NEET PG Exam  >  NEET PG Notes  >  Physiology  >  Chapter Notes: Cell Physiology and Membrane Potential

Cell Physiology and Membrane Potential Chapter Notes | Physiology - NEET PG PDF Download

Introduction to Cells

Definition: Cells are the basic structural and functional units of living organisms, discovered by Robert Hooke in 1665.

Components:

  • Cell Membrane: Outer boundary.
  • Cytoplasm: Jelly-like material inside the cell.
  • Nucleus: Control centre containing genetic material.

Cell Membrane

Structure:

  • Thickness: 7.5–10 nanometers.

Composition:

Lipids (40%):

  • Phospholipids (25%): Predominantly phosphatidylcholine and sphingomyelin in the outer leaflet; phosphatidylethanolamine, phosphatidylserine, and phosphatidylinositol in the inner leaflet.
  • Cholesterol (13%): Present in both leaflets, stabilizes membrane at 37°C, maintains permeability and fluidity.
  • Other Lipids (4%): Triglycerides = 0%.

Proteins (55%):

  • Integral Proteins: Embedded in the membrane via hydrophobic interactions, may span the membrane (e.g., ion channels, transport proteins, receptors, G proteins).
  • Peripheral Proteins: Loosely attached via covalent bonds, electrostatic interactions, or hydrogen bonds with integral proteins.
  • Carbohydrates (3%): Glycoproteins and glycolipids, externally located, contribute to membrane asymmetry.

Protein-to-Lipid Ratio: Approximately 1:1 in most membranes.

  • Highest in inner mitochondrial membrane (3.2), sarcoplasmic reticulum (2.0), outer mitochondrial membrane (1.1).
  • Lowest in myelin (0.23), mouse liver cells (0.85), human erythrocyte (1.1).

Membrane Asymmetry:

  • Due to unique protein orientations and external carbohydrate location.

Transport Across Membrane:

  • Lipid-Soluble Substances: O₂, CO₂, steroid hormones dissolve in the lipid bilayer and cross easily.

  • Water-Soluble Substances: Na⁺, Cl⁻, glucose, H₂O cross via water-filled channels, pores, or carriers.

Fluid Mosaic Model

  • Proposed: By Singer and Nicolson in 1972.
  • Description: Integral proteins are like icebergs in a fluid sea of phospholipids.
  • Membrane Fluidity:

Factors Affecting:

  • Temperature: Higher temperatures increase fluidity; transition from ordered (gel-like) to disordered (fluid) state at the transition temperature (Tm).

Lipid Composition:

  • Unsaturated fatty acyl chains increase fluidity.
  • Longer, saturated fatty acids decrease fluidity, increasing Tm.

Cholesterol: Acts as a fluidity buffer.

  • Below Tm: Increases fluidity.
  • Above Tm: Decreases fluidity.

Membrane Repair:

  • Micro-Injury: Rapid resealing via hydrophobic interactions (self-sealing).
  • Macro-Injury: Calcium-dependent process.

Lateral Diffusion: Proteins diffuse laterally in the lipid matrix unless restricted, supporting the fluid mosaic model.

Cytoplasm

Composition: Jelly-like, 80% water, contains cytosol (clear liquid with dissolved proteins, electrolytes, glucose) and organelles.

Organelles and Functions
Nucleus:

  • Features: Control center, contains DNA (genes).
  • Functions: RNA synthesis, protein synthesis instruction, ribosome subunit formation, cell division control, hereditary information storage.

Ribosomes:

  • Features: No limiting membrane, 65% RNA, 35% proteins.
  • Functions: Protein synthesis.

Rough Endoplasmic Reticulum (RER):

  • Features: Tubular with ribosomes on surface.
  • Functions: Protein synthesis, degradation of damaged organelles.

Smooth Endoplasmic Reticulum (SER):

  • Features: No ribosomes (agranular).
  • Functions: Lipid and steroid synthesis, calcium storage/metabolism, detoxification of toxic substances.

Lysosomes:

  • Features: Vesicular, form from Golgi apparatus, acidic interior (pH 5.0 vs. cytoplasm pH 7.2), contain >40 acid hydrolase enzymes.
  • Functions: Intracellular digestion, degrade worn-out organelles, remove excess secretory products, bacteria; secrete perforin, granzymes, melanin, serotonin.
  • Lysosomal Storage Diseases: Enzyme deficiencies (e.g., Fabry disease: α-galactosidase A deficiency; Gaucher disease: β-galactocerebrosidase deficiency).

