Class 10 Exam  >  Class 10 Notes  >  Mathematics (Maths) Class 10  >  Long Answer Questions: Statistics - 2

Class 10 Maths Chapter 13 Question Answers - Statistics

Q11. Find the mean, mode and median of the following data:

 

Class

Frequency

0-10

3

10-20

4

20-30

7

30-40

15

40-50

10

50-60

7

60-70

4

 

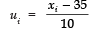
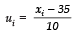
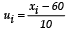
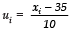
Sol. Let the assumed mean ‘a’ = 35

Here, h =10

Class 10 Maths Chapter 13 Question Answers - Statistics

ClassesxificfClass 10 Maths Chapter 13 Question Answers - Statisticsfiui

0-10

5

3

3 + 0 = 3

-3

(-3) x 3 = -9

10-20

15

4

4 + 3 = 7

-2

(-2) x 4 = -8

20-30

25

7

7 + 7 = 14

-1

(-1) x 7 = -7

30-40

35

15

15 + 14 = 29

0

0 x 15 = 0

40-50

45

10

10 + 29 = 39

1

1 x 10 = 10

50-60

55

7

7 + 39 = 46

2

2 x 7 = 14

60-70

65

4

4 + 46 = 50

3

3 x 4 = 12

Total

 

∑fi = 50

 

 

∑uifi = 12

 

(i) Class 10 Maths Chapter 13 Question Answers - Statistics

Class 10 Maths Chapter 13 Question Answers - Statistics

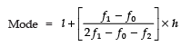
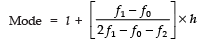
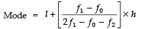
(ii) To find mode 
Here, greatest frequency = 15
∴ Modal class = 30 − 40
l = 30, f1 = 15, f0 = 7, f2 = 10 and h = 10

So, Class 10 Maths Chapter 13 Question Answers - Statistics
⇒  Class 10 Maths Chapter 13 Question Answers - Statistics
Class 10 Maths Chapter 13 Question Answers - Statistics

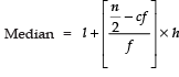
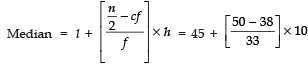
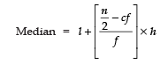
(iii) To find median

Here, Class 10 Maths Chapter 13 Question Answers - Statistics
∴ Median class is 30−40.
Such that l = 30, cf = 14, f = 15 and h = 10
Class 10 Maths Chapter 13 Question Answers - Statistics
Class 10 Maths Chapter 13 Question Answers - Statistics


Q12. The following table gives daily income of 50 workers of a factory:

Daily income (in Rs)

100-120

120-140

140-160

160-180

180-200

Number of workers

12

14

8

6

10

 

Find the mean, mode and median of the above data.

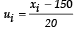
Sol. Let assumed mean a = 150. Here, h = 20

Daily income (in Rs)

No. of workers (fi)

xi

Class 10 Maths Chapter 13 Question Answers - Statistics

fi ui

cf

100-120

12

110

-2

-24

12 + 0 = 12

120-140

14

130

-1

-14

12 + 14 = 26

140-160

8

150

0

0

26 + 8 = 34

160-180

6

170

1

6

34 + 6 = 40

180-200

10

190

2

20

40 + 10 = 50

Total

∑ fi = 50

 

 

∑ fiui  =-12

 

 

(i) Mean  Class 10 Maths Chapter 13 Question Answers - Statistics

Class 10 Maths Chapter 13 Question Answers - Statistics

Thus, mean income is Rs 145.2

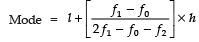
(ii) For finding the mode,
We have the greatest frequency = 14 which lies in the class 120−140
∴ Modal class = 120−140
Therefore, l = 120
f1 = 14
f0 = 12
f2 = 8
and h = 20

Class 10 Maths Chapter 13 Question Answers - Statistics
Class 10 Maths Chapter 13 Question Answers - Statistics
Class 10 Maths Chapter 13 Question Answers - Statistics

(iii) For finding median,

Class 10 Maths Chapter 13 Question Answers - Statistics

And 25 lies in the class 120−140

Median class is 120−140

Since n/2 = 25, cf = 12, f = 14 and h = 20

Class 10 Maths Chapter 13 Question Answers - Statistics

Class 10 Maths Chapter 13 Question Answers - Statistics

 Median income = Rs138.57

Q13. Find the mode, median and mean for the following data:

 

Marks obtained

25-35

35-45

45-55

55-65

65-75

75-85

Number of students

7

31

33

17

11

1


Sol. Let the assumed mean a = 60. Here h = 10, we have:

