JEE Exam  >  JEE Notes  >  Sample Papers for Class 11 Medical and Non-Medical  >  Class 11 Math: CBSE Sample Question Papers- Term II (2021-22)- 2

Class 11 Math: CBSE Sample Question Papers- Term II (2021-22)- 2 | Sample Papers for Class 11 Medical and Non-Medical - JEE PDF Download


Class XI: Mathematics
Time: 120 Minutes

Max. Marks: 40

General Instructions:

  • This question paper contains three sections A, B and C. Each part is compulsory.
  • Section - A has 6 short answer type (SA1) questions of 2 marks each.
  • Section - B has 4 short answer type (SA2) questions of 3 marks each.
  • Section - C has 4 long answer type questions (LA) of 4 marks each.
  • There is an internal choice in some of the questions.
  • Q14 is a case-based problem having 2 sub parts of 2 marks each.

Section - A

Q.1. Class 11 Math: CBSE Sample Question Papers- Term II (2021-22)- 2 | Sample Papers for Class 11 Medical and Non-Medical - JEE


Class 11 Math: CBSE Sample Question Papers- Term II (2021-22)- 2 | Sample Papers for Class 11 Medical and Non-Medical - JEE
Class 11 Math: CBSE Sample Question Papers- Term II (2021-22)- 2 | Sample Papers for Class 11 Medical and Non-Medical - JEE
Class 11 Math: CBSE Sample Question Papers- Term II (2021-22)- 2 | Sample Papers for Class 11 Medical and Non-Medical - JEE

OR

If nP4 : nP2 = 12 : 1, find n

nP4 : nP2 = 12 : 1
Class 11 Math: CBSE Sample Question Papers- Term II (2021-22)- 2 | Sample Papers for Class 11 Medical and Non-Medical - JEE

(n-2)(n-3) = 12

n2-5n-6 =0
(n-6)(n+1) =0

if   n+1 =0

∴ n=-1 is not possible (n ∈ N)

if n-6=0

∴ n=6 


Q.2. Write the eccentricity of the hyperbola, 9y2 – 4x2 = 3

Class 11 Math: CBSE Sample Question Papers- Term II (2021-22)- 2 | Sample Papers for Class 11 Medical and Non-Medical - JEE
Class 11 Math: CBSE Sample Question Papers- Term II (2021-22)- 2 | Sample Papers for Class 11 Medical and Non-Medical - JEE
a2 = 9, b2 = 4
Class 11 Math: CBSE Sample Question Papers- Term II (2021-22)- 2 | Sample Papers for Class 11 Medical and Non-Medical - JEE


Q.3. How many 5 digit telephone numbers can be constructed using the digits 0 to 9, if each number starts with 67 and no digit appears more than once?

Number of ways to fill the III place = 8

Number of ways to fill the IV place = 7
Class 11 Math: CBSE Sample Question Papers- Term II (2021-22)- 2 | Sample Papers for Class 11 Medical and Non-Medical - JEE
Number of ways to fill the V place = 6
Hence, total number of ways
= 8 x 7 x 6 = 56 x 6 = 336

OR

Determine the number of 5 card combining out of deck of 52 cards if each selection of 5 cards has exactly one king.

1 king out of 4 kings can be selected in 4Cways
Remaining 4 cards out of remaining 48 cards can be selected in 48C4 ways.
Hence, total number of ways
= 4C1 x 48C4=4 x 48C4


Q.4. Given P(A) = 3/5 and P(B)= 1/5. Find P(A ∪ B) if A and B are mutually exclusive events.