Peroxisomes:

  • Features: Similar to lysosomes, form by self-replication or budding from SER, contain oxidases (produce H₂O₂) and catalases (break down H₂O₂).
  • Functions: Break down fatty acids, detoxify H₂O₂, utilize oxygen, accelerate gluconeogenesis, degrade purine to uric acid, form myelin and bile acids.

Mitochondria:

  • Features: Sausage-shaped, outer membrane, inner membrane with cristae, number varies (<100 to several thousand, e.g., high in cardiomyocytes, low in adipocytes).
  • Functions: ATP synthesis via oxidative phosphorylation, initiate/regulate apoptosis.

Centrosome:

  • Features: Near nucleus, contains two centrioles and pericentriolar material, microtubule-organizing centers (MTOCs) with γ-tubulin.
  • Functions: Chromosome movement during cell division, monitors cell division steps.

Cytoskeleton

Components:

Microtubules:

  • Structure: Long, hollow, 5-nm walls, 15-nm cavity, made of α- and β-tubulin (13 subunits/ring), γ-tubulin aids formation.
  • Features: Polar, assembly at '+' end, disassembly at '−' end, GTP-dependent formation.
  • Functions: Intracellular transport, cilia/flagella, centriole-mitotic spindle.
  • Inhibitors: Colchicine, vinblastine (prevent assembly); Paclitaxel (Taxol) (stabilizes, prevents organelle movement).


Cell Physiology and Membrane Potential Chapter Notes | Physiology - NEET PG

Microfilaments:

  • Structure: Solid fibers of actin (15% of cell protein).
  • Features: ATP-dependent polymerization/depolymerization, filamentous (F) actin vs. globular (G) actin.
  • Functions: Cell junction, muscle contraction, slow axoplasmic transport, critical for contractile apparatus and locomotion.

Intermediate Filaments:

  • Structure: Various subunits, connect nuclear to cell membrane.
  • Features: Cell-type specific (e.g., vimentin: mesenchyme; cytokeratin: epithelial; glial fibrillary acidic protein: glial cells).
  • Functions: Cell adhesion, cell shape.
  • Note: Not directly involved in locomotion; absence causes cell rupture, abnormal filaments cause skin blistering.

Intercellular Junctions

Cell Physiology and Membrane Potential Chapter Notes | Physiology - NEET PGTypes
Tight Junction (Zonula Occludens):

  • Location: Surrounds apical margins of epithelial cells.
  • Proteins: Occludin, junctional adhesion molecules (JAMs), claudins.
  • Function: Permits paracellular passage of some ions/solutes.

Adherens Junction (Zonula Adherens):

  • Location: Basal to tight junction.
  • Proteins: Cadherins (Ca²⁺-dependent).
  • Function: Attaches microfilaments, signals during organ development/remodeling.

Desmosomes:

  • Structure: Thickened membrane areas with intermediate filaments.
  • Proteins: Desmoglein.
  • Function: Structural support.

Hemidesmosomes:

  • Structure: Half-desmosomes, attach to basal lamina.
  • Proteins: Integrins.
  • Function: Anchors cells to extracellular matrix.

Focal Adhesion:

  • Structure: Labile, associated with actin filaments.
  • Function: Cell movement, attachment to basal lamina.

Gap Junction:

  • Structure: Narrows intercellular space (25 nm to 3 nm), formed by connexons (six connexin subunits).
  • Function: Allows passage of ions, sugars, amino acids (MW <1000), electrically/metabolically couples cells.
  • Regulation: By cytosolic Ca²⁺, cAMP, H⁺, membrane potential.
  • Connexin Mutations: Cause diseases (e.g., Clouston syndrome, inherited deafness, cataracts, Charcot-Marie-Tooth disease).

Transport Across Cell Membrane

General Principles:

  • Molecules diffuse across lipid bilayers based on size and oil solubility.

  • Small Nonpolar Molecules: O₂, CO₂ diffuse rapidly.

