JEE Exam  >  JEE Notes  >  Detailed Chapter Notes - General Organic Chemistry, Class 11, Chemistry

General Organic Chemistry, Class 11, Chemistry Detailed Chapter Notes - JEE PDF Download

General Organic Chemistry
 

HOMOLYTIC BOND FISSION HOMOLYSIS

The bond cleavage in which each bonded atom gets their own contribution

 

CBSE, Class 11, IIT JEE, Syllabus, Preparation, AIPMT, NCERT, Important, General Organic Chemistry, GOC, Principles and Techniques

Cleavage takes place due to

HELP (H = Heat, E = Electricity, L = light, P = Peroxide)

Favoured when E.N. difference is less or zero.

Cleavage favoured in non polar solvent.

 

Hetrolytic Bond fission

 

CBSE, Class 11, IIT JEE, Syllabus, Preparation, AIPMT, NCERT, Important, General Organic Chemistry, GOC, Principles and Techniques

It is formed when the electronegativity difference between the bonded atoms is more

formation is favoured by polar solvent

 

CBSE, Class 11, IIT JEE, Syllabus, Preparation, AIPMT, NCERT, Important, General Organic Chemistry, GOC, Principles and Techniques

ve charge of the solvent attracts the -ve pole of compound and the -ve pole of the solvent attracts ve pole of compound and the bond breaks.

 
Intermediates of organic compounds

 

                                  Free Radical               Carbocation                   Carbanion

(1) Lone pair                         0                           0                                        1

(2) Bond pair                         3                           3                                        3

(3) Unpaired e-                             1                           ×                                        ×

(4) Bond Angle                    120º                       120º                                   107º

(5) Hybridisation                   sp2                         sp2                                    sp3

(6) Shape                     Trigonal planer          Trigonal planer                          Pyramidal

(7) Magnetic property    Paramagnetic            Diamagnetic                          Diamagnetic

(8) Stability order            3º > 2º > 1º                       3º > 2º > 1º                           1º > 2º > 3º

(As per inductive effect)

(9) e- rich/deficient/poor    ED(Deficient)                     ED                               ER(Rich)

(10) Reactivity order             1º > 2º > 3º             1º > 2º > 3º                         3º > 2º > 1º

(11) +I/-I (stablized)               +I                                 +I                                    -I

 

Electronic Displacement Effect

 

The displacement of electrons within the same molecule is known as electronic displacement. These effects affect the stability of a species or compound and it also affect the acidic & basic strength.

 

Electronic Displacement Effect is divided into two parts:-

(1) Permanent effect

(2) Temporary effect

 

(1) Permanent effect

(i) Inductive effect

(ii) Mesomeric (resonance) effect

(iii) Hyperconjugation

 

(2) Temporary effect:

(i) Electromeric effect

(ii) Inductomeric effect

 

(i) Inductive effect:

It is an effect in which permanent polarisation arises due to partial displacement of s-electrons along carbon chain or partial displacement of sigma-bonded electron toward more electronegative atom in carbon chain.

CBSE, Class 11, IIT JEE, Syllabus, Preparation, AIPMT, NCERT, Important, General Organic Chemistry, GOC, Principles and Techniques

Magnitude of partial positive charge

d1 > d2 > d3 = d- (net charge remain constant in a molecule having inductive effect)

Inductive effect

It is a permanent effect

CBSE, Class 11, IIT JEE, Syllabus, Preparation, AIPMT, NCERT, Important, General Organic Chemistry, GOC, Principles and Techniques (-I effect of X)

if X i.e more electronegative

(After carbon No. 3 the effect disappears)

CBSE, Class 11, IIT JEE, Syllabus, Preparation, AIPMT, NCERT, Important, General Organic Chemistry, GOC, Principles and Techniques ( I effect of Y)

 

CBSE, Class 11, IIT JEE, Syllabus, Preparation, AIPMT, NCERT, Important, General Organic Chemistry, GOC, Principles and Techniques (- I effect order)

* O- < O < O  (-I effect order)

It is a permanent effect

It is caused due to electronegative difference.

It operates via s bonded electron.

It is distance dependent effect.

As distance increases, its effect decreases.

It can be negalected after third carbon.

It is a destablising effect.

It is divided into 2 parts. (On the basis of electronegativity w.r.t. hydrogen atom)

(1) + I effect

(2) - I effect

If any atom or group having electronegativity greater than that of hydrogen. than it is considered as - I effect and vice-versa.

 

+I effect - I effect

(i) e- releasing group (i) e- accepting group

(ii) EN less than H (ii) EN greater than H

(iii) Those group which are (iii) Those group showing -I effect

showing I effect, disperses disperses ve charge on the C-chain

partial - ve charge on the C-chain

CBSE, Class 11, IIT JEE, Syllabus, Preparation, AIPMT, NCERT, Important, General Organic Chemistry, GOC, Principles and Techniques

Eg. CH2 = CH (-I of -ph)

Order of -I effect showing group:

CBSE, Class 11, IIT JEE, Syllabus, Preparation, AIPMT, NCERT, Important, General Organic Chemistry, GOC, Principles and Techniques

CBSE, Class 11, IIT JEE, Syllabus, Preparation, AIPMT, NCERT, Important, General Organic Chemistry, GOC, Principles and Techniques

Order of I effect showing group

CBSE, Class 11, IIT JEE, Syllabus, Preparation, AIPMT, NCERT, Important, General Organic Chemistry, GOC, Principles and Techniques

 

Bond Strength : CT3 > CD3 > CH3 (+I of T > D > H)

 

Q. Why carbon - hydrogen bond is longer than C - T bond

Ans. As the mass increases, vibration decreases as a result of which the heavier isotope will be more closer to the C-atom for a longer time. Therefore C - T bond is stronger C - T > C - D > C - H

Which implies that C - H bond has longest bond

Application of inductive effect

To compare the stability of intermediates.

Intermediates

These are real separable species having measurable stability formed during coversion of reactant to produ ct. (After bond cleavage and before bond formation).
 

6 types of intermediates:

(i) Free radical (ii) Carbocation (iii) Carbanion

(iv) Carbene (v) Nitrene (vi) Benzyne

They are formed by homolytical and heterolytical cleavage.

 
Mesomeric Effect (Resonance effect)

 

Mesomeric effect is valid only for conjugated system.

 

Types

1 M effect ( R)

2 - M Effect (-R)

Consider the following conjugated system

CBSE, Class 11, IIT JEE, Syllabus, Preparation, AIPMT, NCERT, Important, General Organic Chemistry, GOC, Principles and Techniques

* Consider another conjugated system

CBSE, Class 11, IIT JEE, Syllabus, Preparation, AIPMT, NCERT, Important, General Organic Chemistry, GOC, Principles and Techniques

 
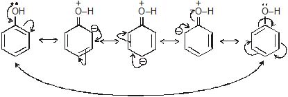
Mesomeric effect in phenol ( M effect)

 

CBSE, Class 11, IIT JEE, Syllabus, Preparation, AIPMT, NCERT, Important, General Organic Chemistry, GOC, Principles and Techniques

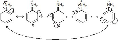
M effect in aniline

CBSE, Class 11, IIT JEE, Syllabus, Preparation, AIPMT, NCERT, Important, General Organic Chemistry, GOC, Principles and Techniques

If the movement of e- is towards ring → ( M effect)

→ This effect increases the electron density over benzene ring.

* -M effect in Benzaldehyde

 

CBSE, Class 11, IIT JEE, Syllabus, Preparation, AIPMT, NCERT, Important, General Organic Chemistry, GOC, Principles and Techniques

 

Ex.23 Idenfity the compound showing M or -M seperately

(a) CBSE, Class 11, IIT JEE, Syllabus, Preparation, AIPMT, NCERT, Important, General Organic Chemistry, GOC, Principles and Techniques (b) CBSE, Class 11, IIT JEE, Syllabus, Preparation, AIPMT, NCERT, Important, General Organic Chemistry, GOC, Principles and Techniques (c) CBSE, Class 11, IIT JEE, Syllabus, Preparation, AIPMT, NCERT, Important, General Organic Chemistry, GOC, Principles and Techniques

 

Sol. (a) (-M) (b) (-M) (c) +M

* M group increases electron density of ring while - M decreases the electron density of benzene ring.

* if NO2 is present on the ortho or para position then along with its -I effect, It will also show -M effect.

