Class 10 Exam  >  Class 10 Notes  >  Mathematics (Maths) Class 10  >  Previous Year Questions: Coordinate Geometry

Class 10 Maths Previous Year Questions - Coordinate Geometry

Previous Year Questions 2025

Q1: The distance of the point (4, 0) from x-axis is:
(a) 4 units
(b) 16 units
(c) 0 units
(d) 4√2 units 

Class 10 Maths Previous Year Questions - Coordinate GeometryView Answer  Class 10 Maths Previous Year Questions - Coordinate Geometry

Ans: (c)
Distance of point (4, 0) from x-axis is 0 units.
Class 10 Maths Previous Year Questions - Coordinate Geometry

Q2: The distance of the point A(-3, -4) from x-axis is 
(a) 3 
(b) 4 
(c) 5 
(d) 7

Class 10 Maths Previous Year Questions - Coordinate GeometryView Answer  Class 10 Maths Previous Year Questions - Coordinate Geometry

Ans: (b)
Distance of the point A(-3, -4) from x-axis = absolute value of the ordinate = 4 units.

Q3: AOBC is a rectangle whose three vertices are A(0, 2), B(0, 0) and 8(4, 0). The square of the length of its diagonal is equal to:
(a) 36
(b) 20
(c) 16
(d) 4

Class 10 Maths Previous Year Questions - Coordinate GeometryView Answer  Class 10 Maths Previous Year Questions - Coordinate Geometry

Ans: (b)
In rectangle AOBC, AB is the diagonal, where A(0, 2) and B(4, 0).
Class 10 Maths Previous Year Questions - Coordinate Geometry∴ By distance formula,
Class 10 Maths Previous Year Questions - Coordinate Geometry

Q4: The coordinates of the centre of a circle are (2a, a - 7). Find the value(s) of 'a' if the circle passes through the point (11, -9) and has diameter 10√2 units.

Class 10 Maths Previous Year Questions - Coordinate GeometryView Answer  Class 10 Maths Previous Year Questions - Coordinate Geometry

Ans: 
Class 10 Maths Previous Year Questions - Coordinate GeometryGiven, diameter Class 10 Maths Previous Year Questions - Coordinate Geometry
Since, circle passes through (11, -9)
∴ Using distance formula, we have
(11 - 2a)2 + (-9 - a + 7)= (5√2)2
⇒ 121 + 4a2 - 44a + a2 + 4 + 4a = 50
⇒ 5a² - 40a + 125 - 50 = 0
⇒ 5a² - 40a + 75 = 0
⇒ a² - 8a + 15 = 0
⇒ a² - 3a - 5a + 15 = 0
a(a - 3) - 5(a - 3) = 0
⇒ (a - 3)(a - 5) = 0 ⇒ a = 3 or 5

Q5: Prove that abscissa of a point P which is equidistant from points with coordinates A(7, 1) and 8(3, 5) is 2 more than its ordinate. 

Class 10 Maths Previous Year Questions - Coordinate GeometryView Answer  Class 10 Maths Previous Year Questions - Coordinate Geometry

Ans: Let the point P be (x, y). 
Since, P is equidistant from A(7, 1) and 8(3, 5), we get PA = PB 

Class 10 Maths Previous Year Questions - Coordinate Geometry
Hence, abscissa of point P is 2 more than its ordinate. 

Q6: If the mid-point of the line segment joining the points (a, 4) and (2, 2b) is (2, 6), then the value of (a+ b) is given by: 
(a) 6 
(b) 7
(c) 8 
(d) 16

Class 10 Maths Previous Year Questions - Coordinate GeometryView Answer  Class 10 Maths Previous Year Questions - Coordinate Geometry

Ans: (a)
Let the coordinates be A(a, 4), B(2, 2b) and C(2, 6) respectively.  
Class 10 Maths Previous Year Questions - Coordinate Geometry
On comparing the coordinates, we get 
Class 10 Maths Previous Year Questions - Coordinate Geometry
∴ a + b = 2 + 4 = 6

Q7: Two of the vertices of ΔPQR are P(-1, 5) and Q(5, 2). The coordinates of a point which divides PQ in the ratio 2 : 1 are: 
(a) (3, -3)
(b) (5, 5)
(c) (3,3) 
(d) (5, 1)

Class 10 Maths Previous Year Questions - Coordinate GeometryView Answer  Class 10 Maths Previous Year Questions - Coordinate Geometry

Ans: (c) 
Let (x, y) be the coordinates of a point that divides P(-1, 5) and Q(5, 2) in the ratio 2:1. 
By section formula,  
Class 10 Maths Previous Year Questions - Coordinate Geometry
∴ Required coordinates are (3, 3).

Q8: The line represented by Class 10 Maths Previous Year Questions - Coordinate Geometry intersects x-axis and y-axis respectively at P and Q. The coordinates of the mid-point of line segment PQ are: 
(a) (2, 3) 
(b) (3, 2) 
(c) (2, 0) 
(d) (0, 3) 

Class 10 Maths Previous Year Questions - Coordinate GeometryView Answer  Class 10 Maths Previous Year Questions - Coordinate Geometry

Ans: (a) 
Class 10 Maths Previous Year Questions - Coordinate Geometry
⇒ 3x + 2y = 12 ... (i) 
Put x = 0 in (i), we have 3(0) + 2y = 12 ⇒ y = 12/2 = 6 
Coordinates of Q are (0, 6). 
Put y = 0 in (i), we have 3x + 2(0) = 12 
Class 10 Maths Previous Year Questions - Coordinate Geometry
∴ Coordinates of P are (4, 0) 
∴ Coordinates of mid point of PQ
Class 10 Maths Previous Year Questions - Coordinate Geometry

Q9: The mid-point of the line segment joining the points P(-4, 5) and Q(4, 6) lies on: 
(a) x-axis 
(b) y-axis 
(c) origin 
(d) neither x-axis nor y-axis

Class 10 Maths Previous Year Questions - Coordinate GeometryView Answer  Class 10 Maths Previous Year Questions - Coordinate Geometry

Ans: (b)
Mid-point of PQ Class 10 Maths Previous Year Questions - Coordinate Geometry
Here, x-coordinate is zero. 
So, mid-point lies on y-axis.

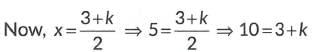
Q10: If the mid-point of the line segment joining the points A(3, 4) and B(k, 6) is P(x, y) and x + y - 10 = 0, find the value of k.

