI Notes- Equations - CA Foundation 4x+12 = 3x+24 or x = 12

The required fraction is  ICAI Notes- Equations - CA Foundation

2. If thrice of A’s age 6 years ago be subtracted from twice his present age, the result would be equal to his present age. Find A’s present age.

Let x years be A’s present age. By the question
2x–3(x–6) = x
or 2x–3x+18 = x
or –x+18 = x
or 2x = 18
or x=9
∴ A’s present age is 9 years.

3. A number consists of two digits the digit in the ten’s place is twice the digit in the unit’s place. If 18 be subtracted from the number the digits are reversed. Find the number.
Let x be the digit in the unit’s place. So the digit in the ten’s place is 2x. Thus the number becomes 10(2x)+x. By the question

20x+x–18 = 10x + 2x
or 21x–18 = 12x
or 9x = 18
or x = 2
So the required number is 10 (2 × 2) + 2 = 42.

4. For a certain commodity the demand equation giving demand ‘d’ in kg, for a price ‘p’ in rupees per kg. is d = 100 (10 – p). The supply equation giving the supply s in kg. for a price p in rupees per kg. is s = 75(p - 3). The market price is such at which demand equals supply. Find the market price and quantity that will be bought and sold.
Given d = 100(10 – p) and s = 75(p – 3).
Since the market price is such that demand (d) = supply (s) we have
100 (10 – p) = 75 (p – 3) or 1000 – 100p = 75p – 225
ICAI Notes- Equations - CA Foundation

So market price of the commodity is Rs. 7 per kg.
∴ the required quantity bought = 100 (10 – 7) = 300 kg.
and the quantity sold = 75 (7 – 3) = 300 kg.

2.3 SIMULTANEOUS LINEAR EQUATIONS IN TWO UNKNOWNS

The general form of a linear equations in two unknowns x and y is ax + by + c = 0 where a b are non-zero coefficients and c is a constant. Two such equations a1x + b1y + c1 = 0 and a2 x + b2 x + c2 = 0 form a pair of simultaneous equations in x and y. A value for each unknown which satisfies simultaneously both the equations will give the roots of the equations.

2.4 METHOD OF SOLUTION

1. Elimination Method: In this method two given linear equations are reduced to a linear equation in one unknown by eliminating one of the unknowns and then solving for the other unknown.
Example 1: Solve: 2x + 5y = 9 and 3x – y = 5.

Solution: 2x + 5y = 9 …….. (i)
3x – y = 5 ………(ii)
By making (i) x 1,  2x + 5y = 9
and by making (ii) x 5, 15x – 5y = 25
__________________________________
Adding 17x = 34 or x = 2. Substituting this values of x in (i) i.e. 5y = 9 – 2x 

we find,
5y = 9 – 4 = 5 

∴y = 1 

∴x = 2, y = 1.

2. Cross Multiplication Method: Let two equations be:

a1x + b1y + c1 = 0
a2x + b2y + c2 = 0

We write the coefficients of x, y and constant terms and two more columns by repeating the coefficients of x and y as follows:

ICAI Notes- Equations - CA Foundation

ICAI Notes- Equations - CA Foundation

ICAI Notes- Equations - CA Foundation

ICAI Notes- Equations - CA Foundation

Example 2: 3x + 2y + 17 = 0
5x – 6y – 9 = 0

Solution: 3x + 2y + 17 = 0 ....... (i)
5x – 6y – 9 = 0 ........(ii)
Method of elimination: By (i) x3 we get 9x + 6y + 51 = 0 ...... (iii)
Adding (ii) & (iii) we get 14x + 42 = 0

ICAI Notes- Equations - CA Foundation

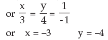
Putting x = –3 in (i) we get 3(–3) + 2y + 17 = 0
or, 2y + 8 = 0 or, y =  ICAI Notes- Equations - CA Foundation

So  x = –3  and  y = –4
Method of cross-multiplication: 3x + 2y + 17 = 0
5x – 6y – 9 = 0