 

CBSE, Class 11, IIT JEE, Syllabus, Preparation, AIPMT, NCERT, Important, General Organic Chemistry, GOC, Principles and Techniques

 

Above compound have M of -OH and -M of NO2 group.

 

CBSE, Class 11, IIT JEE, Syllabus, Preparation, AIPMT, NCERT, Important, General Organic Chemistry, GOC, Principles and Techniques

 

as we can easily see that -NO2 at meta position is not attracting e- density towards it self and that's why it will not show -M effect at m-position

 

Resonance

 

Delocalisation of p-electrons in conjugation is known as resonance.

 

CBSE, Class 11, IIT JEE, Syllabus, Preparation, AIPMT, NCERT, Important, General Organic Chemistry, GOC, Principles and Techniques (Actual Structure)

(resonating structures)        (Resonance hybrid)

 

CBSE, Class 11, IIT JEE, Syllabus, Preparation, AIPMT, NCERT, Important, General Organic Chemistry, GOC, Principles and Techniques in this form CBSE, Class 11, IIT JEE, Syllabus, Preparation, AIPMT, NCERT, Important, General Organic Chemistry, GOC, Principles and Techniques

 
Condition for showing resonance

 

1. Molecule should be planer, nearly planer or a part of it is planar

Q.1 Which are planer

 

(A) CBSE, Class 11, IIT JEE, Syllabus, Preparation, AIPMT, NCERT, Important, General Organic Chemistry, GOC, Principles and Techniques (B) CBSE, Class 11, IIT JEE, Syllabus, Preparation, AIPMT, NCERT, Important, General Organic Chemistry, GOC, Principles and Techniques CBSE, Class 11, IIT JEE, Syllabus, Preparation, AIPMT, NCERT, Important, General Organic Chemistry, GOC, Principles and Techniques *(C) CBSE, Class 11, IIT JEE, Syllabus, Preparation, AIPMT, NCERT, Important, General Organic Chemistry, GOC, Principles and Techniques *(D) CBSE, Class 11, IIT JEE, Syllabus, Preparation, AIPMT, NCERT, Important, General Organic Chemistry, GOC, Principles and Techniques

 

Because all carbon atoms are sp2 hybridised.

 

2. Molecule should posses conjugated system.

 

Conjugated system :-

Continuous unhybridised p-orbital parallel to each-other.

 

Types of conjugated system:-

(1) p-bond alternate to p-bond

CH2 = CH - CH = CH2

CBSE, Class 11, IIT JEE, Syllabus, Preparation, AIPMT, NCERT, Important, General Organic Chemistry, GOC, Principles and Techniques

 

(2) p-bond alternate to charge

CH2 = CH - CH2

CBSE, Class 11, IIT JEE, Syllabus, Preparation, AIPMT, NCERT, Important, General Organic Chemistry, GOC, Principles and Techniques

 

Eg. CBSE, Class 11, IIT JEE, Syllabus, Preparation, AIPMT, NCERT, Important, General Organic Chemistry, GOC, Principles and Techniques

CBSE, Class 11, IIT JEE, Syllabus, Preparation, AIPMT, NCERT, Important, General Organic Chemistry, GOC, Principles and Techniques

CBSE, Class 11, IIT JEE, Syllabus, Preparation, AIPMT, NCERT, Important, General Organic Chemistry, GOC, Principles and TechniquesCBSE, Class 11, IIT JEE, Syllabus, Preparation, AIPMT, NCERT, Important, General Organic Chemistry, GOC, Principles and TechniquesCBSE, Class 11, IIT JEE, Syllabus, Preparation, AIPMT, NCERT, Important, General Organic Chemistry, GOC, Principles and TechniquesCBSE, Class 11, IIT JEE, Syllabus, Preparation, AIPMT, NCERT, Important, General Organic Chemistry, GOC, Principles and TechniquesCBSE, Class 11, IIT JEE, Syllabus, Preparation, AIPMT, NCERT, Important, General Organic Chemistry, GOC, Principles and Techniques

 

Eg. CBSE, Class 11, IIT JEE, Syllabus, Preparation, AIPMT, NCERT, Important, General Organic Chemistry, GOC, Principles and Techniques
 

 

Eg. CBSE, Class 11, IIT JEE, Syllabus, Preparation, AIPMT, NCERT, Important, General Organic Chemistry, GOC, Principles and Techniques

(4) CBSE, Class 11, IIT JEE, Syllabus, Preparation, AIPMT, NCERT, Important, General Organic Chemistry, GOC, Principles and Techniques

 

(5) CBSE, Class 11, IIT JEE, Syllabus, Preparation, AIPMT, NCERT, Important, General Organic Chemistry, GOC, Principles and Techniques

 

(6) CH2 = CH - BH2 CBSE, Class 11, IIT JEE, Syllabus, Preparation, AIPMT, NCERT, Important, General Organic Chemistry, GOC, Principles and Techniques CBSE, Class 11, IIT JEE, Syllabus, Preparation, AIPMT, NCERT, Important, General Organic Chemistry, GOC, Principles and Techniques CBSE, Class 11, IIT JEE, Syllabus, Preparation, AIPMT, NCERT, Important, General Organic Chemistry, GOC, Principles and Techniques

 

(7) CBSE, Class 11, IIT JEE, Syllabus, Preparation, AIPMT, NCERT, Important, General Organic Chemistry, GOC, Principles and Techniques

 

1. Resonance takes place due to delocalization of p e-.

(a) CBSE, Class 11, IIT JEE, Syllabus, Preparation, AIPMT, NCERT, Important, General Organic Chemistry, GOC, Principles and Techniques Resonance (b) CBSE, Class 11, IIT JEE, Syllabus, Preparation, AIPMT, NCERT, Important, General Organic Chemistry, GOC, Principles and Techniques Resonance absent

(c) CBSE, Class 11, IIT JEE, Syllabus, Preparation, AIPMT, NCERT, Important, General Organic Chemistry, GOC, Principles and Techniques Resonance (d) CBSE, Class 11, IIT JEE, Syllabus, Preparation, AIPMT, NCERT, Important, General Organic Chemistry, GOC, Principles and Techniques Resonance

 

2. Position of the atoms remains the same, only delocalization of p etakes place.

 

Note:-CBSE, Class 11, IIT JEE, Syllabus, Preparation, AIPMT, NCERT, Important, General Organic Chemistry, GOC, Principles and Techniques [They are not resonating structure rather they are tautomer]

 

3. Bond pair get converted into lone pair and l.p. get converted into b.p.

 

CBSE, Class 11, IIT JEE, Syllabus, Preparation, AIPMT, NCERT, Important, General Organic Chemistry, GOC, Principles and Techniques

 

4. In Resonance No. of unpaired e- remains the same

 

CH2 = CH - CH = CH2 CBSE, Class 11, IIT JEE, Syllabus, Preparation, AIPMT, NCERT, Important, General Organic Chemistry, GOC, Principles and Techniques CBSE, Class 11, IIT JEE, Syllabus, Preparation, AIPMT, NCERT, Important, General Organic Chemistry, GOC, Principles and Techniques

(They are not resonating structure)

 

Resonating structure :

(1) Hypothetical strtucture exist on paper

(2) The energy difference b/w different resonating structure is very small.

(3) All R. S. contribute twoards the formation of resonance hybrid (Their contribution may different)

(4) A single R. S. Can't explain each & every property of that particular compound

Draw the resonating structures : -

 

Q.1 CBSE, Class 11, IIT JEE, Syllabus, Preparation, AIPMT, NCERT, Important, General Organic Chemistry, GOC, Principles and Techniques

 

Q.2 CBSE, Class 11, IIT JEE, Syllabus, Preparation, AIPMT, NCERT, Important, General Organic Chemistry, GOC, Principles and Techniques -m of NO2 group

 

Resonance hybrid : -

It is a real structure which explain all the properties of a compound, formed by the contribution of different R. S.. It has got maximum stability as compared R. S.

 

Resonance Energy : -

It is the diffrence b/w theoretical value of H.O.H & experimental value.

Or

It is the difference b/w more stable R.S. & R. H.

* More the resonance energy, more stable will be the molecule.

* Cyclohexane is thermodynamically more stable than benzene, even though resonance energy of benzene is more.

* Resoance energy is a absolute term.