Class 10 Maths Previous Year Questions - Coordinate GeometryView Answer  Class 10 Maths Previous Year Questions - Coordinate Geometry

Ans: By mid point formula Class 10 Maths Previous Year Questions - Coordinate Geometry
Class 10 Maths Previous Year Questions - Coordinate Geometry
Class 10 Maths Previous Year Questions - Coordinate Geometry
Now, put y = 5, in x + y - 10 = 0, we have 
⇒ x + 5 - 10 = 0⇒ x=5 
Class 10 Maths Previous Year Questions - Coordinate Geometry
⇒ k = 10 - 3 = 7

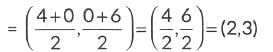
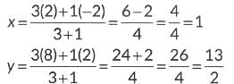
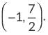
Q11: Find the coordinates of the points which divide the line segment joining A(-2, 2) and B(2, 8) into four equal parts.

Class 10 Maths Previous Year Questions - Coordinate GeometryView Answer  Class 10 Maths Previous Year Questions - Coordinate Geometry

Ans: Let P, Q and R divides the line joining AB into four equal parts. 
Now, point P divides the line segment AB in 1 : 3. 
Class 10 Maths Previous Year Questions - Coordinate Geometry
∴ The coordinates of P are given by
Class 10 Maths Previous Year Questions - Coordinate Geometry

∴ The coordinates of P are Class 10 Maths Previous Year Questions - Coordinate Geometry
Point Q divides the line segment in 1:1 i.e., Q is mid point of AB. 
Class 10 Maths Previous Year Questions - Coordinate Geometry
∴ The coordinates of Q are (0, 5). 
Point R divides AB in 3 : 1 
The coordinates of R are given by
Class 10 Maths Previous Year Questions - Coordinate Geometry
∴ The coordinates of R are Class 10 Maths Previous Year Questions - Coordinate Geometry

Q12: Find the ratio in which the y-axis divides the line segment joining the points (5, -6) and (-1, -4). Also find the point of intersection.

Class 10 Maths Previous Year Questions - Coordinate GeometryView Answer  Class 10 Maths Previous Year Questions - Coordinate Geometry

Ans: Let the point P(0, y) on y-axis divides the line segment joining the points A(5, -6) and B(-1, -4) in the ratio k : 1.
Class 10 Maths Previous Year Questions - Coordinate Geometry
∴ By section formula, we have, Class 10 Maths Previous Year Questions - Coordinate Geometry
⇒ -k + 5 = 0 ⇒ k = 5 ... (i)
Class 10 Maths Previous Year Questions - Coordinate Geometry
Class 10 Maths Previous Year Questions - Coordinate Geometry
Hence, the required point is Class 10 Maths Previous Year Questions - Coordinate Geometry and the required ratio is 5 : 1.

Q13: If the points A(6, 1), B(p, 2), C(9, 4) and 0(7, q) are the vertices of a parallelogram ABCD, then find the values of p and q. Hence, check whether ABCD is a rectangle or not.

Class 10 Maths Previous Year Questions - Coordinate GeometryView Answer  Class 10 Maths Previous Year Questions - Coordinate Geometry

Ans: Since, ABCD be a parallelogram. 
∴ Mid-point of AC = Mid-point of BO  
Class 10 Maths Previous Year Questions - Coordinate Geometry
Class 10 Maths Previous Year Questions - Coordinate Geometry
Thus, it is not a rectangle. 

Previous Year Questions 2024

Q1: Assertion (A): The point which divides the line segment joining the points A (1, 2) and B (–1, 1) internally in the ratio 1 : 2 is Class 10 Maths Previous Year Questions - Coordinate Geometry
Reason (R): The coordinates of the point which divides the line segment joining the points A(x1, y1) and B(x2, y2) in the ratio m1 : m2 are Class 10 Maths Previous Year Questions - Coordinate Geometry  (1 Mark) (CBSE 2024)

(a) Both assertion (A) and reason (R) are true and reason (R) is the correct explanation of assertion (A). 

(b) Both assertion (A) and reason (R) are true but reason (R) is not the correct explanation of assertion (A). 

(c) Assertion (A) is true but reason (R) is false. 

(d) Assertion (A) is false but reason (R) is true.

Class 10 Maths Previous Year Questions - Coordinate GeometryView Answer  Class 10 Maths Previous Year Questions - Coordinate Geometry

Ans: (d)

Assertion says that point ( -13 , 53 ) divides the line joining the points A(1,2) and B(-1,1) in 1:2.

∴ By section formula,

x = m1x2 + m2x1m1 + m2

= 1×(-1) + 2×13 = 13

y = m1y2 + m2y1m1 + m2

= 1×1 + 2×21+2

= 1 + 43

= 53

which is not equal to RHS i.e. 1/3

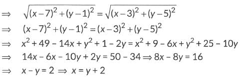
Q2: Find a relation between x and y such that the point P(x, y) is equidistant from the points A(7, 1) and B(3, 5).    (3 Marks) (CBSE 2024)

Class 10 Maths Previous Year Questions - Coordinate GeometryView Answer  Class 10 Maths Previous Year Questions - Coordinate Geometry

Ans:
Since, P(x, y) is equidistant from A(7, 1) and B(3, 5)
So, PA = PB
⇒ PA2 = PB2
⇒ (x – 7)2 + (y – 1)2 = (x – 3)2 + (y – 5)2
⇒ x2 + 49 – 14x + y2 + 1 – 2y = x2 + 9 – 6x + y2 + 25 – 10y
⇒ 6x – 14x + 50 – 34 + 10y – 2y = 0
⇒ – 8x + 8y + 16 = 0
⇒ 8x – 8y – 16 = 0
⇒ 8(x – y – 2) = 0
⇒ x – y – 2 = 0
⇒ x – y = 2

Q3: Points A(–1, y) and B(5, 7) lie on a circle with centre O(2, –3y) such that AB is a diameter of the circle. Find the value of y. Also, find the radius of the circle.       (3 Marks) (CBSE 2024)

Class 10 Maths Previous Year Questions - Coordinate GeometryView Answer  Class 10 Maths Previous Year Questions - Coordinate Geometry

Ans: A (– 1, y); B(5, 7)
Since, AB is a diameter of circle and O is the centre of the circle.
OA = OB i.e., O divides AB in 1 : 1
So m1 : m2 = 1 : 1
So Class 10 Maths Previous Year Questions - Coordinate Geometry
Class 10 Maths Previous Year Questions - Coordinate GeometryClass 10 Maths Previous Year Questions - Coordinate Geometry
⇒ – 6y = y + 7
⇒ – 7y = 7
⇒ y = – 1
Point O = (2, 3), A = (–1, – 1)
Now,
Class 10 Maths Previous Year Questions - Coordinate Geometry
Class 10 Maths Previous Year Questions - Coordinate Geometry
So, radius of circles = 5 units