ICAI Notes- Equations - CA Foundation

ICAI Notes- Equations - CA Foundation

2.5 METHOD OF SOLVING SIMULTANEOUS LINEAR EQUATION WITH THREE VARIABLES

Example 1: Solve for x, y and z:
2x–y + z = 3 x + 3y – 2z = 11 3x – 2y + 4z = 1

Solution: (a) Method of elimination
2x – y + z = 3 .......(i)
x + 3y – 2z = 11 .... (ii)
3x – 2y + 4z = 1 .... (iii)
By (i) × 2 we get
4x – 2y + 2z = 6 …. (iv)
By (ii) + (iv), 5x + y = 17 ….(v) [the variable z is thus eliminated]x
By (ii) × 2,  2x + 6y – 4z = 22 ….(vi)
By (iii) + (vi), 5x + 4y = 23 ....(vii)
By (v) – (vii), –3y = – 6 or y = 2
Putting y = 2 in (v) 5x + 2 = 17, or  5x = 15 or,  x = 3
Putting x = 3 and y = 2 in (i)
2 × 3 – 2 + z = 3
or 6–2+z = 3
or 4+z = 3
or z = –1
So x = 3, y = 2, z = –1 is the required solution.
(Any two of 3 equations can be chosen for elimination of one of the variables)

(b) Method of cross multiplication

We write the equations as follows:
2x – y + (z – 3) = 0
x + 3y + (–2z –11) = 0
By cross multiplication

ICAI Notes- Equations - CA Foundation

ICAI Notes- Equations - CA Foundation

Substituting above values for x and y in equation (iii) i.e. 3x - 2y + yz = 1, 

we have
ICAI Notes- Equations - CA Foundation

or 60–3z–10z–38 + 28z = 7
or 15z = 7–22 or 15z = –15 or z = –1
ICAI Notes- Equations - CA Foundation

Thus x = 3, y = 2, z = –1
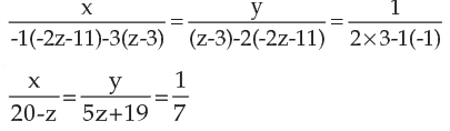
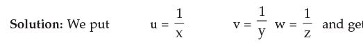
Example 2: Solve for x, y and z :

ICAI Notes- Equations - CA Foundation

ICAI Notes- Equations - CA Foundation

u+v+w = 5 ........ (i)
2u–3v–4w = –11........ (ii)
3u+2v–w = –6 ........ (iii)
By (i) + (iii) 4u+3v = –1 ........ (iv)
By (iii) x 4 12u+8v–4w = –24 ......... (v)
By (ii) – (v) –10u–11v = 13
or 10u + 11v = –13 .......... (vi)
By (iv) × 11 44x+33v = –11 …..…(vii)
By (vi) × 3 30u + 33v = –39 ……..(viii)
By (vii) – (viii) 14u = 28 or u = 2
Putting u = 2 in (iv) 4 × 2 + 3v = –1
or 8 + 3v = –1
or 3v = –9 or v = –3
Putting u = 2, v = –3 in (i) or 2–3 + w = 5
or –1 + w = 5 or w = 5+1 or w = 6

ICAI Notes- Equations - CA Foundation

Example 3:   Solve for x y and z:

ICAI Notes- Equations - CA Foundation

Solution: We can write as
ICAI Notes- Equations - CA Foundation

ICAI Notes- Equations - CA Foundation

ICAI Notes- Equations - CA Foundation

ICAI Notes- Equations - CA Foundation

2.6 PROBLEMS LEADING TO SIMULTANEOUS EQUATIONS

Illustrations :
1. If the numerator of a fraction is increased by 2 and the denominator by 1 it becomes 1.
Again if the numerator is decreased by 4 and the denominator by 2 it becomes 1/2 . Find the fraction

Solution: Let x/y be the required fraction.

ICAI Notes- Equations - CA Foundation

Thus x + 2 = y + 1 or x – y = –1 ......... (i)
and 2x – 8 = y–2 or 2x – y = 6 ......... (ii)
By (i) – (ii) –x = –7 or x = 7
from (i) 7–y = –1 or y = 8
So the required fraction is 7/8.

2. The age of a man is three times the sum of the ages of his two sons and 5 years hence his age will be double the sum of their ages. Find the present age of the man?