P(A) = 3/5 and P(B)= 1/5
A and B are mutually exclusive events
∴ P(A∩B) =0
Now P(A∪B)= P(A) + P(B) -  P(A∩B)
Class 11 Math: CBSE Sample Question Papers- Term II (2021-22)- 2 | Sample Papers for Class 11 Medical and Non-Medical - JEE


Q.5. Solve for Class 11 Math: CBSE Sample Question Papers- Term II (2021-22)- 2 | Sample Papers for Class 11 Medical and Non-Medical - JEE

We have,
Class 11 Math: CBSE Sample Question Papers- Term II (2021-22)- 2 | Sample Papers for Class 11 Medical and Non-Medical - JEE
Class 11 Math: CBSE Sample Question Papers- Term II (2021-22)- 2 | Sample Papers for Class 11 Medical and Non-Medical - JEE
Class 11 Math: CBSE Sample Question Papers- Term II (2021-22)- 2 | Sample Papers for Class 11 Medical and Non-Medical - JEE
Class 11 Math: CBSE Sample Question Papers- Term II (2021-22)- 2 | Sample Papers for Class 11 Medical and Non-Medical - JEE


Q.6. Find the derivatives of 2x - 3/4

Class 11 Math: CBSE Sample Question Papers- Term II (2021-22)- 2 | Sample Papers for Class 11 Medical and Non-Medical - JEE
Class 11 Math: CBSE Sample Question Papers- Term II (2021-22)- 2 | Sample Papers for Class 11 Medical and Non-Medical - JEE

Section - B


Q.7. If tan θ + sin θ = m and tan θ – sin θ = n, then prove that : m2 – n2 = 4sinθ⋅tan θ

Given, tan θ + sin θ = m and tan θ - sin θ = n,
To prove, m2 – n2 = 4 sin θ tan θ
L.H.S. = m2-n2
= (m+n)(m-n)
= [(tan θ + sin θ) + (tan θ - sin θ) ]. [(tan θ + sin θ) - (tan θ - sin θ)]

= (2 tan θ) (2sin θ)
= 4sin θ tan θ
= R.H.S
Hence Proved


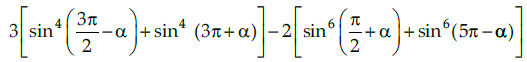
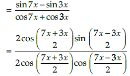
Q.8. Prove that
Class 11 Math: CBSE Sample Question Papers- Term II (2021-22)- 2 | Sample Papers for Class 11 Medical and Non-Medical - JEE

OR

Prove that:

tanα.tan (60º - α). tan (60º + α)=  tan 3α

Class 11 Math: CBSE Sample Question Papers- Term II (2021-22)- 2 | Sample Papers for Class 11 Medical and Non-Medical - JEE
Class 11 Math: CBSE Sample Question Papers- Term II (2021-22)- 2 | Sample Papers for Class 11 Medical and Non-Medical - JEE
Class 11 Math: CBSE Sample Question Papers- Term II (2021-22)- 2 | Sample Papers for Class 11 Medical and Non-Medical - JEE
Class 11 Math: CBSE Sample Question Papers- Term II (2021-22)- 2 | Sample Papers for Class 11 Medical and Non-Medical - JEE
Hence Proved


Q.9. If tan (A + B) = p, tan (A – B) = q, then show that : Class 11 Math: CBSE Sample Question Papers- Term II (2021-22)- 2 | Sample Papers for Class 11 Medical and Non-Medical - JEE

Given, tan (A + B) = p, and tan (A – B) = q,
L.H.S.  = tan 2A = tan(A+B+A-B)
= tan[(A+B)+(A-B)]
Class 11 Math: CBSE Sample Question Papers- Term II (2021-22)- 2 | Sample Papers for Class 11 Medical and Non-Medical - JEE


Q.10. Find the value of the expression
Class 11 Math: CBSE Sample Question Papers- Term II (2021-22)- 2 | Sample Papers for Class 11 Medical and Non-Medical - JEE

Given,
Class 11 Math: CBSE Sample Question Papers- Term II (2021-22)- 2 | Sample Papers for Class 11 Medical and Non-Medical - JEE
Class 11 Math: CBSE Sample Question Papers- Term II (2021-22)- 2 | Sample Papers for Class 11 Medical and Non-Medical - JEE
Class 11 Math: CBSE Sample Question Papers- Term II (2021-22)- 2 | Sample Papers for Class 11 Medical and Non-Medical - JEE
Class 11 Math: CBSE Sample Question Papers- Term II (2021-22)- 2 | Sample Papers for Class 11 Medical and Non-Medical - JEE

Section - C

Q.11. Find the derivative of the functions Class 11 Math: CBSE Sample Question Papers- Term II (2021-22)- 2 | Sample Papers for Class 11 Medical and Non-Medical - JEE where a and b are non-zero constant.