  • Small Uncharged Polar Molecules: Water, urea diffuse slowly.

  • Charged Molecules/Ions: Highly impermeable due to charge and hydration.

Porins:

  • Beta barrel proteins in outer membranes of Gram-negative bacteria, mitochondria, chloroplasts.

  • Function: Passive diffusion of medium-sized/charged molecules (sugars, ions, amino acids).

Transport Proteins
Carrier Proteins (Transporters):

  • Mechanism: Solute binds, transporter changes shape to move solute across.

Types:

  • Facilitated Diffusion: No energy, down concentration gradient.
  • Active Transport: Energy-dependent, against gradient.

Characteristics:

  • Stereospecificity: e.g., D-glucose transported, not L-glucose.
  • Saturation: Transport rate saturates at transport maximum (Tm).
  • Competition: Related solutes compete (e.g., galactose inhibits glucose transport).

Channel Proteins:

  • Function: Allow rapid ion diffusion (Na⁺, K⁺, Cl⁻, Ca²⁺).
    Features:
    Selectivity: Based on channel diameter, charge, hydration (e.g., K⁺ channels selective for K⁺).
    Gating: Open/closed states.
    Ligand-Gated: Activated by molecule binding.
    Voltage-Gated: Activated by membrane potential changes.
    Mechanically Gated: Activated by membrane stretching.

  • Structure: K⁺ channels and aquaporins are tetramers; ligand-gated channels have five subunits; Cl⁻ channels are dimers.

Transport Classification

Passive Transport:

(i) Simple Diffusion:

  • No carrier, no Tm, follows Fick’s Law: ( J = -\frac{DA}{X} \Delta C ).
  • Example: O₂/CO₂ exchange in alveoli.

(ii) Facilitated Diffusion:

  • Carrier-mediated, no energy, saturable (has Tm), follows Michaelis-Menten kinetics.
  • Example: Glucose transport via GLUT.

(iii) Non-Ionic Diffusion:

  • Weak acids/bases cross in non-ionized form.
  • Example: Ammonia transport in GIT/kidney.

Active Transport:
(i) Primary Active Transport:

  • Energy from transporter (e.g., Na⁺-K⁺ ATPase).

(ii) Secondary Active Transport:

  • Energy indirect (e.g., sodium-linked glucose transport, SGLT).

Transport Characteristics:

  • Simple Diffusion: Downhill, no carrier, no energy, unaffected by Na⁺-K⁺ ATPase inhibition.
  • Facilitated Diffusion: Downhill, carrier-mediated, no energy, unaffected by Na⁺-K⁺ ATPase inhibition.
  • Primary Active Transport: Uphill, carrier-mediated, energy-dependent, inhibited by Na⁺-K⁺ ATPase inhibitors.
  • Secondary Active Transport: Uphill (some solutes), carrier-mediated, energy-dependent, inhibited by Na⁺-K⁺ ATPase inhibitors.

Na⁺-K⁺ ATPase Pump

Structure: Heterodimer (α and β subunits).

  • α Subunits: α1, α2, α3; intracellular side binds ATP, 3 Na⁺; ECF side binds ouabain, 2 K⁺.

  • β Subunits: β1, β2, β3; 3 glycosylation sites on ECF side.

Function:

  • Electrogenic pump (3 Na⁺ out, 2 K⁺ in).

  • Regulates cell volume, pressure, maintains RMP (5–10%).

Regulation:

  • Stimulated by thyroid hormones, insulin, aldosterone, G-actin.

  • Inhibited by ouabain.

Osmosis

  • Definition: Water flow across a semipermeable membrane from low to high solute concentration.

Osmotic Pressure Cell Physiology and Membrane Potential Chapter Notes | Physiology - NEET PG

  • Modified: Cell Physiology and Membrane Potential Chapter Notes | Physiology - NEET PG(reflection coefficient) accounts for membrane permeability.

    • (σ = 0): Freely permeable (e.g., urea, ineffective osmole).

    • (σ = 1): Impermeable (e.g., sucrose, effective osmole).

Example Calculation:

  • RBC in 280 mOsm/kg H₂O (100 fl) moved to 350 mOsm/kg H₂O.
  • Formula: (Cell Physiology and Membrane Potential Chapter Notes | Physiology - NEET PG).
  • Calculation: Cell Physiology and Membrane Potential Chapter Notes | Physiology - NEET PG.