Solution: Let x years be the present age of the man and sum of the present ages of the two sons be y years.
By the condition x = 3y .......... (i)
and x + 5 = 2 ( y+5+5) ..........(ii)
From (i) & (ii) 3y + 5 = 2 (y+10)
or 3y + 5 = 2y + 20
or 3y – 2y = 20 – 5
or y = 15
∴ x = 3 × y = 3 × 15 = 45
Hence the present age of the main is 45 years

3. A number consist of three digit of which the middle one is zero and the sum of the other digits is 9. The number formed by interchanging the first and third digits is more than the original number by 297 find the number.

Solution: Let the number be 100x + y. we have x + y = 9……(i)
Also 100y + x = 100x + y + 297 …………………………….. (ii)
From (ii) 99(x – y) = –297
or x – y = –3 ….……………………………………………… (iii)

Adding (i) and (ii) 2x = 6 ∴ x = 3 ∴ from (i) y = 6
∴ Hence the number is 306.

2.7 QUADRATIC EQUATION

An equation of the form ax2 + bx + c = 0 where x is a variable and a, b, c are constants with a ≠ 0 is called a quadratic equation or equation of the second degree.
When b=0 the equation is called a pure quadratic equation; when b ¹ 0 the equation is called an adfected quadratic.
Examples: i) 2x2 + 3x + 5 = 0
ii) x– x = 0
iii) 5x2 – 6x –3 = 0
The value of the variable say x is called the root of the equation. A quadratic equation has got two roots.
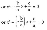
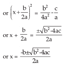
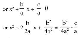
How to find out the roots of a quadratic equation:
ax+ bx +c = 0 (a ≠ 0)
ICAI Notes- Equations - CA Foundation

ICAI Notes- Equations - CA Foundation

Let one root be and the other root be β

ICAI Notes- Equations - CA Foundation

ICAI Notes- Equations - CA Foundation

ICAI Notes- Equations - CA Foundation

ICAI Notes- Equations - CA Foundation

2.8 HOW TO CONSTRUCT A QUADRATIC EQUATION

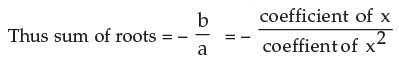
For the equation ax2 + bx + c = 0 we have

ICAI Notes- Equations - CA Foundation

or x2 – (Sum of the roots) x + Product of the roots = 0

2.9 NATURE OF THE ROOTS

ICAI Notes- Equations - CA Foundation

i) If b2>4ac = 0 the roots are real and equal;
ii) If b2>4ac >0 then the roots are real and unequal (or distinct);
iii) If b2>4ac <0 then the roots are imaginary;
iv) If b2>4ac is a perfect square ( ≠ 0) the roots are real, rational and unequal (distinct);
v) If b2>4ac > 0 but not a perfect square the rots are real, irrational and unequal.
Since b2 – 4ac discriminates the roots b2 – 4ac is called the discriminant in the equation ax2 + bx + c = 0 as it actually discriminates between the roots.

Note: (a) Irrational roots occur in pairs that is if  ICAI Notes- Equations - CA Foundation is a root then  ICAI Notes- Equations - CA Foundation  is the other root of the same equation.

(b) If one root is reciprocal to the other root then their product is 1 and so  ICAI Notes- Equations - CA Foundation = 1 i.e. c = a

(c) If one root is equal to other root but opposite in sign then. their sum = 0 and so  ICAI Notes- Equations - CA Foundation = 0. i.e. b = 0. 

Example 1 : Solve x2 – 5x + 6 = 0

Solution: 1st method : x2 – 5x + 6 = 0
or x2 –2x –3x +6 = 0
or x(x–2) – 3(x–2) = 0
or (x–2) (x–3) = 0
or x = 2 or 3
2nd method (By formula) x2 – 5x + 6 = 0

Here a = 1 b = –5   c = 6 (comparing the equation with ax2 + bx+c = 0)

ICAI Notes- Equations - CA Foundation

Example 2: Examine the nature of the roots of the following equations.
i) x2 – 8x2 + 16 = 0
ii) 3x2 – 8x + 4 = 0
iii) 5x2 – 4x + 2 = 0
iv) 2x2 – 6x – 3 = 0