Let
Class 11 Math: CBSE Sample Question Papers- Term II (2021-22)- 2 | Sample Papers for Class 11 Medical and Non-Medical - JEE
Class 11 Math: CBSE Sample Question Papers- Term II (2021-22)- 2 | Sample Papers for Class 11 Medical and Non-Medical - JEE


Q.12. A solution of 9% acid is to be diluted by adding 3% acid solution to it. The resulting mixture is to be more than 5% but less than 7% acid. If there is 460 L of the 9% solution, how many litres of 3% solution will have to be added?

Let x L of 3% solution be added to 460 L of 9% solution of acid.

Then, total quantity of mixture = (460 + x) L
Total acid content in the (460 + x) L of mixture
Class 11 Math: CBSE Sample Question Papers- Term II (2021-22)- 2 | Sample Papers for Class 11 Medical and Non-Medical - JEE
It is given that acid content in the resulting mixture must be more than 5% but less than

7%.
Therefore,
Class 11 Math: CBSE Sample Question Papers- Term II (2021-22)- 2 | Sample Papers for Class 11 Medical and Non-Medical - JEE
Class 11 Math: CBSE Sample Question Papers- Term II (2021-22)- 2 | Sample Papers for Class 11 Medical and Non-Medical - JEE

⇒ 2300 + 5x < 4140 + 3x < 3220 + 7x

Taking first two inequalities,
Class 11 Math: CBSE Sample Question Papers- Term II (2021-22)- 2 | Sample Papers for Class 11 Medical and Non-Medical - JEE
⇒ x<920   ...(i)
Taking last two inequalities,
Class 11 Math: CBSE Sample Question Papers- Term II (2021-22)- 2 | Sample Papers for Class 11 Medical and Non-Medical - JEE
Class 11 Math: CBSE Sample Question Papers- Term II (2021-22)- 2 | Sample Papers for Class 11 Medical and Non-Medical - JEE

Hence, the number of litres of the 3% solution of acid must be more than 230 L and less than

920 L.

OR

A solution is to be kept between 40°C and 45°C. What is the range of temperature in degree Fahrenheit, if the conversion formula is F = 9/5C+32?

Let the required temperature be x° F.
Class 11 Math: CBSE Sample Question Papers- Term II (2021-22)- 2 | Sample Papers for Class 11 Medical and Non-Medical - JEE

Since, temperature in degree Celsius lies between 40°C to 45°C.
Class 11 Math: CBSE Sample Question Papers- Term II (2021-22)- 2 | Sample Papers for Class 11 Medical and Non-Medical - JEE
⇒ 40 x 9 < 5x - 160 < 45 x 9   [multiplying throughout by 9]
⇒ 360 < 5x - 160 <405 [adding 160 throughout]
⇒ 360 + 160 < 5 < 405 + 160
⇒ 520 < 5x < 565
Class 11 Math: CBSE Sample Question Papers- Term II (2021-22)- 2 | Sample Papers for Class 11 Medical and Non-Medical - JEE

Hence, the range of temperature in degree Fahrenheit is between 104 °F to 113°F.


Q.13. If A and B be the points (3, 4, 5) and (–1, 3, –7), respectively, find the equation of the set of points P such that PA2 + PB2 = k2, where k is constant.