Oncotic Pressure:

  • Osmotic pressure from large molecules (e.g., proteins).
  • Normal plasma value: 26–28 mm Hg.
  • Does not strictly follow van’t Hoff’s law for large proteins.

Exocytosis

Cell Physiology and Membrane Potential Chapter Notes | Physiology - NEET PGDefinition: Delivery of secretory vesicle contents to extracellular fluid.

Mechanism: Vesicle membrane fuses with cell membrane, contents released, Ca²⁺-dependent.

Pathways:

  • Nonconstitutive (Regulated): Proteins processed in secretory granules before release.
  • Constitutive: Rapid transport to membrane with minimal processing.

Endocytosis

Definition: Uptake of extracellular material into the cell.

Types:

  • Phagocytosis: Engulfs large particles (e.g., bacteria).
  • Pinocytosis: Uptakes solutions in small vesicles.

Clathrin-Mediated (Receptor-Mediated):

  • Occurs at clathrin-coated membrane indentations.
  • Clathrin forms triskelion-shaped arrays, surrounds vesicle, then recycles.
  • Internalizes receptors/ligands (e.g., nerve growth factor, low-density lipoproteins), important in synaptic function.

Resting Membrane Potential (RMP)

  • Definition: RMP is the voltage difference across a cell membrane at rest, where the extracellular surface has an excess of positive charge, and the cytoplasmic surface has an excess of negative charge.

  • Typical Value: In neurons, RMP is approximately -70 mV, close to the equilibrium potential of K⁺ ions.

Key Equations

  • Donnan Effect/Gibbs-Donnan Equilibrium

  • Nernst Equation

  • Goldman-Hodgkin-Katz (G-H-K) Equation (also known as Goldman constant field equation or chord conductance equation).

Donnan Effect/Gibbs-Donnan Equilibrium

Concept: Occurs due to the presence of a charged, impermeant ion (e.g., negatively charged proteins) on one side of a semipermeable membrane.

  • Repulsion and Attraction:

    • Repels similarly charged permeant ions (e.g., Cl⁻) to the opposite side.

    • Attracts oppositely charged permeant ions (e.g., Na⁺) to the same side.

  • Result: Asymmetric distribution of permeant ions across the membrane, leading to electroneutrality on each side.

Illustration:

  • Setup: A semipermeable membrane separates two solutions (A and B) of NaCl. Solution A contains non-diffusible negatively charged proteins.

  • Initial State: Equal Na⁺ concentrations in both solutions.

Equilibrium State:

  • Solution A: Higher Na⁺ (held by proteins), lower Cl⁻.

  • Solution B: Lower Na⁺, higher Cl⁻.

  • Each solution remains electroneutral (total cations = total anions).

Mathematical Expression (Gibbs-Donnan Equation):

  • Product of diffusible ion concentrations is equal on both sides: Cell Physiology and Membrane Potential Chapter Notes | Physiology - NEET PG

  • Each side is electrically neutral: Cell Physiology and Membrane Potential Chapter Notes | Physiology - NEET PG

Osmotic Effect:

  • Side with impermeant ions (Side A) has higher osmolarity (e.g., 24 vs. 12 for Side B).

Relative Permeability of Molecules

Order of Permeability:

  • Hydrophobic Molecules (e.g., CO₂, O₂, N₂, steroid hormones) ≫ Small Uncharged Polar Molecules (e.g., H₂O, urea, glycerol) ≫ Large Uncharged Polar Molecules (e.g., glucose, sucrose) ≫ Ions (e.g., Na⁺, K⁺, Cl⁻).

Ion Permeability:

  • Synthetic Biological Membrane: Cl⁻ ≫ K⁺ ≫ Na⁺.

  • Cell Membrane: K⁺ ≫ Cl⁻ ≫ Na⁺.

  • Resting Condition Permeability Ratios: K⁺:Cl⁻:Na⁺ = 1.0:0.45:0.04.

Concept of Equilibrium Potential and RMP

Equilibrium Potential: The voltage across a membrane where the chemical and electrical driving forces for an ion are balanced, resulting in no net ion movement.