Marks

obtained

Class marks

xi

fi

cf

Class 10 Maths Chapter 13 Question Answers - Statistics

fi ui

25-35

30

7

7

-3

-21

35-45

40

31

38

-2

-62

45-55

50

33

71

-1

-33

55-65

60

17

88

0

0

65-75

70

11

99

1

11

75-85

80

1

100

2

2

Total

 

∑ f = 100 ⇒ n = 100

 

 

∑ fiui =-103


(i) Class 10 Maths Chapter 13 Question Answers - Statistics
⇒  Class 10 Maths Chapter 13 Question Answers - Statistics
(ii) Median 

Here,  Class 10 Maths Chapter 13 Question Answers - Statistics

∴ Median class is 45−55.

l = 45
cf = 38
f = 33 and h = 10

Class 10 Maths Chapter 13 Question Answers - Statistics

Class 10 Maths Chapter 13 Question Answers - Statistics

(iii) Mode: Greatest frequency is 33 which corresponds to the class 45−55.

l = 45,  h = 10
f1 = 33,  f2 = 17
f0 = 31

Class 10 Maths Chapter 13 Question Answers - Statistics

Q14. A survey regarding the heights (in cm) of 50 girls of Class X of a school was conducted and the following data was obtained:

Height (in cm)

120-130

130-140

140-150

150-160

160-170

Total

Number of girls

2

8

12

20

8

50


Find the mean, median and mode of the above data.

Sol. We have:

Height (in cm)

f

cf

xi

fixi

120-130

2

2 + 0 = 2

125

250

130-140

8

2 + 8 = 10

135

1080

140-150

12

10 + 12 = 22

145

1740

150-160

20

22 + 20 = 42

155

3100

160-170

8

42 + 8 = 50

165

1320

Total

50

 

 

7490

 

(i)  Class 10 Maths Chapter 13 Question Answers - Statistics

Class 10 Maths Chapter 13 Question Answers - Statistics

(ii) ∵  Class 10 Maths Chapter 13 Question Answers - Statistics  

∴ Median class is 150−160.
∴ We have,
l = 150
f = 20
cf = 2
2h = 10

∴  Class 10 Maths Chapter 13 Question Answers - Statistics
⇒  Class 10 Maths Chapter 13 Question Answers - Statistics
Class 10 Maths Chapter 13 Question Answers - Statistics

(iii) ∵ Greatest frequency = 20
∴ Modal class = 150−160

So, we have

l = 150, f0 = 12, f1 = 20
f2 = 8 and h = 10

Class 10 Maths Chapter 13 Question Answers - Statistics
Class 10 Maths Chapter 13 Question Answers - Statistics
Class 10 Maths Chapter 13 Question Answers - Statistics

Q15. Find the mean, mode and median of the following data:

 

Classes

Frequency

0-10

5

10-20

10

20-30

18

30-40

30

40-50

20

50-60

12

60-70

5

 
Sol. 

(i) Mean:

Let the assumed mean ‘a’ = 35

Class 10 Maths Chapter 13 Question Answers - Statistics

Now we have the following data:

ClassClass mark xifiCfClass 10 Maths Chapter 13 Question Answers - Statisticsfiui

0-10

5

5

5 + 0 = 5

-3

(-3) x 5 = -15

10-20

15

10

5 + 10 = 15

-2

(-2) x 10 = -20

20-30

25

18

15 + 18 = 33

-1

(-1) x 18 = -18

30-40

35

30

33 + 30 = 63

0

0 x 30 = 0

40-50

45

20

63 + 20 = 93

1

1 x 20 = 20

50-60

55

12

83 + 12 = 95

2

2 x 12 = 24

60-70

65

5

95 + 5 = 100

3

3 x 5 = 15

 
Here ∑fi = 100 and ∑fiui = 6

Class 10 Maths Chapter 13 Question Answers - Statistics

Class 10 Maths Chapter 13 Question Answers - Statistics

(ii) Mode:

Here, the maximum frequency is 30.
∴ Modal class is 30−40.
So, we have

l = 30, h = 10
f1 = 30,
f0 = 18
f2 = 20

Class 10 Maths Chapter 13 Question Answers - Statistics

(iii) Median: 

Class 10 Maths Chapter 13 Question Answers - Statistics

∴ Median class = 30−40
So, we have:

l = 30, h = 10, cf = 33, f = 30

Class 10 Maths Chapter 13 Question Answers - Statistics

Class 10 Maths Chapter 13 Question Answers - Statistics

Q16. Find the mean, mode and median for the following data:

Classes

Frequency

0-10

3

10-20

8

20-30

10

30-40

15

40-50

7

50-60

4

60-70

3

 