Q4: Find the ratio in which the line segment joining the points (5, 3) and (–1, 6) is divided by Y-axis.    (3 Marks) (CBSE 2024)

Class 10 Maths Previous Year Questions - Coordinate GeometryView Answer  Class 10 Maths Previous Year Questions - Coordinate Geometry

Ans:
If y-axis divides points (5, 3) and (–1, 6) then coordinate of that point will be (0, y). Let P(0, y) divides A(5, 3) and B(–1, 6) in k : 1.
m1 : m2 = k : 1
Class 10 Maths Previous Year Questions - Coordinate Geometry
⇒ 0 × (k + 1) = – k + 5
⇒ 0 = – k + 5
⇒ k = 5
So, m1 : m2 = 5 : 1

Previous Year Questions 2023

Q1: The distance of the point (-1, 7) from the x-axis is  (1 Mark) (2023)
(a) -1
(b) 7
(c) 6
(d) √50    [2023, 1 Mark]

Class 10 Maths Previous Year Questions - Coordinate GeometryView Answer  Class 10 Maths Previous Year Questions - Coordinate Geometry

Ans: (b)
Distance from x-axis = y-coordinate of point = 7 units

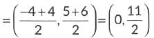
Q2: Assertion (A): Point P(0, 2) is  the point of intersection of the y-axis with the line 3x + 2y = 4.   (1 Mark) (2023)
Reason (R): The distance of point P(0, 2) from the x-axis is 2 units.
(a) Both Assertion (A) and Reason (R) are true and Reason (R) is the correct explanation of Assertion (A).
(b) Both Assertion (A) and Reason (R) are true, but Reason (R) is not the correct explanation of the Assertion (A).
(c) Assertion (A) is true, but Reason (R) is false.
(d) Assertion (A) is false but Reason (R) is true. 

Class 10 Maths Previous Year Questions - Coordinate GeometryView Answer  Class 10 Maths Previous Year Questions - Coordinate Geometry

Ans: (b)

  • Assertion (A):To find the intersection of the y-axis with the line 3x + 2y = 4, set x = 0:

    3(0) + 2y = 4 ⇒ y = 2. So, the point of intersection is P(0,2).

    Assertion (A) is true.

  • Reason (R):The distance of point P(0,2) from the x-axis is indeed 2 units.

    Reason (R) is true.

Class 10 Maths Previous Year Questions - Coordinate Geometry

However, Reason (R) does not explain Assertion (A); it is just a separate true statement.
(b) Both Assertion (A) and Reason (R) are true, but Reason (R) is not the correct explanation of the Assertion (A).

Q3: The distance of the point (-6, 8) from origin is   (1 Mark) (2023)
(a) 6
(b) -6
(c) 8
(d) 10

Class 10 Maths Previous Year Questions - Coordinate GeometryView Answer  Class 10 Maths Previous Year Questions - Coordinate Geometry

Ans: (d)
Distance of the point (-6, 8) from origin (0, 0)

Class 10 Maths Previous Year Questions - Coordinate Geometry

= 10 Units

Q4: The points (-4, 0), (4, 0) and (0, 3) are the vertices of a   (1 Mark) (CBSE 2023)
(a) right triangle
(b) isosceles triangle
(c) equilateral triangle
(d) scalene triangle 

Class 10 Maths Previous Year Questions - Coordinate GeometryView Answer  Class 10 Maths Previous Year Questions - Coordinate Geometry

Ans: (b)
The points be A(-4, 0), B(4, 0) and C(0, 3).
Using distance formula

Class 10 Maths Previous Year Questions - Coordinate Geometry

Class 10 Maths Previous Year Questions - Coordinate Geometry
= 8 units

Class 10 Maths Previous Year Questions - Coordinate Geometry
 = 5 units

Class 10 Maths Previous Year Questions - Coordinate Geometry
 = 5 units
And, AB2 ≠  BC2 + CA [∵ BC = CA]
∴ ΔABC is an isosceles triangle.

Q5: The centre of a circle is (2a, a - 7). Find the values of 'a' if the circle passes through the point (11, -9). Radius of the circle is 5√2 cm.     (3 Marks) (2023)

Class 10 Maths Previous Year Questions - Coordinate GeometryView Answer  Class 10 Maths Previous Year Questions - Coordinate Geometry

Ans: Given centre of a circle is(2a, a - 7 )

Class 10 Maths Previous Year Questions - Coordinate Geometry

Radius of the circle is 5√2 cm.
∴ Distance between centre (2a, a - 7) and (11, - 9 ) = radius of circle.
Class 10 Maths Previous Year Questions - Coordinate Geometry

Q6: In what ratio, does the x-axis divide the line segment joining the points A(3, 6) and B(-12, -3) ?   (1 Mark) (2023)
(a) 1 : 2 
(b) 1 : 4
(c) 4 : 1
(d) 2 : 1

Class 10 Maths Previous Year Questions - Coordinate GeometryView Answer  Class 10 Maths Previous Year Questions - Coordinate Geometry

Ans: (d)
Let the point on the x-axis be (x, 0) which divides the line segment joining the points A(3, 6) and B(-12, -3) in the ratio k : 1
Class 10 Maths Previous Year Questions - Coordinate Geometry

Using section formula, we have

(x, 0) = (-12)k + 3(1)k + 1 , (-3)k + 6(1)k + 1

-3k + 6k + 1 = 0

⇒ -3k + 6 = 0

⇒ k = 2

Hence, the required ratio is 2 : 1.

Q7: Case Study: Jagdish has a Field which is in the shape of a right angled triangle AQC. He wants to leave a space in the form of a square PQRS inside the field for growing wheat and the remaining for growing vegetables (as shown in the figure). In the field, there is a pole marked as O.   (4/5/6 Marks) (CBSE 2023)

Class 10 Maths Previous Year Questions - Coordinate Geometry

Based on the above information, answer the following questions:
(i) Taking O as origin, coordinates of P are (-200, 0) and of Q are (200, 0). PQRS being a square, what are the coordinates of R and S?
(ii) (a) What is the area of square PQRS?

OR
(b) What is the length of diagonal PR in square PQRS?
(iii) If S divides CA in the ratio K: 1, what is the value of K, where point A is (200, 800)?