RMP Generation in Glial Cells:

  • Glial cells are permeable only to K⁺ at rest.

  • Mechanism:

    • High intracellular K⁺ concentration drives K⁺ efflux (chemical gradient).

    • Efflux leaves behind negative charges (impermeant anions like proteins), creating a positive extracellular surface.

    • At equilibrium, the electrical force (inward) balances the chemical force (outward), establishing the K⁺ equilibrium potential (E_K).

  • Result: RMP of glial cells equals EK (approximately -90 mV).

General Observation:

  • Most excitable cells are maximally permeable to K⁺ at rest, so RMP is close to EK.

  • In neurons, RMP (-70 mV) equals the equilibrium potential of Cl⁻.

Nernst Equation

  • Purpose: Calculates the equilibrium potential for a specific ion (Ex).

  • FormulaCell Physiology and Membrane Potential Chapter Notes | Physiology - NEET PG

    • R: Gas constant.

    • T: Temperature (in Kelvin).

    • Z: Valence of the ion (e.g., +1 for Na⁺, -1 for Cl⁻, +2 for Ca²⁺).

    • F: Faraday constant.

    • $[X]_o$, $[X]_i$: Ion concentrations outside and inside the cell.

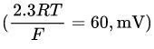
  • Simplified Form (at 37°C)Cell Physiology and Membrane Potential Chapter Notes | Physiology - NEET PG

    • Conversion factor: Cell Physiology and Membrane Potential Chapter Notes | Physiology - NEET PG at 37°C.

  • Example Calculation:

    • Given: Intracellular [Na⁺] = 15 mM, Extracellular [Na⁺] = 150 mM.

    • Cell Physiology and Membrane Potential Chapter Notes | Physiology - NEET PG

    • Intuitive Approach: Higher extracellular Na⁺ drives Na⁺ influx, making the inside positive (+60 mV).

  • Equilibrium Potentials for Ions:

    • Na⁺: +63 to +65 mV

    • K⁺: -90 to -96 mV

    • Cl⁻: -64 to -70 mV

    • Ca²⁺: +132 to +137 mV

    • H⁺: -12 mV

    • HCO₃⁻: -13 mV

    • Mg²⁺: +9 mV

RMP in Cells with Multiple Permeable Ions

  • Unlike Glial Cells: Most mammalian cells (e.g., neurons) are permeable to Na⁺, K⁺, and Cl⁻ at rest.

  • Net Ion Flow:

    • At RMP, the sum of ion currents is zero: Cell Physiology and Membrane Potential Chapter Notes | Physiology - NEET PG

    • RMP settles where there is no net ion movement.

  • Dominance of K⁺:

    • Due to high K⁺ permeability, RMP is closest to EK (-90 mV).

    • Example: Neuron RMP (-70 mV) is influenced by K⁺, Cl⁻, and Na⁺, but dominated by K⁺.

Role of Na⁺-K⁺ ATPase Pump

  • Function: Maintains concentration gradients for Na⁺ and K⁺.

    • Pumps 3 Na⁺ out and 2 K⁺ in per ATP hydrolyzed.

  • Mechanism:

    • Creates high intracellular K⁺ and low intracellular Na⁺.

    • K⁺ efflux (via leak channels) is balanced by the electrical gradient pulling K⁺ inward.

    • Results in a slight excess of extracellular cations and intracellular anions, establishing RMP.

  • Significance: Maintains the conditions necessary for RMP stability.

Recording of RMP

Cell Physiology and Membrane Potential Chapter Notes | Physiology - NEET PGMethod:

  • Two electrodes connected via an amplifier.

  • One electrode inside the cell, one outside.

  • Observation: Constant potential difference with the inside negative (e.g., -70 mV in neurons).

Electrode Details:

  • Tip diameter < 0.5 micrometers.

RMP and Threshold Voltage of Different Tissues

Calculation of RMP

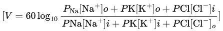
Goldman-Hodgkin-Katz (G-H-K) Equation

  • Purpose: Calculates RMP based on ion concentrations and permeabilities.

  • FormulaCell Physiology and Membrane Potential Chapter Notes | Physiology - NEET PG

    • P: Permeability of the ion.

    • []o, []i: Concentrations outside and inside the cell.