Solution: (i) a = 1 b = –8 c = 16
b– 4ac = (–8)2 – 4.1.16 = 64 – 64 = 0
The roots are real and equal.
(ii) 3x2 – 8x + 4 = 0
a = 3 b = –8 c = 4
b2 – 4ac = (–8)2 – 4.3.4 = 64 – 48 = 16 > 0 and a perfect square
The roots are real, rational and unequal

iii) 5x2 – 4x + 2 = 0
b2 – 4ac = (–4)2 – 4.5.2 = 16–40 = –24 < 0
The roots are imaginary and unequal
(iv) 2x– 6x – 3 = 0
b2 – 4ac = (–6)2 – 4.2 (–3)
= 36 + 24 = 60 > 0
The root are real and unequal. Since b2 – 4ac is not a perfect square the roots are real irrational and unequal.

Illustrations:

1. If α and ß be the roots of x2 + 7x + 12 = 0 find the equation whose roots are ( α + ß )2 and (α - ß)2.

Solution : Now sum of the roots of the required equation
= (α + b)2 + (α + b)2 = (-7)2 + (α + b)2 - 4 ∝ b
= 49 + (–7)2 – 4x12 = 49 + 49 – 48 = 50

Product of the roots of the required equation = (α + b)2  (α - b)= 49 (49–48) = 49
Hence the required equation is x2 – (sum of the roots) x + product of the roots = 0
or x2 – 50x + 49 = 0

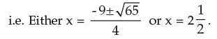
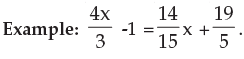
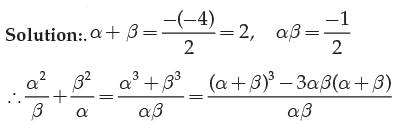
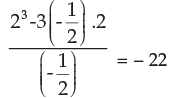
2. If a ,b be the roots of 2x2 – 4x – 1 = 0 find the value of  ICAI Notes- Equations - CA Foundation

ICAI Notes- Equations - CA Foundation

ICAI Notes- Equations - CA Foundation

ICAI Notes- Equations - CA Foundation

ICAI Notes- Equations - CA Foundation

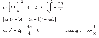
ICAI Notes- Equations - CA Foundation

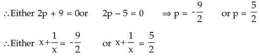
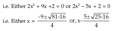
ICAI Notes- Equations - CA Foundation

or 4p+ 8p – 45 = 0
or 4p+ 18p – 10p – 45 = 0
or 2p(2p + 9) – 5(2p + 9) = 0
or (2p – 5) (2p + 9) = 0.

ICAI Notes- Equations - CA Foundation

ICAI Notes- Equations - CA Foundation

ICAI Notes- Equations - CA Foundation

ICAI Notes- Equations - CA Foundation

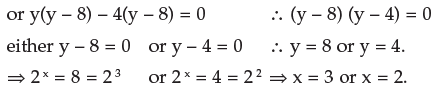
or t2 + 32 = 12t
or t2 – 12t + 32 = 0
or t2 – 8t – 4t + 32 = 0
or t(t–8) – 4(t–8) = 0
or (t–4) (t–8) = 0
∴ t = 48
For t = 4   2x = 4 = 22 i.e. x = 2
For t = 8   2x = 8 = 23 i.e. x = 3

ICAI Notes- Equations - CA Foundation

∴ Required equation is : x2 – (sum of roots)x + (product of roots) = 0 or x2 – 4x + 1 = 0.

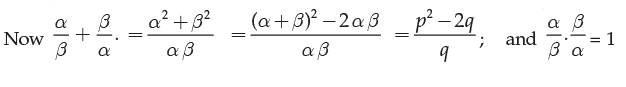
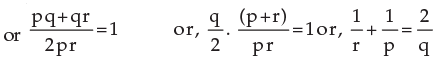
7. If α β are the two roots of the equation x2 – px + q = 0 form the equation whose roots are  ICAI Notes- Equations - CA Foundation   

Solution: As α, β are the roots of the equation x2 – px + q = 0 α + β = – (– p) = p and α β = q.