Sol. Let the assumed mean = 35;  h = 10

ClassesxificfClass 10 Maths Chapter 13 Question Answers - Statisticsfiui

0-10

5

3

3 + 0 = 3

-3

(-3) x 3 = -9

10-20

15

8

3 + 8 = 11

-2

(-2) x 8 = -16

20-30

25

10

11 + 10 = 21

-1

(-1) x 10 = -10

30-40

35

15

21 + 15 = 36

0

0 x 15 = 0

40-50

45

7

36 + 7 = 43

1

1 x 7= 7

50-60

55

4

43 + 4 = 47

2

2 x 4= 8

60-70

65

3

47 + 3 = 50

3

3 x 3= 9

Total

 

∑fi = 50

 

 

∑fiui= -11


Now,

(i)

Class 10 Maths Chapter 13 Question Answers - Statistics

(ii) To find mode 
Here, highest frequency is 15.
∴ Modal class is 30−40.

Here,

l = 30, f1 = 15, f0 = 10
f2 = 7 and h = 10

Class 10 Maths Chapter 13 Question Answers - Statistics
Class 10 Maths Chapter 13 Question Answers - Statistics
(iii) ∵  Class 10 Maths Chapter 13 Question Answers - Statistics

So, the median class is 30−40.

∴ We have l = 30, cf = 21, f = 15 and h = 10

We have

Class 10 Maths Chapter 13 Question Answers - Statistics
Class 10 Maths Chapter 13 Question Answers - Statistics

The document Class 10 Maths Chapter 13 Question Answers - Statistics is a part of the Class 10 Course Mathematics (Maths) Class 10.
All you need of Class 10 at this link: Class 10
127 videos|584 docs|79 tests

FAQs on Class 10 Maths Chapter 13 Question Answers - Statistics

1. What is statistics and why is it important in the field of data analysis?
Ans. Statistics is a branch of mathematics that deals with the collection, analysis, interpretation, presentation, and organization of data. It provides a framework for making informed decisions and drawing conclusions from data. In the field of data analysis, statistics helps in summarizing and describing data, identifying patterns and relationships, making predictions, and testing hypotheses. It plays a crucial role in various disciplines such as economics, business, medicine, social sciences, and many others.
2. What are the different types of data in statistics?
Ans. In statistics, data can be classified into four main types: categorical, ordinal, interval, and ratio. Categorical data represents different categories or groups and cannot be ordered or measured numerically. Ordinal data has a natural order but the differences between the values are not meaningful. Interval data represents values with meaningful differences but does not have a true zero point. Ratio data has a true zero point and meaningful differences between values. Understanding the type of data is important as it determines the appropriate statistical techniques and methods to be used for analysis.
3. How is the mean calculated in statistics?
Ans. The mean is a measure of central tendency that represents the average value of a dataset. To calculate the mean, the sum of all the values in the dataset is divided by the total number of values. Mathematically, it can be represented as: Mean = (Sum of all values) / (Total number of values) For example, to find the mean of the dataset {5, 8, 10, 12, 15}, we add all the values (5 + 8 + 10 + 12 + 15 = 50) and divide it by the total number of values (5). Therefore, the mean is 50/5 = 10.
4. What is the difference between correlation and regression in statistics?
Ans. Correlation and regression are both statistical techniques used to analyze the relationship between variables. However, they differ in their purpose and approach. Correlation measures the strength and direction of a linear relationship between two variables. It quantifies how closely the variables are related, ranging from -1 (perfect negative correlation) to +1 (perfect positive correlation). Regression, on the other hand, is used to model and predict the relationship between variables. It aims to find the best-fitting line (regression line) that minimizes the difference between the observed and predicted values. Regression also allows us to estimate the effect of one variable on another and make predictions based on the relationship.
5. What is the significance of hypothesis testing in statistics?
Ans. Hypothesis testing is a statistical method used to make inferences about a population based on a sample. It involves formulating a hypothesis, collecting data, and analyzing it to determine if the evidence supports or contradicts the hypothesis. The significance of hypothesis testing lies in its ability to provide statistical evidence for or against a claim or theory. It helps researchers and analysts make objective decisions, identify patterns or relationships in the data, and draw conclusions about the population. Hypothesis testing also allows for the evaluation of the effectiveness of interventions or treatments and is widely used in scientific research and decision-making processes.
Related Searches

Exam

,

mock tests for examination

,

ppt

,

Sample Paper

,

shortcuts and tricks

,

pdf

,

Previous Year Questions with Solutions

,

past year papers

,

Viva Questions

,

Summary

,

Class 10 Maths Chapter 13 Question Answers - Statistics

,

MCQs

,

Free

,

Class 10 Maths Chapter 13 Question Answers - Statistics

,

video lectures

,

study material

,

Objective type Questions

,

Class 10 Maths Chapter 13 Question Answers - Statistics

,

practice quizzes

,

Important questions

,

Extra Questions

,

Semester Notes

;