Contribution of different R. S. towards resoance hybrid

(1) Non-polar R. S. contribute more than polar R. S.

(a) CH2 = CH - CH = CH2 (b)  CH2-CH = CH - CH2y (c) yCH2 - CH = CH - CH2

a > b = c stability

 

(2) Polar R. S. with complete octet will contribute more as compared with the one with incomplete octet

CH3 - CH  - OCH3 CBSE, Class 11, IIT JEE, Syllabus, Preparation, AIPMT, NCERT, Important, General Organic Chemistry, GOC, Principles and Techniques CH3 - CH = :O  - CH3

 

Incomplete octet Complete octet

 

(3) In polar R. S. The -ve charge should be on more electro - ve atom & ve charge should be on more electro ve atom

 

(a) CBSE, Class 11, IIT JEE, Syllabus, Preparation, AIPMT, NCERT, Important, General Organic Chemistry, GOC, Principles and Techniques (more stable )

(b) CBSE, Class 11, IIT JEE, Syllabus, Preparation, AIPMT, NCERT, Important, General Organic Chemistry, GOC, Principles and Techniques (less stable )

 

(4) Compound with more covalent bond will contribute more

 

(5) Unlike charges should be closer to each other whereas like charges should be isotated.

 

(6) Extended conjugation contribute more than cross conjugation.

 

CBSE, Class 11, IIT JEE, Syllabus, Preparation, AIPMT, NCERT, Important, General Organic Chemistry, GOC, Principles and Techniques < CBSE, Class 11, IIT JEE, Syllabus, Preparation, AIPMT, NCERT, Important, General Organic Chemistry, GOC, Principles and Techniques

 

Cross conjugation < Extended conjugation

 

Fries Rule :-

Compound with more benzenoid structure are more stable as their Resonance energy is greater than those in which lesser no. of benzenoid structure are present.

 

R. E. is CBSE, Class 11, IIT JEE, Syllabus, Preparation, AIPMT, NCERT, Important, General Organic Chemistry, GOC, Principles and Techniques < CBSE, Class 11, IIT JEE, Syllabus, Preparation, AIPMT, NCERT, Important, General Organic Chemistry, GOC, Principles and Techniques

* If double bond is participating in resonance then it will aquire partial single bond character as a result of which bond length increase & bond strength decreases.

If a single bond is involved in resonance then it will aquire partial doulbe bond character. As a result of which bond length decreases & bond strength increase.

 

Q.1 CBSE, Class 11, IIT JEE, Syllabus, Preparation, AIPMT, NCERT, Important, General Organic Chemistry, GOC, Principles and Techniques

a = e > b = d > c

 

Q.2 (a) CBSE, Class 11, IIT JEE, Syllabus, Preparation, AIPMT, NCERT, Important, General Organic Chemistry, GOC, Principles and Techniques (b) CBSE, Class 11, IIT JEE, Syllabus, Preparation, AIPMT, NCERT, Important, General Organic Chemistry, GOC, Principles and Techniques

(c) CBSE, Class 11, IIT JEE, Syllabus, Preparation, AIPMT, NCERT, Important, General Organic Chemistry, GOC, Principles and Techniques(incomplete) (d) CBSE, Class 11, IIT JEE, Syllabus, Preparation, AIPMT, NCERT, Important, General Organic Chemistry, GOC, Principles and Techniques(incomplete)

a > b > c > d

 

Q.3 CBSE, Class 11, IIT JEE, Syllabus, Preparation, AIPMT, NCERT, Important, General Organic Chemistry, GOC, Principles and Techniques CBSE, Class 11, IIT JEE, Syllabus, Preparation, AIPMT, NCERT, Important, General Organic Chemistry, GOC, Principles and Techniques

CBSE, Class 11, IIT JEE, Syllabus, Preparation, AIPMT, NCERT, Important, General Organic Chemistry, GOC, Principles and Techniques CBSE, Class 11, IIT JEE, Syllabus, Preparation, AIPMT, NCERT, Important, General Organic Chemistry, GOC, Principles and Techniques

Stability CBSE, Class 11, IIT JEE, Syllabus, Preparation, AIPMT, NCERT, Important, General Organic Chemistry, GOC, Principles and Techniques < CBSE, Class 11, IIT JEE, Syllabus, Preparation, AIPMT, NCERT, Important, General Organic Chemistry, GOC, Principles and Techniques

(back bonding)

 

Q.4 (a)CBSE, Class 11, IIT JEE, Syllabus, Preparation, AIPMT, NCERT, Important, General Organic Chemistry, GOC, Principles and Techniques (b) yCH2 - CH = F  a > b (stability)

CBSE, Class 11, IIT JEE, Syllabus, Preparation, AIPMT, NCERT, Important, General Organic Chemistry, GOC, Principles and Techniques

 

Note:-When lone pair as well as double bond is present in some atom. Then only p bond will participating resonance. Where as lone pair remains sp2 hybridised orbital.

When an atom has two or more then two lone pair then only one lone pair will participate in resonance and the other one remains in sp2 hybridised orbital.
 

Hyper conjugation

 

Permanent polarisation caused by displacement of s-electrons into p-molecular orbital is known as hyperconjugation

CBSE, Class 11, IIT JEE, Syllabus, Preparation, AIPMT, NCERT, Important, General Organic Chemistry, GOC, Principles and Techniques

Hyper conjugation is called No bond Resonance

* More a C - H bond, more will be the no bond resonating structure (Hyper conjugation)

More a (C - H) bond, more will be the stability of free radical.

CBSE, Class 11, IIT JEE, Syllabus, Preparation, AIPMT, NCERT, Important, General Organic Chemistry, GOC, Principles and Techniques

 

Properties of Free Radical

 

1. It is a neutral species.

2. It has one upaired electron that's why paramagnetic in nature.

 

Structure :

CBSE, Class 11, IIT JEE, Syllabus, Preparation, AIPMT, NCERT, Important, General Organic Chemistry, GOC, Principles and Techniques → methyl free Radical

CBSE, Class 11, IIT JEE, Syllabus, Preparation, AIPMT, NCERT, Important, General Organic Chemistry, GOC, Principles and Techniques → ethyl free radical

 

3. its hydridisation is sp2 and triangular planer shape.

Note : unpaired electron is not counted while calculating the hybridisation state.

CBSE, Class 11, IIT JEE, Syllabus, Preparation, AIPMT, NCERT, Important, General Organic Chemistry, GOC, Principles and Techniques (unpaired electron stay perpendicular to the plane)

 

Stability of free Radical :

Its stability can be determined with the help of hyperconjugation as well as Resonance effect

 

Allylic Free Radical

CBSE, Class 11, IIT JEE, Syllabus, Preparation, AIPMT, NCERT, Important, General Organic Chemistry, GOC, Principles and Techniques

(Free Radical is on next carbon to doubly bonded carbon atoms)

Effect of Resonance > Hyper conjugation

CBSE, Class 11, IIT JEE, Syllabus, Preparation, AIPMT, NCERT, Important, General Organic Chemistry, GOC, Principles and Techniques

 

Benzylic Free Radical

 

CBSE, Class 11, IIT JEE, Syllabus, Preparation, AIPMT, NCERT, Important, General Organic Chemistry, GOC, Principles and Techniques

* More Resonating structure, more will be the stability of the free Radical.

 

CBSE, Class 11, IIT JEE, Syllabus, Preparation, AIPMT, NCERT, Important, General Organic Chemistry, GOC, Principles and Techniques (di-benzylic free Radical)

No. of Resonating structure = 7

 

CBSE, Class 11, IIT JEE, Syllabus, Preparation, AIPMT, NCERT, Important, General Organic Chemistry, GOC, Principles and Techniques (Tri-benzylic free Radical)

No. of Resonating structure = 10

 

Stability Order :

CBSE, Class 11, IIT JEE, Syllabus, Preparation, AIPMT, NCERT, Important, General Organic Chemistry, GOC, Principles and Techniques

 

Ex.1 Compare the stability of the following free Radical.

(a) (b) (c) CBSE, Class 11, IIT JEE, Syllabus, Preparation, AIPMT, NCERT, Important, General Organic Chemistry, GOC, Principles and Techniques

Sol. (a) will be most stable due to hyper conjugation.