ICAI Notes- Equations - CA Foundation

ICAI Notes- Equations - CA Foundation

or qx2 – (p2 – 2q) x + q = 0
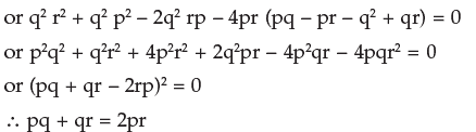
8. If the roots of the equation p(q – r)x2 + q(r – p)x + r(p – q) = 0
are equal show that  ICAI Notes- Equations - CA Foundation

Solution: Since the roots of the given equation are equal the discriminant must be zero ie. q2(r – p)2 – 4. p(q – r) r(p – q) = 0

ICAI Notes- Equations - CA Foundation

ICAI Notes- Equations - CA Foundation

2.10 PROBLEMS ON QUADRATIC EQUATION

1. Difference between a number and its positive square root is 12; find the numbers?

Solution: Let the number be x.
Then ICAI Notes- Equations - CA Foundation = 12 …………… (i)

ICAI Notes- Equations - CA Foundation

or (y – 4) (y + 3) = 0 ∴ Either y = 4 or y = – 3 i.e. Either  ICAI Notes- Equations - CA Foundation or  ICAI Notes- Equations - CA Foundation

If ICAI Notes- Equations - CA Foundation x = 9 if does not satisfy equation (i) so ICAI Notes- Equations - CA Foundationor x=16.

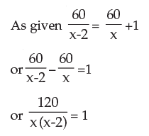
2. A piece of iron rod costs Rs. 60. If the rod was 2 metre shorter and each metre costs Re 1.00 more, the cost would remain unchanged. What is the length of the rod?
Solution: Let the length of the rod be x metres. The rate per meter is Rs. ICAI Notes- Equations - CA Foundation

New Length = (x – 2); as the cost remain the same the new rate per meter is ICAI Notes- Equations - CA Foundation 

ICAI Notes- Equations - CA Foundation

or x– 2x = 120 or x2 – 2x – 120 = 0 or (x – 12) (x + 10) = 0.
Either x = 12 or x = –10 (not possible) ∴ Hence the required length = 12m.

3. Divide 25 into two parts so that sum of their reciprocals is 1/6.
Solution: let the parts be x and 25 – x

ICAI Notes- Equations - CA Foundation

ICAI Notes- Equations - CA Foundation

or x(x–15) – 10(x–15) = 0
or (x–15) (x–10) = 0

or x = 10, 15
So the parts of 25 are 10 and 15.

2.11 SOLUTION OF CUBIC EQUATION

On trial basis putting some value of x to check whether LHS is zero then to get a factor.
This is a trial and error method. With this factor to factorise the LHS and then to get values of x .

Illustrations :

1. Solve x3 – 7x + 6 = 0
Putting x = 1 L.H.S is Zero. So (x–1) is a factor of x3 – 7x + 6
We write x3–7x +6 = 0 in such a way that (x–1) becomes its factor. This can be achieved by writing the equation in the following form.

or x3–x2+x2–x–6x+6 = 0
or x2(x–1) + x(x–1) – 6(x–1) = 0
or (x–1)(x2+x–6) = 0
or (x–1)(x2+3x–2x–6) = 0
or (x–1){x(x+3) – 2(x+3) } = 0
or (x–1)(x–2)(x+3) = 0

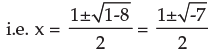
2. Solve for real x: x+ x + 2 = 0

Solution: By trial we find that x = –1 makes the LHS zero. So (x + 1) is a factor of x3 + x + 2
We write x3 + x + 2 = 0 as x+ x2 – x2 – x + 2x + 2 = 0
or x2(x + 1) – x(x + 1) + 2(x + 1) = 0
or (x + 1) (x2 – x + 2) = 0.
Either x + 1 = 0
or x2 – x + 2 = 0 i.e. x = –1
ICAI Notes- Equations - CA Foundation

As x =  ICAI Notes- Equations - CA Foundation is not real, x = –1 is the required solution.

2.12 APPLICATION OF EQUATIONS IN CO–ORDINATE GEOMETRY

Introduction: Co-ordinate geometry is that branch of mathematics which explains the problems of geometry with the help of algebra

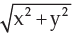
Distance of a point from the origin.