Class 10 Maths Previous Year Questions - Coordinate GeometryView Answer  Class 10 Maths Previous Year Questions - Coordinate Geometry

Ans: (i) We have. P = (-200, 0) and Q = (200, 0)

The coordinates of R and S are (200, 400) and (-200, 400).
(ii) (a) The length PQ = 200 + 200 = 400 units.
Area of square PQRS = 400  x 400 = 160000 sq. units.

OR

(b) Length of diagonal PR = √2  x length of side = 400√2 units.
(iii) Here,
Class 10 Maths Previous Year Questions - Coordinate Geometry
Using section formula, we have
Kx2 + x1K + 1 , Ky2 + y1K + 1 = (-200, 400)

K(200) + (-600)K + 1 , K(800) + 0K + 1 = (-200, 400)

200K - 600K + 1 , 800KK + 1 = (-200, 400)

800KK + 1 = 400

⇒ 800K = 400K + 400

⇒ 400K = 400

⇒ K = 1

Previous Year Questions 2022


Q1: The line represented by 4x - 3y = 9 intersects the y-axis at   (2022)
(a) (0, -3)
(b) (9/4, 0)
(c) (-3, 0)
(d) (0, 9/4)

Class 10 Maths Previous Year Questions - Coordinate GeometryView Answer  Class 10 Maths Previous Year Questions - Coordinate Geometry

Ans: (a)
Given, the equation of line is 4x- 3y = 9.
Putting x = 0, we get 4x(0) - 3y = 9 ⇒ y =  -3
So, the line 4x - 3y = 9 intersects the y-axis at (0, -3).

Q2: The point on x-axis equidistant from the points P(5, 0) and Q(-1, 0) is   (2022)
(a) (2, 0)
(b) (-2, 0)
(c) (3, 0)
(d) (2, 2)

Class 10 Maths Previous Year Questions - Coordinate GeometryView Answer  Class 10 Maths Previous Year Questions - Coordinate Geometry

Ans: (a)
Let coordinates of the point on the x-axis be R (x, 0).

√((x - 5)² + (0 - 0)²) = √((x + 1)² + (0 - 0)²)

Simplify:

(x - 5)² = (x + 1)²

Expand:

x² - 10x + 25 = x² + 2x + 1

Solve for x:

-10x + 25 = 2x + 1

⇒ -12x = -24

⇒ x = 2

So, the point is (2, 0).

Q3: The x-coordinate of a point P is twice its y-coordinate. If P is equidistant front Q(2, -5) and R(-3, 6), then the coordinates of P are   (2022)
(a) (8, 16)
(b) (10, 20)
(c) (20, 10)
(d) (16, 8)

Class 10 Maths Previous Year Questions - Coordinate GeometryView Answer  Class 10 Maths Previous Year Questions - Coordinate Geometry

Ans: (d)
Let coordinate of point P= t
So, .(x-coordinate of point P = 2t  ∴ Point is P (2t, t).
Given, PQ = RP ⇒ PQ2 = RP2
⇒ (2t - 2)2 + (t + 5)2 = (2t + 3)2 + (t - 6)2  [By distance formula]
⇒ 4t- 8t + 4 + t2 + 10t + 25 = 4t2+ 12t + 9  +  t2- 12t + 36
⇒ 2t = 16
t = 8
P = 2t = 2 x 8 = 16
Coordinates of P are (16,  8).

Q4: The ratio in which the point (-4, 6) divides the line segment joining the points A(-6, 10) and B(3, -8) is   (2022)
(a) 2 : 5
(b) 7 : 2
(c) 2 : 7
(d) 5 : 2

Class 10 Maths Previous Year Questions - Coordinate GeometryView Answer  Class 10 Maths Previous Year Questions - Coordinate Geometry

Ans: (c)
Let point P(-4, 6) divides the line segment AB in the ratio m1: m2.
Class 10 Maths Previous Year Questions - Coordinate Geometry

By section formula, we have

(-4,6) = 3m1 - 6m2m1 + m2 , -8m1 + 10m2m1 + m2

Now, -4 = 3m1 - 6m2m1 + m2

⇒ 3m1 - 6m2 = -4m1 - 4m2

⇒ 7m1 = 2m2 ∴ m1 : m2 = 2:7

Putting the value of m1 : m2 in the y-coordinate, we get

-8m1 +10m1 + m2 = -8 × 27 + 10

-167 + 10 = 6

Hence, the required ratio is 2:7.

Q5: Case Study: Shivani is an interior decorator. To design her own living room, she designed wail shelves. The graph of intersecting wail shelves is given below:   (2022)Class 10 Maths Previous Year Questions - Coordinate Geometry

Based on the above information, answer the following questions:
(i) If O is the origin, then what are the coordinates of S?
(a) (-6, -4)
(b) (6, 4)
(c) (-6, 4)
(d) (6, -4)

Class 10 Maths Previous Year Questions - Coordinate GeometryView Answer  Class 10 Maths Previous Year Questions - Coordinate Geometry

Ans: (c)
Coordinates of S are (-6, 4).

(ii) The coordinates of the mid-point of the line segment joining D and H is
(a) Class 10 Maths Previous Year Questions - Coordinate Geometry

(b) (3, -1)
(c) (3, 1)
(d) Class 10 Maths Previous Year Questions - Coordinate Geometry

Class 10 Maths Previous Year Questions - Coordinate GeometryView Answer  Class 10 Maths Previous Year Questions - Coordinate Geometry

Ans: (b)
Coordinates of D are (-2, -4) and coordinates of H are (8, 2).
∴ Midpoint of DH = Class 10 Maths Previous Year Questions - Coordinate Geometry

(iii) The ratio in which the x-axis divides the line-segment joining the points A and C is
(a) 2 : 3 
(b) 2 : 1
(c) 1 : 2
(d) 1 : 1 

Class 10 Maths Previous Year Questions - Coordinate GeometryView Answer  Class 10 Maths Previous Year Questions - Coordinate Geometry

Ans: (d)
Coordinates of A are (-2, 4) and coordinates of C are (4, -4).
Let (x, 0) divides the line segment joining the points A and C in the ratio m1 : m2
By section formula, we have

(x, 0) = 4m1 - 2m2m1 + m2 , -4m1 + 4m2m1 + m2

Now, 0 = -4m1 + 4m2m1 + m2

⇒ -4m1 + 4m2 = 0

⇒ m1 : m2 = 1:1

(iv) The distance between the points P and G is
(a) 16 units
(b) 3√74 units
(c) 2√74 units
(d) √74 units

Class 10 Maths Previous Year Questions - Coordinate GeometryView Answer  Class 10 Maths Previous Year Questions - Coordinate Geometry

Ans: (c)
Coordinates of P are (-6, -4) and coordinates of G are (8, 6).
Class 10 Maths Previous Year Questions - Coordinate Geometry

(v) The coordinates of the vertices of rectangle IJKL are
(a) I(2, 0), J(2, 6), K(8,6), L(8, 2)
(b) I(2, -2), J(2, -6), K(8, - 6), L(8, -2)
(c) I(-2, 0), J(-2, 6), K(-8, 6), L(-8, 2)
(d) I(-2, 0), J(-2, -6), K(-8, -6), L(-8, -2)

Class 10 Maths Previous Year Questions - Coordinate GeometryView Answer  Class 10 Maths Previous Year Questions - Coordinate Geometry

Ans: (b)
Coordinates of vertices of rectangle IJKL are respectively I(2, -2), J(2, -6), K(8, -6),L(8, -2).