Between CBSE, Class 11, IIT JEE, Syllabus, Preparation, AIPMT, NCERT, Important, General Organic Chemistry, GOC, Principles and Techniques and CBSE, Class 11, IIT JEE, Syllabus, Preparation, AIPMT, NCERT, Important, General Organic Chemistry, GOC, Principles and Techniques

→ more s-character

→ more electronegative

→ e- density maximum

→ more repulsion

→ less stable

Ans. a > b > c

* More repulsion, less stability

 

Ex.2 Compare the stability of the following free Radicals

 

(a) CBSE, Class 11, IIT JEE, Syllabus, Preparation, AIPMT, NCERT, Important, General Organic Chemistry, GOC, Principles and Techniques 

(b) CBSE, Class 11, IIT JEE, Syllabus, Preparation, AIPMT, NCERT, Important, General Organic Chemistry, GOC, Principles and Techniques 

(c) CBSE, Class 11, IIT JEE, Syllabus, Preparation, AIPMT, NCERT, Important, General Organic Chemistry, GOC, Principles and Techniques

 

(Therefore this resonating structure is not possible)

 

Sol. b > a > c

 

Ex.3 (a) CBSE, Class 11, IIT JEE, Syllabus, Preparation, AIPMT, NCERT, Important, General Organic Chemistry, GOC, Principles and Techniques (b) CBSE, Class 11, IIT JEE, Syllabus, Preparation, AIPMT, NCERT, Important, General Organic Chemistry, GOC, Principles and Techniques (c) CBSE, Class 11, IIT JEE, Syllabus, Preparation, AIPMT, NCERT, Important, General Organic Chemistry, GOC, Principles and Techniques (d) CBSE, Class 11, IIT JEE, Syllabus, Preparation, AIPMT, NCERT, Important, General Organic Chemistry, GOC, Principles and Techniques

Compare the CBSE, Class 11, IIT JEE, Syllabus, Preparation, AIPMT, NCERT, Important, General Organic Chemistry, GOC, Principles and Techniques bond energy of the above compounds.

 

Sol. After forming free radical from the compound

CBSE, Class 11, IIT JEE, Syllabus, Preparation, AIPMT, NCERT, Important, General Organic Chemistry, GOC, Principles and Techniques             CBSE, Class 11, IIT JEE, Syllabus, Preparation, AIPMT, NCERT, Important, General Organic Chemistry, GOC, Principles and Techniques        CBSE, Class 11, IIT JEE, Syllabus, Preparation, AIPMT, NCERT, Important, General Organic Chemistry, GOC, Principles and Techniques                 CBSE, Class 11, IIT JEE, Syllabus, Preparation, AIPMT, NCERT, Important, General Organic Chemistry, GOC, Principles and Techniques

            (3°)                             (2°)                          (1°)                     methyl free radical

            (a)                              (b)                            (c)                             (d)

CBSE, Class 11, IIT JEE, Syllabus, Preparation, AIPMT, NCERT, Important, General Organic Chemistry, GOC, Principles and Techniques

CBSE, Class 11, IIT JEE, Syllabus, Preparation, AIPMT, NCERT, Important, General Organic Chemistry, GOC, Principles and Techniques

CBSE, Class 11, IIT JEE, Syllabus, Preparation, AIPMT, NCERT, Important, General Organic Chemistry, GOC, Principles and Techniques

 

Ex.4 Compare the potential energy of the following compounds (above compounds)

 

Sol. If compound after being in free Radical form is very stable (i.e., less energy) it mean it would have possessed more energy initially i.e. it potential energy will be most

a < b < c < d

* Potential energy ≈ stability of free Radical

 

Ex.5 Compare the bond energies of C - H bond

(at a, b, c, d, e and f position)

 

CBSE, Class 11, IIT JEE, Syllabus, Preparation, AIPMT, NCERT, Important, General Organic Chemistry, GOC, Principles and Techniques

e > b > a > f > c = d

Stability order of free Radical that might be formed after removal of H (Homolytically) from the given carbon.

→ e < b < a < f < c = d

(C - H bond energies)

In the above compound while comparing 2° benzylic allylic stability at two given position

 

CBSE, Class 11, IIT JEE, Syllabus, Preparation, AIPMT, NCERT, Important, General Organic Chemistry, GOC, Principles and Techniques

while drawing the resonating structure of the

 

CBSE, Class 11, IIT JEE, Syllabus, Preparation, AIPMT, NCERT, Important, General Organic Chemistry, GOC, Principles and Techniques

(Here inspite of Resonace three a(C - H) bond are available for no bond Resonance.

 

→ Therefore extra stable than CBSE, Class 11, IIT JEE, Syllabus, Preparation, AIPMT, NCERT, Important, General Organic Chemistry, GOC, Principles and Techniques which have only two a (C - H) bond for Hyper conjugation.

 

Therefore 2° benzylic allylic corresponding to structure (a) is more stable than that of structure (b)

 

Ex.6 Compare the stability of the following free Radical

 

CBSE, Class 11, IIT JEE, Syllabus, Preparation, AIPMT, NCERT, Important, General Organic Chemistry, GOC, Principles and Techniques CBSE, Class 11, IIT JEE, Syllabus, Preparation, AIPMT, NCERT, Important, General Organic Chemistry, GOC, Principles and Techniques CBSE, Class 11, IIT JEE, Syllabus, Preparation, AIPMT, NCERT, Important, General Organic Chemistry, GOC, Principles and Techniques  CBSE, Class 11, IIT JEE, Syllabus, Preparation, AIPMT, NCERT, Important, General Organic Chemistry, GOC, Principles and Techniques


Sol.  

CBSE, Class 11, IIT JEE, Syllabus, Preparation, AIPMT, NCERT, Important, General Organic Chemistry, GOC, Principles and Techniques

Ex.7 Compare the potential energy of CH3 - CH3, CH2 = CH2, CBSE, Class 11, IIT JEE, Syllabus, Preparation, AIPMT, NCERT, Important, General Organic Chemistry, GOC, Principles and Techniques

Sol. After making free Radical of the above compounds

CBSE, Class 11, IIT JEE, Syllabus, Preparation, AIPMT, NCERT, Important, General Organic Chemistry, GOC, Principles and TechniquesCBSE, Class 11, IIT JEE, Syllabus, Preparation, AIPMT, NCERT, Important, General Organic Chemistry, GOC, Principles and Techniques CBSE, Class 11, IIT JEE, Syllabus, Preparation, AIPMT, NCERT, Important, General Organic Chemistry, GOC, Principles and Techniques

CBSE, Class 11, IIT JEE, Syllabus, Preparation, AIPMT, NCERT, Important, General Organic Chemistry, GOC, Principles and Techniques

a > b > c

Carbocation

CBSE, Class 11, IIT JEE, Syllabus, Preparation, AIPMT, NCERT, Important, General Organic Chemistry, GOC, Principles and Techniques

Properties of Carbocation :

1. it is positivly charged species

2. it has sixtet of electrons i.e. diamanetic

3. it is formed by heterolysis

4. it is generally formed due to polar solvent

 

Structure :

(sp2) Triangular planer

 

Stability :

Its stability can be determined with the help of Inductive effect, Hyper conjugation and Resonance effect.

 

Stability of Carbocation :

CBSE, Class 11, IIT JEE, Syllabus, Preparation, AIPMT, NCERT, Important, General Organic Chemistry, GOC, Principles and Techniques CBSE, Class 11, IIT JEE, Syllabus, Preparation, AIPMT, NCERT, Important, General Organic Chemistry, GOC, Principles and Techniques

CBSE, Class 11, IIT JEE, Syllabus, Preparation, AIPMT, NCERT, Important, General Organic Chemistry, GOC, Principles and Techniques

<

Stability of carbocation can also be determined by Hyper conjugation (no bond Resonance)

CBSE, Class 11, IIT JEE, Syllabus, Preparation, AIPMT, NCERT, Important, General Organic Chemistry, GOC, Principles and Techniques

CBSE, Class 11, IIT JEE, Syllabus, Preparation, AIPMT, NCERT, Important, General Organic Chemistry, GOC, Principles and Techniques

9 α C - H bond                6αC - H bond             3α C - H bond

Allylic Carbocation

 

CBSE, Class 11, IIT JEE, Syllabus, Preparation, AIPMT, NCERT, Important, General Organic Chemistry, GOC, Principles and Techniques

Benzylic Carbocation

 