ICAI Notes- Equations - CA Foundation

P (x, y) is a point.
By Pythagoras’s Theorem OP2 =OL2 + PL2 or OP2 = x+ y2
So Distance OP of a point from the origin O is  ICAI Notes- Equations - CA Foundation

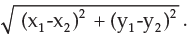
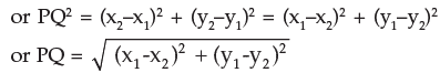
Distance between two points

ICAI Notes- Equations - CA Foundation

By Pythagoras’s Theorem PQ2=PT2 +QT2

ICAI Notes- Equations - CA Foundation

So distance between two points (x1 y1) and (x2 y2) is given by  ICAI Notes- Equations - CA Foundation

2.13 EQUATION OF A STRAIGHT LINE

ICAI Notes- Equations - CA Foundation

(I) The equation to a straight line in simple form is generally written as y=mx+c …… (i)
where m is called the slope and c is a constant.

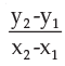
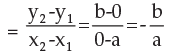
If P1(x1, y1) and P2(x2, y2) be any two points on the line the ratio  ICAI Notes- Equations - CA Foundation is known as the
slope of the line.

We observe that B is a point on the line y = mx+c and OB is the length of the y-axis that is intercepted by the line and that for the point B x=0.
Substituting x=0 in y=mx+c we find y=c the intercept on the y axis.
This form of the straight line is known as slope–intercept form.

Note : (i) If the line passes through the origin (0, 0) the equation of the line becomes y = mx (or x=my)
(ii) If the line is parallel to x–axis, m=0 and the equation of the line becomes y = c (or x = b b is the intercept on x–axis)

(iii) If the line coincides with x–axis, m=0, c=0 then the equation of the line becomes y=0 which is the equation of x–axis. Similarly x=0 is the equation of y–axis.
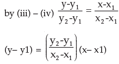
(II) Let y = mx + c ………….. (i) be the equation of the line p1p2.

Let the line pass through (x1, y1). So we get
y= mx1+c ...(ii) By (i) – (ii) y–y= m(x–x1) … (iii)
which is another from of the equation of a line to be used when the slope(m) and any point (x1 y1) on the line be given. This form is called point–slope form.
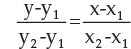
(III) If the line above line (iii) passes through another point (x2, y2). we write y2–y1 = m(x2–x1)

ICAI Notes- Equations - CA Foundation

Which is the equation of the line passing through two points (x1, y1) and (x2, y2)
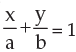
(IV) We now consider a straight line that makes x-intercept = a and y-intercept = b
Slope of the line

ICAI Notes- Equations - CA Foundation

ICAI Notes- Equations - CA Foundation

If (x, y) is any point on this line we may also write the slope as 

ICAI Notes- Equations - CA Foundation

ICAI Notes- Equations - CA Foundation

ICAI Notes- Equations - CA Foundation

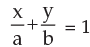
The form  ICAI Notes- Equations - CA Foundation  is called intercept form of the equation of the line and the same is to be used when x–intercept and y–intercept be given.

Note: (i) The equation of a line can also be written as ax+by+c = 0
(ii) If we write ax+by+c = 0 in the form y = mx+c

ICAI Notes- Equations - CA Foundation

(iii) Two lines having slopes m1 and m2 are parallel to each other if and only if m1 = m2 and perpendicular to each other if and only if m1m2 = –1
(iv) Let ax + by + c  =  0 be a line. The equation of a line parallel to
ax + by + c = 0  is  ax + by + k = 0 and the equation of the line perpendicular to
ax + by + c = 0  is  bx– ay +k = 0
Let lines ax + by + c = 0 and a1x+b1y+c1 = 0 intersect each other at the point (x1, y1).
So ax1 + by1 + c = 0
a1x1 + b1y1 + c1 = 0

By cross multiplication  ICAI Notes- Equations - CA Foundation

ICAI Notes- Equations - CA Foundation

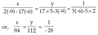
Example : Let the lines 2x+3y+5 = 0 and 4x–5y+2 = 0 intersect at (x1 y1). To find the point of intersection we do cross multiplication as
2x1 + 3y1 + 5 = 0
4x1 + 5y1 + 2 = 0

ICAI Notes- Equations - CA Foundation

Solving x1 =19/2 y1=–8

(V) The equation of a line passing through the point of intersection of the lines ax + by + c = 0 and a1x + b1y + c = 0 can be written as ax+by+c+K (a1x+b1y+c) = 0 when K is a constant.