Previous Year Questions 2021

Q1: Case Study : Students of a school are standing in rows and columns in their school playground to celebrate their annual sports day. A, B, C and D are the positions of four students as shown in the figure.    (2021)

Class 10 Maths Previous Year Questions - Coordinate Geometry

Based on the above, answer the following questions:
(i) The figure formed by the four points A, B, C and D is a
(a) square
(b) parallelogram 
(c) rhombus
(d) quadrilateral

Class 10 Maths Previous Year Questions - Coordinate GeometryView Answer  Class 10 Maths Previous Year Questions - Coordinate Geometry

Ans: (d)
From figure coordinates are A(2, 5), B(5, 7), C(8, 6) and D(6, 3)
Now, Class 10 Maths Previous Year Questions - Coordinate Geometry

Class 10 Maths Previous Year Questions - Coordinate Geometry
Clearly, ABCD is a quadrilateral

(ii) If the sports teacher is sitting at the origin, then which of the four students is closest to him?
(a) A
(b) B
(c) C
(d) D

Class 10 Maths Previous Year Questions - Coordinate GeometryView Answer  Class 10 Maths Previous Year Questions - Coordinate Geometry

Ans: (a)
Here, sports teacher is at O(0,0).
Now, Class 10 Maths Previous Year Questions - Coordinate Geometry

Class 10 Maths Previous Year Questions - Coordinate Geometry

∴ OA is the minimum distance
∴ A is closest to sports teacher.

(iii) The distance between A and C is
(a) √37 units
(b) √35 units
(c) 6 units
(d) 5 units

Class 10 Maths Previous Year Questions - Coordinate GeometryView Answer  Class 10 Maths Previous Year Questions - Coordinate Geometry

Ans: (a)
Required distance = Class 10 Maths Previous Year Questions - Coordinate Geometry
= Class 10 Maths Previous Year Questions - Coordinate Geometry

(iv) The coordinates of the mid point of line segment AC are
(a) Class 10 Maths Previous Year Questions - Coordinate Geometry
(b) Class 10 Maths Previous Year Questions - Coordinate Geometry
(c) Class 10 Maths Previous Year Questions - Coordinate Geometry
(d) (5, 11)

Class 10 Maths Previous Year Questions - Coordinate GeometryView Answer  Class 10 Maths Previous Year Questions - Coordinate Geometry

Ans: (c)
 Coordinates of mid-point of AC are
Class 10 Maths Previous Year Questions - Coordinate Geometry

(v) If a point P divides the line segment AD in the ratio 1: 2, then coordinates of P are
(a) Class 10 Maths Previous Year Questions - Coordinate Geometry
(b) Class 10 Maths Previous Year Questions - Coordinate Geometry
(c) Class 10 Maths Previous Year Questions - Coordinate Geometry
(d) Class 10 Maths Previous Year Questions - Coordinate Geometry

Class 10 Maths Previous Year Questions - Coordinate GeometryView Answer  Class 10 Maths Previous Year Questions - Coordinate Geometry

Ans: (b)
 Let point P(x, y) divides the line segment AD in the ration 1: 2.
Class 10 Maths Previous Year Questions - Coordinate Geometry

1(6) + 2(2)1 + 2 , 1(3) + 2(5)1 + 2

⇒ x = 6 + 43 , y = 3 + 103

⇒ x = 103 , y = 133

∴ Coordinates of P are ( 103 , 133 )

Previous Year Questions 2020

Q1: The distance between the points (m, -n) and (-m, n) is    (2020)
(a) Class 10 Maths Previous Year Questions - Coordinate Geometry

(b) m + n
(c) Class 10 Maths Previous Year Questions - Coordinate Geometry
(d) Class 10 Maths Previous Year Questions - Coordinate Geometry

Class 10 Maths Previous Year Questions - Coordinate GeometryView Answer  Class 10 Maths Previous Year Questions - Coordinate Geometry

Ans: (c)
Required distance

Class 10 Maths Previous Year Questions - Coordinate Geometry

Q2: The distance between t he points (0, 0) and (a - b,  a + b) is    (2020)
(a) Class 10 Maths Previous Year Questions - Coordinate Geometry

(b) Class 10 Maths Previous Year Questions - Coordinate Geometry
(c) Class 10 Maths Previous Year Questions - Coordinate Geometry
(d) Class 10 Maths Previous Year Questions - Coordinate Geometry

Class 10 Maths Previous Year Questions - Coordinate GeometryView Answer  Class 10 Maths Previous Year Questions - Coordinate Geometry

Ans: (d)
Required distance = Class 10 Maths Previous Year Questions - Coordinate Geometry
Class 10 Maths Previous Year Questions - Coordinate Geometry

Q3: AOBC is a rectangle whose three vertices are A(0, -3), O(0, 0) and B(4, 0). The length of its diagonal is ______.    (2020)

Class 10 Maths Previous Year Questions - Coordinate GeometryView Answer  Class 10 Maths Previous Year Questions - Coordinate Geometry

Ans: In rectangle AOBC. AB is a diagonal.
Class 10 Maths Previous Year Questions - Coordinate Geometry

So,
Class 10 Maths Previous Year Questions - Coordinate GeometryClass 10 Maths Previous Year Questions - Coordinate Geometry
= 5 Units

Q4: Show that the points (7, 10), (-2, 5) and (3, -4) are vertices of an isosceles right triangle.     (2020)

Class 10 Maths Previous Year Questions - Coordinate GeometryView Answer  Class 10 Maths Previous Year Questions - Coordinate Geometry

Ans: Let the given points be A(7, 10), B(-2, 5) and C(3, - 4].
Using distance Formula, we have 
Class 10 Maths Previous Year Questions - Coordinate Geometry
Also, AB2 + BC2 = 106 + 106 = 212 = AC2
So. ABC is an isosceles right angled triangle with ∠B = 90°.