The coordinates of points A and B are given as (3, 4, 5) and (–1, 3, –7) respectively. Let the

co-ordinates of point P be (x, y, z).
On using distance formula, we obtain
PA2 = (x – 3)2 + (y – 4)2 + (z – 5)2 
= x2 + 9 – 6x + y2 + 16 – 8y + z2 + 25 – 10z
= x2 + y2 + z2 – 6x – 8y – 10z + 50
PB2 = (x + 1)2 + (y – 3)2 + (z + 7)2 
= x2 + 1 + 2x + y2 + 9 – 6y + z2 + 49 + 14z
= x2 + y2 + z2 + 2x – 6y + 14z + 59
Now, if PA2 + PB2 = k2, then
(x2 + y2 + z2 – 6x – 8y – 10z + 50) + (x2 + y2 +
z2 + 2x – 6y + 14z + 59)
⇒ 2x2 + 2y2 + 2z2 – 4x – 14y + 4z + 109 = k2
⇒ 2(x2 + y2 + z2 – 2x – 7y + 2z) + 109 = k2
⇒ 2(x2 + y2 + z2 – 2x – 7y + 2z) = k2 – 109
Class 11 Math: CBSE Sample Question Papers- Term II (2021-22)- 2 | Sample Papers for Class 11 Medical and Non-Medical - JEE
Thus, the required equation is
Class 11 Math: CBSE Sample Question Papers- Term II (2021-22)- 2 | Sample Papers for Class 11 Medical and Non-Medical - JEE


Case-Based/Data Based

Q.14. One of the four persons John, Rita, Aslam or Gurpreet will be promoted next month. Consequently the sample space consists of four elementary outcomes S = {John promoted, Rita promoted, Aslam promoted, Gurpreet promoted}. You are told that the chances of John's promotion is same as that of Gurpreet, Rita's chances of promotion are twice as likely as Johns. Aslam's chances are four times that of John.

Class 11 Math: CBSE Sample Question Papers- Term II (2021-22)- 2 | Sample Papers for Class 11 Medical and Non-Medical - JEE

Based on the given information, answer the following questions:
(i) What is the probability that John got promoted?
(ii) If A = {John promoted or Gurpreet promoted}, Find P(A).

Let Event :
J = John promoted
R = Rita promoted
A = Aslam promoted
G = Gurpreet promoted
Given sample space, S = {John promoted,
Rita promoted, Aslam promoted, Gurpreet promoted}
i.e., S = {J, R, A, G)
It is given that, chances of John’s promotion is same as that of Gurpreet.
P(J) = P(G)
Rita’s chances of promotion are twice as likely as John.
P(R) = 2P(J)
and Aslam’s chances of promotion are four times that of John.

P(A) = 4P(J)
(i) P(J) + P(R) + P(A) + P(G) = 1
⇒ P(J) + 2P(J) + 4P(J) + P(J) = 1
⇒ 8P(J) = 1
P(J) = P(John Promoted) = 1/8
(ii) A = John promoted or Gurpreet promoted
Class 11 Math: CBSE Sample Question Papers- Term II (2021-22)- 2 | Sample Papers for Class 11 Medical and Non-Medical - JEE
Class 11 Math: CBSE Sample Question Papers- Term II (2021-22)- 2 | Sample Papers for Class 11 Medical and Non-Medical - JEE
= 1/4

The document Class 11 Math: CBSE Sample Question Papers- Term II (2021-22)- 2 | Sample Papers for Class 11 Medical and Non-Medical - JEE is a part of the JEE Course Sample Papers for Class 11 Medical and Non-Medical.
All you need of JEE at this link: JEE
90 docs
Related Searches

Class 11 Math: CBSE Sample Question Papers- Term II (2021-22)- 2 | Sample Papers for Class 11 Medical and Non-Medical - JEE

,

Class 11 Math: CBSE Sample Question Papers- Term II (2021-22)- 2 | Sample Papers for Class 11 Medical and Non-Medical - JEE

,

mock tests for examination

,

MCQs

,

Previous Year Questions with Solutions

,

video lectures

,

Extra Questions

,

past year papers

,

Exam

,

Semester Notes

,

pdf

,

Summary

,

study material

,

shortcuts and tricks

,

Important questions

,

Free

,

Class 11 Math: CBSE Sample Question Papers- Term II (2021-22)- 2 | Sample Papers for Class 11 Medical and Non-Medical - JEE

,

Viva Questions

,

Sample Paper

,

ppt

,

practice quizzes

,

Objective type Questions

;