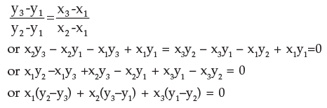
(VI) The equation of a line joining the points (x1 y1) and (x2 y2) is given as

ICAI Notes- Equations - CA Foundation

If any other point (x3 y3) lies on this line we get

ICAI Notes- Equations - CA Foundation

which is the required condition of collinearity of three points.

Illustrations:

1. Show that the points A(2, 3) B(4, 1) and C(–2, 7) are collinear.
Solution : Using the rule derived in VI above we may conclude that the given points are collinear if 2(1–7)+4(7–3)–2(3–1)=0 i.e. if –12+16–4=0 which is true.
So the three given points are collinear

2. Find the equation of a line passing through the point (5, –4) and parallel to the line 4x+7y+5 = 0

Solution : Equation of the line parallel to 4x+7y+5 = 0 is 4x+7y+K = 0
Since it passes through the point (5, –4) we write
4(5) + 7(–4) + k = 0
or 20 – 28 + k = 0
or –8 + k = 0
or k = 8
The equation of the required line is therefore 4x+7y+8 = 0.

3. Find the equation of the straight line which passes through the point of intersection of the straight lines 2x+3y = 5 and 3x+5y = 7 and makes equal positive intercepts on the coordinate axes.

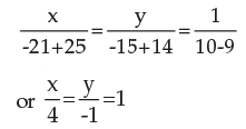
Solution: 2x+3y–5 = 0
3x+5y–7 = 0
By cross multiplication

ICAI Notes- Equations - CA Foundation

So the point of intersection of the given lines is (4, –1)
Let the required equation of line be

ICAI Notes- Equations - CA Foundation  (*for equal positive intercepts a=b)
∴ x + y = a
Since it passes through (4, –1) we get 4 – 1 = a or a = 3
The equation of the required line is therefore x + y = 3

4. Prove that (3, 1) (5, –5) and (–1, 13) are collinear and find the equation of the line through these three points.

Solution: If A (3, 1) B (5, – 5) and C (–1, 13) are collinear we may write
3(–5–13) +5(13–1) –1(1+5) = 0
or 3(–18) +5(12) – 6 = 0 which is true.
Hence the given three points are collinear.
As the points A, B, C are collinear, the required line will be the line through any of these two points. Let us find the equation of the line through B(5, – 5) and A (3, 1)
Using the rule derived in III earlier we find

ICAI Notes- Equations - CA Foundation

or 3x + y = 10 is the required line.

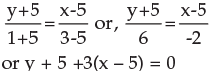
5. Find the equation of the line parallel to the line joining points (7, 5) and (2, 9) and passing through the point (3, –4).

Solution : Equation of the line through the points (7, 5) and (2, 9) is given by

ICAI Notes- Equations - CA Foundation

or –5y + 25 = 4x–28
or 4x+5y–53 = 0
Equation of the line parallel to 4x+5y–53=0 is 4x+5y+k = 0
If it passes through (3, –4) we have 12–20+k = 0 i.e. k=8
Thus the required line is 4x+5y+8 = 0

6. Prove that the lines 3x – 4y + 5 = 0, 7x – 8y + 5 = 0 and 4x + 5y = 45 are concurrent.

Solution: Let (x1 y1) be the point of intersection of the lines
3x – 4y +5 = 0 …………… (i)
7x – 8y + 5 = 0 …………... (ii)
Then we have 3x1 – 4y1 + 5 = 0
7x1 – 8y1 + 5 = 0

ICAI Notes- Equations - CA Foundation

Hence (5, 5) is the point of intersection. Now for the line 4x + 5y = 45
we find 4.(5) + 5.5 = 45; hence (5, 5) satisfies the equation 4x+5y=45.
Thus the given three lines are concurrent.