Q5: The point on the x-axis which is equidistant from (-4, 0) and (10, 0) is    (2020)
(a) (7, 0)
(b) (5, 0)
(c) (0, 0)
(d) (3, 0)

Class 10 Maths Previous Year Questions - Coordinate GeometryView Answer  Class 10 Maths Previous Year Questions - Coordinate Geometry

Ans: (d)

To find the point on the x-axis equidistant from (-4, 0) and (10, 0), let the point be (x, 0).

Using the distance formula:

√( (x + 4)² ) = √( (x - 10)² )

Square both sides:

(x + 4)² = (x - 10)²

Expand:

x² + 8x + 16 = x² - 20x + 100

Cancel x² and simplify:

8x + 16 = -20x + 100

28x = 84

x = 3

Final Answer:

The point is (3,0).

Q6: If the point P(k, 0) divides the line segment joining the points A(2, -2) and B(-7, 4) in the ratio 1:2 then the value of k is    (2020)
(a) 1
(b) 2
(c) -2
(d) -1 

Class 10 Maths Previous Year Questions - Coordinate GeometryView Answer  Class 10 Maths Previous Year Questions - Coordinate Geometry

Ans: (d)
Since, the point P(k 0) divides the line segment joining A(2, -2) and B(-7, 4) in the ratio 1 : 2.

Class 10 Maths Previous Year Questions - Coordinate Geometry

Q7: The centre of a circle whose end points of a diameter are (-6, 3) and (6, 4) is    (2020)
(a) (8, -1)
(b) (4, 7)
(c) Class 10 Maths Previous Year Questions - Coordinate Geometry

(d) Class 10 Maths Previous Year Questions - Coordinate Geometry    

Class 10 Maths Previous Year Questions - Coordinate GeometryView Answer  Class 10 Maths Previous Year Questions - Coordinate Geometry

Ans: (c)
Let the coordinates of centre of the circle be (x, y) and AB be the given diameter.
By Using mid-point formula.
Class 10 Maths Previous Year Questions - Coordinate Geometry

We have,

Class 10 Maths Previous Year Questions - Coordinate Geometry
∴ Coordinates of C are Class 10 Maths Previous Year Questions - Coordinate Geometry

Q8: Find the ratio in which the y-axis divides the line segment joining the points (6, -4) and (-2, -7). Also, find the point of intersection.       (2020)

Class 10 Maths Previous Year Questions - Coordinate GeometryView Answer  Class 10 Maths Previous Year Questions - Coordinate Geometry

Ans: Let the point P(0, y) on y-axis divides the line segment joining the points A(6, -4) and B(-2, -7) in the ratio k : 1.
Class 10 Maths Previous Year Questions - Coordinate Geometry

By section formula, we have

-2k + 6k + 1 = 0

⇒ -2k + 6 = 0 ⇒ k = 3

and

-7k - 4k + 1 = y

-7(3) - 43 + 1 = y

4y = -21 - 4 = -25

⇒ y = -254

Hence, the required point is (0, -254) and the required ratio is 3:1.

Q9: If the point C(-1, 2) divides internally the line segment joining A(2, 5) and B(x, y) in the ratio 3 : 4, find the coordinates of B.    (2020)

Class 10 Maths Previous Year Questions - Coordinate GeometryView Answer  Class 10 Maths Previous Year Questions - Coordinate Geometry

Ans: We have, A(2, 5), B(x, y) and C(-1, 2) and point C divides AB in the ratio 3 :4.
Class 10 Maths Previous Year Questions - Coordinate Geometry

∴ -1 = 3x + 87 ⇒ -7 = 3x + 8 ⇒ x = -153 = -5

and

2 = 3y + 207 ⇒ 14 = 3y + 20 ⇒ y = -63 = -2

∴ Coordinates of B = (-5, -2)

Previous Year Questions 2019


Q1: Find the value(s) of x, if the distance between the points 4(0, 0) a nd B(x, - 4) is 5 units.     (2019)

Class 10 Maths Previous Year Questions - Coordinate GeometryView Answer  Class 10 Maths Previous Year Questions - Coordinate Geometry

Ans:  Given AB = 5 units
Class 10 Maths Previous Year Questions - Coordinate Geometry

Q2: Find the point on y-axis which is equidistant from the points (5,-2) and (-3, 2).      (Delhi 2019)

Class 10 Maths Previous Year Questions - Coordinate GeometryView Answer  Class 10 Maths Previous Year Questions - Coordinate Geometry

Ans:
Any point on the y-axis has coordinates of the form (0, y).

Set Up the Distance Equation:

The distance from (0, y) to (5, -2) should be equal to the distance from (0, y) to (-3, 2):

√((0 - 5)² + (y - (-2))²) = √((0 - (-3))² + (y - 2)²)

Simplify the equation:

√(25 + (y + 2)²) = √(9 + (y - 2)²)

Square Both Sides:

25 + (y + 2)² = 9 + (y - 2)²

Expand and Simplify:

Expand both sides:

25 + y² + 4y + 4 = 9 + y² - 4y + 4

Simplify:

29 + y² + 4y = 13 + y² - 4y

Subtract y² from both sides:

29 + 4y = 13 - 4y

Add 4y to both sides:

29 + 8y = 13

Subtract 29 from both sides:

8y = -16

Divide by 8:

y = -2

The point on the y-axis that is equidistant from (5,-2) and (-3,2) is (0,-2).

Q3: Find the coordinates of a point A where AB is a diameter of the circle with centre (-2, 2) and B is the point with coordinates (3, 4).    (2019)

Class 10 Maths Previous Year Questions - Coordinate GeometryView Answer  Class 10 Maths Previous Year Questions - Coordinate Geometry

Ans: Let coordinates of the point A be (x, y) and O is the mid point of AB.
Class 10 Maths Previous Year Questions - Coordinate Geometry
By using mid-point formula,
we haveClass 10 Maths Previous Year Questions - Coordinate Geometry
⇒ -4 = x + 3 and 4 = y + 4
⇒ x = -7 and y = 0
∴ Coordinates of A are (-7, 0).