CBSE, Class 11, IIT JEE, Syllabus, Preparation, AIPMT, NCERT, Important, General Organic Chemistry, GOC, Principles and Techniques

 

 

Ex.8 Compare the stability of th following carbocation

 

(a) CBSE, Class 11, IIT JEE, Syllabus, Preparation, AIPMT, NCERT, Important, General Organic Chemistry, GOC, Principles and Techniques (b) CBSE, Class 11, IIT JEE, Syllabus, Preparation, AIPMT, NCERT, Important, General Organic Chemistry, GOC, Principles and Techniques (c) CBSE, Class 11, IIT JEE, Syllabus, Preparation, AIPMT, NCERT, Important, General Organic Chemistry, GOC, Principles and Techniques

→ more s charactor

→ more electronegativity

→ ve charge on more electronegative element is symbol of unstability.

a > b > c

 

Ex.9 Compare the stability of the following compounds

(a) CBSE, Class 11, IIT JEE, Syllabus, Preparation, AIPMT, NCERT, Important, General Organic Chemistry, GOC, Principles and Techniques (b) CBSE, Class 11, IIT JEE, Syllabus, Preparation, AIPMT, NCERT, Important, General Organic Chemistry, GOC, Principles and Techniques (c) CBSE, Class 11, IIT JEE, Syllabus, Preparation, AIPMT, NCERT, Important, General Organic Chemistry, GOC, Principles and Techniques (d) CBSE, Class 11, IIT JEE, Syllabus, Preparation, AIPMT, NCERT, Important, General Organic Chemistry, GOC, Principles and Techniques

 

Sol. d > c > b > a

F being most electron attracting group decreases the e- density from positively charged C-atom and decreases the charge density and makes the carbocation less stable.

 

Ex.10 Compare the stability of the following carbocation :

(a) CBSE, Class 11, IIT JEE, Syllabus, Preparation, AIPMT, NCERT, Important, General Organic Chemistry, GOC, Principles and Techniques (b) CBSE, Class 11, IIT JEE, Syllabus, Preparation, AIPMT, NCERT, Important, General Organic Chemistry, GOC, Principles and Techniques (c) CBSE, Class 11, IIT JEE, Syllabus, Preparation, AIPMT, NCERT, Important, General Organic Chemistry, GOC, Principles and Techniques (d) CBSE, Class 11, IIT JEE, Syllabus, Preparation, AIPMT, NCERT, Important, General Organic Chemistry, GOC, Principles and Techniques

 

Sol. due to greater size of Iodine, its L.P. will not be available for coordinate bond. Therefore L.P. would not stabilize corbocation.

In case of F due to its small size its lone pair can be easily coordinated to making it most stable

a > b > c > d (Stability)

* By coordination the carbocation completes its octet and structure having complete octet of its atom is supposed to be most stable.

CBSE, Class 11, IIT JEE, Syllabus, Preparation, AIPMT, NCERT, Important, General Organic Chemistry, GOC, Principles and Techniques

(Each atom has its full octet)

CBSE, Class 11, IIT JEE, Syllabus, Preparation, AIPMT, NCERT, Important, General Organic Chemistry, GOC, Principles and Techniques

Note : In Rasonating Structure of , at least one C gets sixtet of e- and hence less stable than coordinated compound.

 

Ex.11 Compare the stabilities of the following corbocation

(a) CBSE, Class 11, IIT JEE, Syllabus, Preparation, AIPMT, NCERT, Important, General Organic Chemistry, GOC, Principles and Techniques (b) CBSE, Class 11, IIT JEE, Syllabus, Preparation, AIPMT, NCERT, Important, General Organic Chemistry, GOC, Principles and Techniques (c) CBSE, Class 11, IIT JEE, Syllabus, Preparation, AIPMT, NCERT, Important, General Organic Chemistry, GOC, Principles and Techniques

 

Sol. N, O, F belongs to same period

→ In period Electronegativity of the atom is deciding factor

→ F being most electronegative, holds its e- pair very firmly.

→ Its L.P. will not be easily available for coordination.

→ Stability by it will be minimum.

a > b > c

 

Ex.12 Compare the following corbocation in order of their stability.

(a) CBSE, Class 11, IIT JEE, Syllabus, Preparation, AIPMT, NCERT, Important, General Organic Chemistry, GOC, Principles and Techniques (b) CBSE, Class 11, IIT JEE, Syllabus, Preparation, AIPMT, NCERT, Important, General Organic Chemistry, GOC, Principles and Techniques

 

Sol. If periods of atoms which have to donate their electrons for coordination (for stability) is different then atomic size will be deciding factor. The atom whose size is greater will be unable to make its e- pair available for coordination.

b > a

 

Ex.13 Compare the stability of the following compounds

(a) CBSE, Class 11, IIT JEE, Syllabus, Preparation, AIPMT, NCERT, Important, General Organic Chemistry, GOC, Principles and Techniques (b) CBSE, Class 11, IIT JEE, Syllabus, Preparation, AIPMT, NCERT, Important, General Organic Chemistry, GOC, Principles and Techniques (c) CBSE, Class 11, IIT JEE, Syllabus, Preparation, AIPMT, NCERT, Important, General Organic Chemistry, GOC, Principles and Techniques

 

Sol → more s-character

→ more e.n.

→ attracts e-

→ reduces, stability

b > a > c

Carbanion

1. it is a -ve charged species 2. it has octet of electrons. 3. diamagnetic

 
Strucutre :

if -ve charge is in Resonance then the hybridisation of carbanion is sp2(Triangular planer shape)

* If -ve charge is not in Resonance then the hybridisation of carbanion is sp3(pyramidal)

 

Stability :

Its stability can be determined with the help of

(1) Inductive effect

(2) Resonance effect

 

Ex.14 CBSE, Class 11, IIT JEE, Syllabus, Preparation, AIPMT, NCERT, Important, General Organic Chemistry, GOC, Principles and Techniques

a > b (stability)

 

* Stability of the carbanion is as follows

CBSE, Class 11, IIT JEE, Syllabus, Preparation, AIPMT, NCERT, Important, General Organic Chemistry, GOC, Principles and Techniques

 

Ex.15 Compare the stability of the following carbacation

 

(a) CBSE, Class 11, IIT JEE, Syllabus, Preparation, AIPMT, NCERT, Important, General Organic Chemistry, GOC, Principles and Techniques (b) CBSE, Class 11, IIT JEE, Syllabus, Preparation, AIPMT, NCERT, Important, General Organic Chemistry, GOC, Principles and Techniques (c) CBSE, Class 11, IIT JEE, Syllabus, Preparation, AIPMT, NCERT, Important, General Organic Chemistry, GOC, Principles and Techniques

 

Sol. c > a > b

 

Ex.16 Compare the stability of the following carbanion

 

(a) CBSE, Class 11, IIT JEE, Syllabus, Preparation, AIPMT, NCERT, Important, General Organic Chemistry, GOC, Principles and Techniques (b) CBSE, Class 11, IIT JEE, Syllabus, Preparation, AIPMT, NCERT, Important, General Organic Chemistry, GOC, Principles and Techniques (c) CBSE, Class 11, IIT JEE, Syllabus, Preparation, AIPMT, NCERT, Important, General Organic Chemistry, GOC, Principles and Techniques

→ become more stable

 

Sol. b > a > c

 

Ex.17 Compare the stability of the following carbanion

 

(a) CBSE, Class 11, IIT JEE, Syllabus, Preparation, AIPMT, NCERT, Important, General Organic Chemistry, GOC, Principles and Techniques (b) CBSE, Class 11, IIT JEE, Syllabus, Preparation, AIPMT, NCERT, Important, General Organic Chemistry, GOC, Principles and Techniques (c) CBSE, Class 11, IIT JEE, Syllabus, Preparation, AIPMT, NCERT, Important, General Organic Chemistry, GOC, Principles and Techniques

 

Sol. a > b > c

 

Ex.18 Arrange the following anion order of their stability

(a) Cl-, (b) Br- (c) F- (d) I(maximum size)

→ maximum dispersion of -ve charge

→ max stability

 

Sol. d > b > a > c

 

Ex.19 Compare the stability of the following

CBSE, Class 11, IIT JEE, Syllabus, Preparation, AIPMT, NCERT, Important, General Organic Chemistry, GOC, Principles and Techniques

Ex.20 Compare the acidic strength

(a) HCl (b) HF (C) HBr (D) HI

 