7. A manufacturer produces 80 T.V. sets at a cost Rs. 220000 and 125 T.V. sets at a cost of Rs. 287500. Assuming the cost curve to be linear find the equation of the line and then use it to estimate the cost of 95 sets.

Solution: Since the cost curve is linear we consider cost curve as y = Ax + B where y is total cost. Now for x = 80 y = 220000.
 ∴ 220000 = 80A +B …..(i) and for x = 125 y=287500
∴ 287500 = 125A +B ……(ii)
Subtracting (i) from (ii) 45A = 67500 or A = 1500
From (i) 220000 – 1500 ´ 80 = B or B = 220000 – 120000 = 100000
Thus equation of cost line is y = 1500x + 100000.
For x = 95 y = 142500 + 100000 = Rs. 242500.
∴ Cost of 95 T.V. set will be Rs. 242500.

2.14 GRAPHICAL SOLUTION TO LINEAR EQUATIONS

1 . Drawing graphs of straight lines From the given equation we tabulate values of (x, y) at least 2 pairs of values and then plot them in the graph taking two perpendicular axis (x, y axis). Then joining the points we get the straight line representing the given equation.

Example 1 : Find the graph of the straight line having equation 3y = 9 – 2x

Solution: We have 2x + 3y = 9. We tabulate y =  ICAI Notes- Equations - CA Foundation

ICAI Notes- Equations - CA Foundation  

ICAI Notes- Equations - CA Foundation

Here AB is the required straight line shown in the graph.

Example 2 : Draw graph of the straight lines 3x +4y = 10 and 2x – y = 0 and find the point of intersection of these lines.

Solution: For 3x + 4y = 10 we have y =  ICAI Notes- Equations - CA Foundation

ICAI Notes- Equations - CA Foundation

For 2x – y = 0 we tabulate

ICAI Notes- Equations - CA Foundation

ICAI Notes- Equations - CA Foundation

From the graph, the point of intersection is (1, 2)

The document ICAI Notes- Equations - CA Foundation is a part of CA Foundation category.
All you need of CA Foundation at this link: CA Foundation

FAQs on ICAI Notes- Equations - CA Foundation

1. What is the CA Foundation exam?
Ans. The CA Foundation exam is the entry-level exam for the Chartered Accountancy course in India. It is conducted by the Institute of Chartered Accountants of India (ICAI) twice a year, in May and November.
2. What is the syllabus for the CA Foundation exam?
Ans. The CA Foundation exam consists of four papers: Principles and Practice of Accounting, Business Laws and Business Correspondence and Reporting, Business Mathematics and Logical Reasoning and Statistics, and Business Economics and Business and Commercial Knowledge. The detailed syllabus for each paper can be found on the ICAI website.
3. How long is the CA Foundation exam?
Ans. The CA Foundation exam is conducted over four days, with one paper per day. Each paper is for three hours, making the total duration of the exam 12 hours.
4. What is the eligibility criteria for the CA Foundation exam?
Ans. To be eligible for the CA Foundation exam, a candidate must have passed the 10+2 examination or its equivalent from a recognized board. There is no minimum percentage requirement for appearing in the exam.
5. How can I prepare for the CA Foundation exam?
Ans. To prepare for the CA Foundation exam, candidates should start by thoroughly understanding the syllabus and exam pattern. They should also solve previous year question papers and take mock tests to assess their preparation level. Joining a coaching institute or taking online classes can also be helpful. Studying regularly and revising the concepts is key to cracking the exam.
Download as PDF

Top Courses for CA Foundation

Related Searches

Previous Year Questions with Solutions

,

mock tests for examination

,

video lectures

,

shortcuts and tricks

,

Viva Questions

,

ICAI Notes- Equations - CA Foundation

,

practice quizzes

,

study material

,

Extra Questions

,

ICAI Notes- Equations - CA Foundation

,

Sample Paper

,

ICAI Notes- Equations - CA Foundation

,

Free

,

past year papers

,

MCQs

,

Important questions

,

Summary

,

ppt

,

pdf

,

Exam

,

Objective type Questions

,

Semester Notes

;