  • Dependencies:

    • Distribution of Na⁺, K⁺, and Cl⁻ between extracellular fluid (ECF) and intracellular fluid (ICF).

    • Relative permeabilities of the membrane to these ions.

Changes in RMP

Excitability: Ability of cells (neurons, muscle cells) to produce electrical signals via gated ion channels.

Types of Potentials

Graded Potentials:

  • Variable amplitude, conducted decrementally over short distances, no threshold/refractory period.

  • Types:

    • Receptor Potential: At afferent neuron endings due to stimuli.

    • Synaptic Potential: In postsynaptic neurons (EPSP: depolarizing, IPSP: hyperpolarizing).

    • Pacemaker Potential: Spontaneous in specialized cells (e.g., SA node).

Action Potentials: Brief, all-or-none, reverse polarity, have threshold/refractory period, conduct without decrement.

Terminology:

  • Depolarization: Membrane potential becomes less negative (e.g., -70 mV to -40 mV or +40 mV).

  • Repolarization: Returns to RMP after depolarization.

  • Hyperpolarization: Becomes more negative (e.g., -70 mV to -90 mV).

  • Overshoot: Inside becomes positive (>0 mV).

Effect of Ion Changes:

  • Hyperkalemia: Decreases RMP (e.g., -70 mV to -65 mV), due to reduced K⁺ efflux.

  • Hypokalemia: Increases RMP.

  • Hyponatremia/Hypernatremia: Minimal effect due to low Na⁺ permeability at rest.

Example Question:

  • If ECF K⁺ increases from 3.5 to 5 mM, adipose cell RMP becomes less negative (depolarizes) due to reduced K⁺ efflux, not K⁺ influx.

The document Cell Physiology and Membrane Potential Chapter Notes | Physiology - NEET PG is a part of the NEET PG Course Physiology.
All you need of NEET PG at this link: NEET PG
40 docs|9 tests

FAQs on Cell Physiology and Membrane Potential Chapter Notes - Physiology - NEET PG

1. What is the structure and function of the cell membrane?
Ans. The cell membrane, also known as the plasma membrane, consists of a phospholipid bilayer with embedded proteins, cholesterol, and carbohydrates. Its main functions are to protect the cell, provide structural support, and regulate the movement of substances in and out of the cell, maintaining homeostasis.
2. What is cytoplasm, and what role does it play in cellular function?
Ans. Cytoplasm is the gel-like substance that fills the interior of a cell, excluding the nucleus. It contains organelles, enzymes, and various molecules necessary for cellular processes. The cytoplasm plays a crucial role in cell metabolism, facilitating the movement of materials and providing a medium for biochemical reactions.
3. How do intercellular junctions contribute to tissue integrity?
Ans. Intercellular junctions are specialized connections between adjacent cells that help maintain tissue integrity. They include tight junctions, gap junctions, and desmosomes. These junctions enable communication, provide structural support, and prevent the leakage of substances between cells, ensuring cohesive functioning of tissues.
4. What mechanisms are involved in transport across the cell membrane?
Ans. Transport across the cell membrane can occur through passive and active mechanisms. Passive transport, such as diffusion and osmosis, does not require energy and moves substances along their concentration gradient. Active transport requires energy (ATP) to move substances against their gradient, often involving specific transport proteins.
5. What is resting membrane potential (RMP) and why is it important?
Ans. Resting membrane potential (RMP) is the electrical charge difference across the cell membrane when a cell is at rest, typically around -70 mV in neurons. It is crucial for maintaining cellular excitability, enabling the generation of action potentials, and facilitating communication between nerve and muscle cells.
Related Searches

Free

,

practice quizzes

,

shortcuts and tricks

,

Summary

,

Sample Paper

,

past year papers

,

Cell Physiology and Membrane Potential Chapter Notes | Physiology - NEET PG

,

pdf

,

study material

,

Previous Year Questions with Solutions

,

Cell Physiology and Membrane Potential Chapter Notes | Physiology - NEET PG

,

Objective type Questions

,

video lectures

,

Exam

,

Extra Questions

,

Semester Notes

,

Important questions

,

Cell Physiology and Membrane Potential Chapter Notes | Physiology - NEET PG

,

ppt

,

mock tests for examination

,

MCQs

,

Viva Questions

;