Sol. Acidic strength ≈ stability of the anion formed (conjugate base)

as we know I> Br- > Cl- > F-

→ H I > HBr > HCl > HF

 

Ex.21 Compare the Acidic strength of the following

(a) NH3 (b) pH3 (c) AsH3 (d) SbH3 (e) BiH3

 

Sol. Anion formed from there acids are

CBSE, Class 11, IIT JEE, Syllabus, Preparation, AIPMT, NCERT, Important, General Organic Chemistry, GOC, Principles and Techniques

→ acidic strength e > d > c > b > a

 

Ex.22 Compare the acidic strength of the following comounds

CH4, NH3, H2O, HF

 

Sol. The conjugate base of the given acid is as follows

CBSE, Class 11, IIT JEE, Syllabus, Preparation, AIPMT, NCERT, Important, General Organic Chemistry, GOC, Principles and Techniques

we have already proved that

CBSE, Class 11, IIT JEE, Syllabus, Preparation, AIPMT, NCERT, Important, General Organic Chemistry, GOC, Principles and Techniques > CBSE, Class 11, IIT JEE, Syllabus, Preparation, AIPMT, NCERT, Important, General Organic Chemistry, GOC, Principles and Techniques > CBSE, Class 11, IIT JEE, Syllabus, Preparation, AIPMT, NCERT, Important, General Organic Chemistry, GOC, Principles and Techniques > CBSE, Class 11, IIT JEE, Syllabus, Preparation, AIPMT, NCERT, Important, General Organic Chemistry, GOC, Principles and Techniques (Stability)

→ HF > H2O > NH3 > CH4 (acidic strength)

 

Ex.24 Compare the stability of the following carbanion.

 

(a) CBSE, Class 11, IIT JEE, Syllabus, Preparation, AIPMT, NCERT, Important, General Organic Chemistry, GOC, Principles and Techniques (b) CBSE, Class 11, IIT JEE, Syllabus, Preparation, AIPMT, NCERT, Important, General Organic Chemistry, GOC, Principles and Techniques (c) CBSE, Class 11, IIT JEE, Syllabus, Preparation, AIPMT, NCERT, Important, General Organic Chemistry, GOC, Principles and Techniques (d) CBSE, Class 11, IIT JEE, Syllabus, Preparation, AIPMT, NCERT, Important, General Organic Chemistry, GOC, Principles and Techniques

 

Sol. d > c > b > a

* M or -M is not distance dependent

 

Ex.25 compare the stability of the following carbocation

 

(a) CBSE, Class 11, IIT JEE, Syllabus, Preparation, AIPMT, NCERT, Important, General Organic Chemistry, GOC, Principles and Techniques (b) CBSE, Class 11, IIT JEE, Syllabus, Preparation, AIPMT, NCERT, Important, General Organic Chemistry, GOC, Principles and Techniques (c) CBSE, Class 11, IIT JEE, Syllabus, Preparation, AIPMT, NCERT, Important, General Organic Chemistry, GOC, Principles and Techniques (d) CBSE, Class 11, IIT JEE, Syllabus, Preparation, AIPMT, NCERT, Important, General Organic Chemistry, GOC, Principles and Techniques

Sol. a > b > c > d

 

Ex.26 Compare the stability of the following carbocation.

 

(a) CBSE, Class 11, IIT JEE, Syllabus, Preparation, AIPMT, NCERT, Important, General Organic Chemistry, GOC, Principles and Techniques (b) CBSE, Class 11, IIT JEE, Syllabus, Preparation, AIPMT, NCERT, Important, General Organic Chemistry, GOC, Principles and Techniques (c) CBSE, Class 11, IIT JEE, Syllabus, Preparation, AIPMT, NCERT, Important, General Organic Chemistry, GOC, Principles and Techniques (d) CBSE, Class 11, IIT JEE, Syllabus, Preparation, AIPMT, NCERT, Important, General Organic Chemistry, GOC, Principles and Techniques

Sol.  M (OH) > M (OCH3)

b > c > d > a

 

Ex.27 Compare the stability of the following carbocation

 

(a) CBSE, Class 11, IIT JEE, Syllabus, Preparation, AIPMT, NCERT, Important, General Organic Chemistry, GOC, Principles and Techniques (b) CBSE, Class 11, IIT JEE, Syllabus, Preparation, AIPMT, NCERT, Important, General Organic Chemistry, GOC, Principles and Techniques (c) CBSE, Class 11, IIT JEE, Syllabus, Preparation, AIPMT, NCERT, Important, General Organic Chemistry, GOC, Principles and Techniques

 

Sol. c > a > b

 

Ex.28 Compare order of dehydration of the following alcohols :

 

(a) CBSE, Class 11, IIT JEE, Syllabus, Preparation, AIPMT, NCERT, Important, General Organic Chemistry, GOC, Principles and Techniques (b) CBSE, Class 11, IIT JEE, Syllabus, Preparation, AIPMT, NCERT, Important, General Organic Chemistry, GOC, Principles and Techniques (c) C - C - C - OH

 

Sol. After formation of carbocation

 

CBSE, Class 11, IIT JEE, Syllabus, Preparation, AIPMT, NCERT, Important, General Organic Chemistry, GOC, Principles and Techniques CBSE, Class 11, IIT JEE, Syllabus, Preparation, AIPMT, NCERT, Important, General Organic Chemistry, GOC, Principles and TechniquesCBSE, Class 11, IIT JEE, Syllabus, Preparation, AIPMT, NCERT, Important, General Organic Chemistry, GOC, Principles and Techniques
 

Since 3° carbocation is most stable therefore it will show greatest tendency to lose water as after lose of water it comes in stable form.

Types of Reagent

1. Electrophilic reagent : All electron deficient atom or group of atoms is known as Electrophilic reagent, the electrophile attacks at the electron rich centre.

(a) all positively charged species are electrophile

H , NO2 , Br , Cl , etc.

 

(b) The compound in which the octet of central atom is not complete

BF3, AlCl3, ZnCl2, etc.

 

(c) all the compound in which the central atom can expand its octet

SnCl4, SiCl4, etc.

 

(d) all polarising functional group are electrophile as well as nuelophile

CBSE, Class 11, IIT JEE, Syllabus, Preparation, AIPMT, NCERT, Important, General Organic Chemistry, GOC, Principles and Techniques

 

Nucleophile :

All electron rich compounds are nucleophile and attack at the electron deficient centre.

(a) all negatively charqed species

H-, Cl-, NO2-, Br-, CH3- etc.

 

(b) the compound in which the central atom has lone pair of electron.

NH3, H2O, CBSE, Class 11, IIT JEE, Syllabus, Preparation, AIPMT, NCERT, Important, General Organic Chemistry, GOC, Principles and TechniquesCBSE, Class 11, IIT JEE, Syllabus, Preparation, AIPMT, NCERT, Important, General Organic Chemistry, GOC, Principles and Techniques etc.

 

(c) all organometallic compounds are nucleophile

R - Mgx, RLi, R2Cd

 

(d) The compound having p edensity, CH2 = CH2, etc.

 

Nucleophilicity :

The power of nucleophile is known as nucleophilicity .

→ The nucleophilicity of negative charge is greater than the nucleophilicity of lone pair

CBSE, Class 11, IIT JEE, Syllabus, Preparation, AIPMT, NCERT, Important, General Organic Chemistry, GOC, Principles and Techniques

CBSE, Class 11, IIT JEE, Syllabus, Preparation, AIPMT, NCERT, Important, General Organic Chemistry, GOC, Principles and Techniques

→ If lone pair or -ve charge is present on the different atom then less electronegativity, more will be the nucleophilicity.