Q4: In what ratio is the line segment joining the points P(3, -6) and Q(5, 3) divided by x-axis?     (2019)

Class 10 Maths Previous Year Questions - Coordinate GeometryView Answer  Class 10 Maths Previous Year Questions - Coordinate Geometry

Ans: Let the point R(x, 0) on x-axis divides the line segment PQ in the ratio k: 1.
Class 10 Maths Previous Year Questions - Coordinate Geometry
∴ By section formula, we have
Class 10 Maths Previous Year Questions - Coordinate Geometry
∴ Required ratio is 2 : 1 .

Q5: Find the ratio in which the segment joining the points (1, -3) and (4, 5) is divided by x-axis? Also find the coordinates of this point on x-axis.   (2019)

Class 10 Maths Previous Year Questions - Coordinate GeometryView Answer  Class 10 Maths Previous Year Questions - Coordinate Geometry

Ans: Let the point P(x, 0) divides the segment joining the points A(1, -3) and B (4, 5) in the ratio k : 1
Class 10 Maths Previous Year Questions - Coordinate Geometry

Coordinates of P are (4k + 1, 5k - 3)k + 1 (By Section Formula)

Since, y-coordinate of P is 0

5k - 3k + 1 = 0 ⇒ 5k - 3 = 0 ⇒ 5k = 3 ⇒ k = 35

Hence, the point P divides the line segment in the ratio 3:5.

Also, x-coordinate of P

= 4k + 1k + 1 = 43/5 + 1 = 178

∴ Coordinates of point P are (17/8, 0)

Q6: The point R divides the line segment AB, where A (- 4, 0) and B(0, 6) such that AR = 3/4 AB.
Find the coordinates of R.    (CBSE 2019)

Class 10 Maths Previous Year Questions - Coordinate GeometryView Answer  Class 10 Maths Previous Year Questions - Coordinate Geometry

Ans: Given,
Class 10 Maths Previous Year Questions - Coordinate Geometry

AR = 34 AB ⇒ ABAR = 43

ABAR - 1 = 43 - 1 = 1

AB - ARAR = 4 - 33 = 13

BRAR = 13 ⇒ AR : BR = 3:1

∴ Coordinates of R are

( 3(0) + 1(-4)3 + 1 , 3(6) + 1(0)3 + 1 )

= ( -44 , 184 ) = (-1, 92 )

Q7: Find the coordinates of point A, where AB is the diameter of the circle with centre (3, -1) and point B is (2, 6).   [2019, 2 Marks]

Class 10 Maths Previous Year Questions - Coordinate GeometryView Answer  Class 10 Maths Previous Year Questions - Coordinate Geometry

Ans: Let the coordinates of A be (x, y). Here, 0(3, - 1] is the mid point of AB.
Class 10 Maths Previous Year Questions - Coordinate Geometry
By using mid point formula, we haveClass 10 Maths Previous Year Questions - Coordinate Geometry⇒ x = 4, y = - 8∴ Coordinates of A are (4, - 8).

Q8: The line segment joining the points A(2, 1) and B(5, -8) is trisected at the points P and Q such that P is nearer to A. If P also lies on the line given by 2x - y + k = 0, find the value of k.   (2019)

Class 10 Maths Previous Year Questions - Coordinate GeometryView Answer  Class 10 Maths Previous Year Questions - Coordinate Geometry

Ans: Class 10 Maths Previous Year Questions - Coordinate Geometry
Let P(x1, y1) and Q(x2, y2) are the points of trisection of line segment AB.
∴ AP = PQ = QB
Now. point P divides AB internally in the ratio 1 : 2
∴ By section formula, we have  
Class 10 Maths Previous Year Questions - Coordinate Geometry
Since, point P(3, -2) lies on the line 2x - y + k = 0
⇒ 6 + 2 + k = 0
⇒ k = - 8

Q9: Find the ratio in which the line x - 3y = 0 divides the line segment joining the points (-2, -5) and (6, 3). Find the coordinates of the point of intersection.   (2019)

Class 10 Maths Previous Year Questions - Coordinate GeometryView Answer  Class 10 Maths Previous Year Questions - Coordinate Geometry

Ans: Let point P(x1, y1) divides the line segment joining the points A(-2, -5) and B(6, 3) in the ratio k: 1
Class 10 Maths Previous Year Questions - Coordinate Geometry
∴ Coordinates of P are
Class 10 Maths Previous Year Questions - Coordinate Geometry
The point P lies on line x - 3y = 0
Class 10 Maths Previous Year Questions - Coordinate Geometry
∴ Required ratio is 13 : 3.Now, coordinates of P are
Class 10 Maths Previous Year Questions - Coordinate Geometry

Q10: In what ratio does the point P(-4, y) divide the line segment joining the points A(-6, 10) and B(3, -8) Hence find the value of y.   (2019)

Class 10 Maths Previous Year Questions - Coordinate GeometryView Answer  Class 10 Maths Previous Year Questions - Coordinate Geometry

Ans: Let the point P(-4, y) divides the line segment joining the points A and B in the ration k: 1
Class 10 Maths Previous Year Questions - Coordinate Geometry
∴ By section formula, coordinates of P are
Class 10 Maths Previous Year Questions - Coordinate Geometry
∴ Required ratio is 2: 7.

Now,
Class 10 Maths Previous Year Questions - Coordinate Geometry

Previous Year Questions 2017

Q1: If two adjacent vertices of a parallelogram are (3, 2) and (–1, 0) and the diagonals intersect at  (2, –5), then find the coordinates of the other two vertices. (CBSE 2017)

Class 10 Maths Previous Year Questions - Coordinate GeometryView Answer  Class 10 Maths Previous Year Questions - Coordinate Geometry

Ans: Consider a parallelogram ABCD with A(3, 2) and B(–1, 0).

Class 10 Maths Previous Year Questions - Coordinate Geometry

Let two adjacent vertices of a parallelogram be A ≡ (3,2) and B ≡ (-1,0).

Let coordinates of the other two vertices be C (x1, y1) and D (x2, y2).

We know that diagonals of a parallelogram bisect each other.

∴ Midpoint of AC and Midpoint of BD are the same, i.e., point O(2, -5).

3 + x12 = 2 and 2 + y12 = -5

⇒ x1 = 1 and y1 = -12 ⇒ C ≡ (1, -12)

Also, x2 - 12 = 2 and y2 + 02 = -5

⇒ x2 = 5 and y2 = -10 ⇒ D ≡ (5, -10)

Hence, the remaining vertices are (1, -12) and (5, -10).