CBSE, Class 11, IIT JEE, Syllabus, Preparation, AIPMT, NCERT, Important, General Organic Chemistry, GOC, Principles and TechniquesCBSE, Class 11, IIT JEE, Syllabus, Preparation, AIPMT, NCERT, Important, General Organic Chemistry, GOC, Principles and Techniques , CBSE, Class 11, IIT JEE, Syllabus, Preparation, AIPMT, NCERT, Important, General Organic Chemistry, GOC, Principles and TechniquesCBSE, Class 11, IIT JEE, Syllabus, Preparation, AIPMT, NCERT, Important, General Organic Chemistry, GOC, Principles and Techniques

 

Nucleophilicity CBSE, Class 11, IIT JEE, Syllabus, Preparation, AIPMT, NCERT, Important, General Organic Chemistry, GOC, Principles and Techniques

→ NH3 < PH3 < AsH3 < SbH3 < BiH(Nucleophilicity)

→ If -ve charge or lone pair of electron is present on the same atom then the less stable -ve charge will be the better nucleophile

CBSE, Class 11, IIT JEE, Syllabus, Preparation, AIPMT, NCERT, Important, General Organic Chemistry, GOC, Principles and Techniques

CBSE, Class 11, IIT JEE, Syllabus, Preparation, AIPMT, NCERT, Important, General Organic Chemistry, GOC, Principles and Techniques (nucleophilicity)
 

 

Activator & deactivator

 

The groups in benzene which show M effect or I effect Increases the electron density on benzene it means they activate the ring towards electrophile and known as activator.

 

CBSE, Class 11, IIT JEE, Syllabus, Preparation, AIPMT, NCERT, Important, General Organic Chemistry, GOC, Principles and TechniquesCBSE, Class 11, IIT JEE, Syllabus, Preparation, AIPMT, NCERT, Important, General Organic Chemistry, GOC, Principles and Techniques, -CH3, -OR, -NHMe, CBSE, Class 11, IIT JEE, Syllabus, Preparation, AIPMT, NCERT, Important, General Organic Chemistry, GOC, Principles and TechniquesCBSE, Class 11, IIT JEE, Syllabus, Preparation, AIPMT, NCERT, Important, General Organic Chemistry, GOC, Principles and Techniques

The groups which shows -M or -I effect (resultant) decreases the e- density from benzene ring. It means they deactivate the ring towards electrophile

 

CBSE, Class 11, IIT JEE, Syllabus, Preparation, AIPMT, NCERT, Important, General Organic Chemistry, GOC, Principles and TechniquesCBSE, Class 11, IIT JEE, Syllabus, Preparation, AIPMT, NCERT, Important, General Organic Chemistry, GOC, Principles and TechniquesCBSE, Class 11, IIT JEE, Syllabus, Preparation, AIPMT, NCERT, Important, General Organic Chemistry, GOC, Principles and TechniquesCBSE, Class 11, IIT JEE, Syllabus, Preparation, AIPMT, NCERT, Important, General Organic Chemistry, GOC, Principles and TechniquesCBSE, Class 11, IIT JEE, Syllabus, Preparation, AIPMT, NCERT, Important, General Organic Chemistry, GOC, Principles and Techniques

 

CBSE, Class 11, IIT JEE, Syllabus, Preparation, AIPMT, NCERT, Important, General Organic Chemistry, GOC, Principles and TechniquesCBSE, Class 11, IIT JEE, Syllabus, Preparation, AIPMT, NCERT, Important, General Organic Chemistry, GOC, Principles and TechniquesCBSE, Class 11, IIT JEE, Syllabus, Preparation, AIPMT, NCERT, Important, General Organic Chemistry, GOC, Principles and Techniques etc.

Ortho, Para & meta director

The groups which shows +I (resultant) or +M effect then negative charge is developed at the ortho & para position. Therefore electrophile attack at the ortho & para position and the groups are known as OP director.

 

CBSE, Class 11, IIT JEE, Syllabus, Preparation, AIPMT, NCERT, Important, General Organic Chemistry, GOC, Principles and Techniques

The groups which shows -M effect or - I effect (resultant) then ve charge is developed at the ortho & para position this means electron density is minimum at the ortho & para positions and electronphile will attack at the meta position the groups are known as meta director.

 

CBSE, Class 11, IIT JEE, Syllabus, Preparation, AIPMT, NCERT, Important, General Organic Chemistry, GOC, Principles and TechniquesCBSE, Class 11, IIT JEE, Syllabus, Preparation, AIPMT, NCERT, Important, General Organic Chemistry, GOC, Principles and Techniques , CBSE, Class 11, IIT JEE, Syllabus, Preparation, AIPMT, NCERT, Important, General Organic Chemistry, GOC, Principles and TechniquesCBSE, Class 11, IIT JEE, Syllabus, Preparation, AIPMT, NCERT, Important, General Organic Chemistry, GOC, Principles and TechniquesCBSE, Class 11, IIT JEE, Syllabus, Preparation, AIPMT, NCERT, Important, General Organic Chemistry, GOC, Principles and Techniques,

 

CBSE, Class 11, IIT JEE, Syllabus, Preparation, AIPMT, NCERT, Important, General Organic Chemistry, GOC, Principles and TechniquesCBSE, Class 11, IIT JEE, Syllabus, Preparation, AIPMT, NCERT, Important, General Organic Chemistry, GOC, Principles and TechniquesCBSE, Class 11, IIT JEE, Syllabus, Preparation, AIPMT, NCERT, Important, General Organic Chemistry, GOC, Principles and Techniques

 

CBSE, Class 11, IIT JEE, Syllabus, Preparation, AIPMT, NCERT, Important, General Organic Chemistry, GOC, Principles and Techniques

Heat of hydrogenation(H.O.H)

It is the amount of energy realeased when one mole of H2 is added to any unsaturated system.

CH2 = CH2 + H2 → CH3 - CH3  energy

HOH is exothermic process DH = - ve 

*HOH ≈ No. of p-bonds in compound

If no. of p-bonds is same then

*HOH ≈ CBSE, Class 11, IIT JEE, Syllabus, Preparation, AIPMT, NCERT, Important, General Organic Chemistry, GOC, Principles and Techniques

In case of alkene

**CBSE, Class 11, IIT JEE, Syllabus, Preparation, AIPMT, NCERT, Important, General Organic Chemistry, GOC, Principles and Techniques

 

Ex. CBSE, Class 11, IIT JEE, Syllabus, Preparation, AIPMT, NCERT, Important, General Organic Chemistry, GOC, Principles and Techniques

CBSE, Class 11, IIT JEE, Syllabus, Preparation, AIPMT, NCERT, Important, General Organic Chemistry, GOC, Principles and Techniques

CBSE, Class 11, IIT JEE, Syllabus, Preparation, AIPMT, NCERT, Important, General Organic Chemistry, GOC, Principles and Techniques

b > c > a

 

Energy

 

CBSE, Class 11, IIT JEE, Syllabus, Preparation, AIPMT, NCERT, Important, General Organic Chemistry, GOC, Principles and Techniques


 

Some examples of Arromatic(A), Non-arromatic(NA) and Anti-arromatic(AA)

 

(1) CBSE, Class 11, IIT JEE, Syllabus, Preparation, AIPMT, NCERT, Important, General Organic Chemistry, GOC, Principles and Techniques (A) (2) CBSE, Class 11, IIT JEE, Syllabus, Preparation, AIPMT, NCERT, Important, General Organic Chemistry, GOC, Principles and Techniques (AA) (3) CBSE, Class 11, IIT JEE, Syllabus, Preparation, AIPMT, NCERT, Important, General Organic Chemistry, GOC, Principles and Techniques (AA)

 

(4) CBSE, Class 11, IIT JEE, Syllabus, Preparation, AIPMT, NCERT, Important, General Organic Chemistry, GOC, Principles and Techniques (NA) (5) CBSE, Class 11, IIT JEE, Syllabus, Preparation, AIPMT, NCERT, Important, General Organic Chemistry, GOC, Principles and Techniques (AA) (6) CBSE, Class 11, IIT JEE, Syllabus, Preparation, AIPMT, NCERT, Important, General Organic Chemistry, GOC, Principles and Techniques (A)

 

(7) CBSE, Class 11, IIT JEE, Syllabus, Preparation, AIPMT, NCERT, Important, General Organic Chemistry, GOC, Principles and Techniques (A) (8) CBSE, Class 11, IIT JEE, Syllabus, Preparation, AIPMT, NCERT, Important, General Organic Chemistry, GOC, Principles and Techniques (A)

 

(9) CBSE, Class 11, IIT JEE, Syllabus, Preparation, AIPMT, NCERT, Important, General Organic Chemistry, GOC, Principles and Techniques (A) (2pe) (10) CBSE, Class 11, IIT JEE, Syllabus, Preparation, AIPMT, NCERT, Important, General Organic Chemistry, GOC, Principles and Techniques (A) (6pe) (11) CBSE, Class 11, IIT JEE, Syllabus, Preparation, AIPMT, NCERT, Important, General Organic Chemistry, GOC, Principles and Techniques (NA)