Q2: Find the coordinates of the points of trisection of the line segment joining the points (3, –2) and (–3, –4). (CBSE 2017)

Class 10 Maths Previous Year Questions - Coordinate GeometryView Answer  Class 10 Maths Previous Year Questions - Coordinate Geometry

Ans: The given line segment is A(3, – 2) and B(–3, –4). 
Here, C(x, y) and C'(x’, y’) are the points of trisection of AB. 
Then, AC : CB = 1 : 2 and AC’ : C’B = 2 : 1
Class 10 Maths Previous Year Questions - Coordinate Geometry

By section formula,

C(x, y) = mx2 + nx1m + n , my2 + ny1m + n

Here, m = 1, n = 2

x1 = 3, y1 = -2

x2 = -3, y2 = -4

∴ C(x, y) = 1(-3) + 2×31 + 2 , 1(-4) + 2(-2)1 + 2

= -3 + 63 , -4 - 43

= (1, -8/3)

Now,

C'(x', y') = m'x2 + n'x1m' + n' , m'y2 + n'y1m' + n'

Here, m' = 2, n' = 1

∴ C'(x', y') = 2(-3) + 1×32 + 1 , 2(-4) + 1×(-2)2 + 1

= -6 + 33 , -8 - 23

= (-1, -10/3)

Hence, the coordinates of the points of trisection are (1, -8/3) and (-1, -10/3).

Q3: In the given figure, ∆ABC is an equilateral triangle of side 3 units. Find the coordinates of the other two vertices. (CBSE 2017)

Class 10 Maths Previous Year Questions - Coordinate Geometry

Class 10 Maths Previous Year Questions - Coordinate GeometryView Answer  Class 10 Maths Previous Year Questions - Coordinate Geometry

Ans: Given an equilateral triangle ABC of side 3 units. 
Also, coordinates of vertex A are (2, 0). 
Let the coordinates of B = (x, 0) and C = (x', y'). 
Then, using the distance formula,

Class 10 Maths Previous Year Questions - Coordinate Geometry

On squaring both sides, we get
9 = (x – 2)2
x2 + 4 – 4x = 9 
x2 – 4x – 5 = 0 
x2 – 5x + x – 5 = 0
(x – 5) (x + 1) = 0 
x = 5, – 1 But x = – 1 (Neglected , since it lies on positive x-axis) 
Coordinates of B are (5, 0). 
Now, AC = BC [Q Sides of an equilateral triangle are equal] 
or AC2 = BC2
By using the distance formula, 
√(x' – 2)2 + (y' – 0)2 = √(x' – 5)2 + (y' – 0)2
x' 2 + 4 – 4x' + y' 2 = x' 2 + 25 – 10x' + y'
6x' = 21 
x' = 7 / 2 

Also, AC = 3 units. (given)

√((x - 2)² + (y' - 0)²) = 3

On squaring both sides:

x² + 4 - 4x + y'² = 9

494 + 4 - 4 × 72 + y'² = 9 [∵ x' = 72]

⇒ y'² = 9 - 94 = 274

⇒ y' = √274 = ± 3√32

But, C lies in the first quadrant.

y' = 3√32

Coordinates of C are ( 72 , 3√32 )

Hence, the coordinates of B and C are (5, 0) and ( 72 , 3√32 ) respectively.

Q4: Show that ∆ABC, where A(–2, 0), B(2, 0), C(0, 2) and ∆PQR where P(–4, 0), Q(4, 0), R(0, 4) are similar triangles. (CBSE 2017)

Class 10 Maths Previous Year Questions - Coordinate GeometryView Answer  Class 10 Maths Previous Year Questions - Coordinate Geometry

Ans: Given: ∆ABC with vertices A(–2, 0), B(2, 0), C(0, 2) and ∆PQR with vertices P(−4, 0) Q(4, 0) and R(0, 4). 
In ∆ABC, using distance formula,

Class 10 Maths Previous Year Questions - Coordinate Geometry

Similarly, in ∆PQR, using distance formula,

Class 10 Maths Previous Year Questions - Coordinate Geometry

Now,

Class 10 Maths Previous Year Questions - Coordinate Geometry

and Class 10 Maths Previous Year Questions - Coordinate Geometry

So, Class 10 Maths Previous Year Questions - Coordinate Geometry

Since, the corresponding sides of ΔABC and ΔPQR are proportional,
∴ ∆ABC ~ ∆PQR
Hence, proved.

The document Class 10 Maths Previous Year Questions - Coordinate Geometry is a part of the Class 10 Course Mathematics (Maths) Class 10.
All you need of Class 10 at this link: Class 10
127 videos|584 docs|79 tests

FAQs on Class 10 Maths Previous Year Questions - Coordinate Geometry

1. What are the key concepts of Coordinate Geometry that Class 10 students should focus on for their exams?
Ans. Class 10 students should focus on key concepts such as the Cartesian plane, distance formula, section formula, midpoint formula, and the equation of a straight line. Understanding these concepts will help in solving various problems related to coordinates.
2. How can students effectively prepare for Coordinate Geometry questions in their Class 10 exams?
Ans. Students can prepare effectively by practicing previous years' question papers, understanding the theoretical concepts, and solving sample problems. Regular revision and solving mock tests can also enhance their problem-solving speed and accuracy.
3. What are the common types of Coordinate Geometry questions asked in Class 10 exams?
Ans. Common questions include finding the distance between two points, determining the coordinates of a point dividing a line segment in a given ratio, and finding the equation of a line given two points. Students should be familiar with these types to perform well.
4. Are there any tips for solving Coordinate Geometry problems quickly during exams?
Ans. Yes, students can save time by memorizing key formulas, practicing shortcuts for common calculations, and sketching diagrams to visualize the problem. Additionally, they should read questions carefully to avoid unnecessary mistakes.
5. How important is the understanding of Coordinate Geometry for higher studies in mathematics?
Ans. Understanding Coordinate Geometry is crucial for higher studies in mathematics, as it forms the foundation for advanced topics like analytical geometry, calculus, and vector algebra. A strong grasp of these concepts will aid in future mathematical studies.
Related Searches

Sample Paper

,

Class 10 Maths Previous Year Questions - Coordinate Geometry

,

video lectures

,

pdf

,

Summary

,

shortcuts and tricks

,

mock tests for examination

,

Previous Year Questions with Solutions

,

Extra Questions

,

Exam

,

past year papers

,

practice quizzes

,

MCQs

,

Semester Notes

,

Viva Questions

,

Free

,

Objective type Questions

,

Class 10 Maths Previous Year Questions - Coordinate Geometry

,

Class 10 Maths Previous Year Questions - Coordinate Geometry

,

study material

,

Important questions

,

ppt

;