 

(12) CBSE, Class 11, IIT JEE, Syllabus, Preparation, AIPMT, NCERT, Important, General Organic Chemistry, GOC, Principles and Techniques (NA) (13) CBSE, Class 11, IIT JEE, Syllabus, Preparation, AIPMT, NCERT, Important, General Organic Chemistry, GOC, Principles and Techniques (AA) (4pe) (14) CBSE, Class 11, IIT JEE, Syllabus, Preparation, AIPMT, NCERT, Important, General Organic Chemistry, GOC, Principles and Techniques (A)

 

(15) CBSE, Class 11, IIT JEE, Syllabus, Preparation, AIPMT, NCERT, Important, General Organic Chemistry, GOC, Principles and Techniques (NA) (16) CBSE, Class 11, IIT JEE, Syllabus, Preparation, AIPMT, NCERT, Important, General Organic Chemistry, GOC, Principles and Techniques (A) (17) CBSE, Class 11, IIT JEE, Syllabus, Preparation, AIPMT, NCERT, Important, General Organic Chemistry, GOC, Principles and Techniques (A)

 

(18) CBSE, Class 11, IIT JEE, Syllabus, Preparation, AIPMT, NCERT, Important, General Organic Chemistry, GOC, Principles and Techniques (AA) (19) CBSE, Class 11, IIT JEE, Syllabus, Preparation, AIPMT, NCERT, Important, General Organic Chemistry, GOC, Principles and Techniques (A)

 

(20) CBSE, Class 11, IIT JEE, Syllabus, Preparation, AIPMT, NCERT, Important, General Organic Chemistry, GOC, Principles and Techniques (AA) (21) CBSE, Class 11, IIT JEE, Syllabus, Preparation, AIPMT, NCERT, Important, General Organic Chemistry, GOC, Principles and Techniques (AA)

 

(22) CBSE, Class 11, IIT JEE, Syllabus, Preparation, AIPMT, NCERT, Important, General Organic Chemistry, GOC, Principles and Techniques (AA) (23) CBSE, Class 11, IIT JEE, Syllabus, Preparation, AIPMT, NCERT, Important, General Organic Chemistry, GOC, Principles and Techniques (A) (24) CBSE, Class 11, IIT JEE, Syllabus, Preparation, AIPMT, NCERT, Important, General Organic Chemistry, GOC, Principles and Techniques (A)

 

(25) CBSE, Class 11, IIT JEE, Syllabus, Preparation, AIPMT, NCERT, Important, General Organic Chemistry, GOC, Principles and Techniques (A) (26) CBSE, Class 11, IIT JEE, Syllabus, Preparation, AIPMT, NCERT, Important, General Organic Chemistry, GOC, Principles and Techniques (A) (27) CBSE, Class 11, IIT JEE, Syllabus, Preparation, AIPMT, NCERT, Important, General Organic Chemistry, GOC, Principles and Techniques (NA)

 

Acidity & Basicity

HA CBSE, Class 11, IIT JEE, Syllabus, Preparation, AIPMT, NCERT, Important, General Organic Chemistry, GOC, Principles and Techniques CBSE, Class 11, IIT JEE, Syllabus, Preparation, AIPMT, NCERT, Important, General Organic Chemistry, GOC, Principles and Techniques

Acid Conjugate base

 

Note : More stable the conjugate base (i.e., ), more will be the forward reaction which results more acidic nature of HA.

 

Ex.1 Compare the acidic strength of the following acids.

(a) C - C - C - COOH (b) C = C - C - COOH (c) CBSE, Class 11, IIT JEE, Syllabus, Preparation, AIPMT, NCERT, Important, General Organic Chemistry, GOC, Principles and Techniques

 

Sol. The acid whose conjugate base is most stable will be more acidic.

After forming conjugate base from the above acids.

(a) CBSE, Class 11, IIT JEE, Syllabus, Preparation, AIPMT, NCERT, Important, General Organic Chemistry, GOC, Principles and Techniques (b) CBSE, Class 11, IIT JEE, Syllabus, Preparation, AIPMT, NCERT, Important, General Organic Chemistry, GOC, Principles and Techniques (c) CBSE, Class 11, IIT JEE, Syllabus, Preparation, AIPMT, NCERT, Important, General Organic Chemistry, GOC, Principles and Techniques

It is clear that sp hybridised carbon being most electronegative will decrease e-density from O most effectively making the conjugate base most stable.

c > b > a (acidic strength)

 

Ex.2 Which is more acidic between the two

(a) CHF3 (b) CHCl3

 

Sol. CHF3 > CHCl3

If we consider the -I effect of F and Cl But this effect will not be considered here

After the removal of proton

(a) CBSE, Class 11, IIT JEE, Syllabus, Preparation, AIPMT, NCERT, Important, General Organic Chemistry, GOC, Principles and Techniques (b) CBSE, Class 11, IIT JEE, Syllabus, Preparation, AIPMT, NCERT, Important, General Organic Chemistry, GOC, Principles and Techniques

(vacant d-orbital available where C will coordinate its electron) (pπ - dπ bonding)

→ a < b (acidic strength)

 

Ex.3 Compare the acidic strength of the following

(a) CHF3 (b) CHCl3

(c) CHBr3 (pπ - dπ bonding in Br is not as much as effective as in Cl due to large size of Br)

 

Sol. CHCl3 > CHBr3 > CHF3

 

Ex.4 Compare the acidic strength of the following

(a) CH (CN)3 (b) CH (NO2)3 (c) CHCl3

Sol. After removing H

CBSE, Class 11, IIT JEE, Syllabus, Preparation, AIPMT, NCERT, Important, General Organic Chemistry, GOC, Principles and Techniques (Resonance) In its resonating structure, -ve charge will be on N)

CBSE, Class 11, IIT JEE, Syllabus, Preparation, AIPMT, NCERT, Important, General Organic Chemistry, GOC, Principles and Techniques (Resonance) (- In its resonating structure -ve charge will reside on O
 

→ more effective Resonance

CBSE, Class 11, IIT JEE, Syllabus, Preparation, AIPMT, NCERT, Important, General Organic Chemistry, GOC, Principles and Techniques (pp - dp)

b > a > c

* -ve charge on O is more

stable than -ve charge on N as O is more electronegative than N.

* Pπ - dπ Resonance < Actual Resonance

 

Ex.5 Compare the acidic strength of the following

(a) CBSE, Class 11, IIT JEE, Syllabus, Preparation, AIPMT, NCERT, Important, General Organic Chemistry, GOC, Principles and Techniques (b) CH2 = CH2 (c) CH3 - CH3

 

Sol. CBSE, Class 11, IIT JEE, Syllabus, Preparation, AIPMT, NCERT, Important, General Organic Chemistry, GOC, Principles and Techniques

(Stability of the conjugate base)

→ a > b > c (acidic strength)

 

Ex.6 Compare the acidic strength of the following :

CBSE, Class 11, IIT JEE, Syllabus, Preparation, AIPMT, NCERT, Important, General Organic Chemistry, GOC, Principles and Techniques

Sol. d > c > b > a

 

Ex.7 Compare the acidic strength of the following :

(a) H2O (b) H2S (c) H2Se (d) H2Te

Sol. Conjugate base is in an stability order

CBSE, Class 11, IIT JEE, Syllabus, Preparation, AIPMT, NCERT, Important, General Organic Chemistry, GOC, Principles and Techniques

→ H2O < H2S < H2Se < H2Te (acidic strength)

 

Ex.8 Compare the acidic strength of the following compound

 

(a) CBSE, Class 11, IIT JEE, Syllabus, Preparation, AIPMT, NCERT, Important, General Organic Chemistry, GOC, Principles and Techniques (b) CBSE, Class 11, IIT JEE, Syllabus, Preparation, AIPMT, NCERT, Important, General Organic Chemistry, GOC, Principles and Techniques (c) CBSE, Class 11, IIT JEE, Syllabus, Preparation, AIPMT, NCERT, Important, General Organic Chemistry, GOC, Principles and Techniques (d) CBSE, Class 11, IIT JEE, Syllabus, Preparation, AIPMT, NCERT, Important, General Organic Chemistry, GOC, Principles and Techniques


 

Sol. After forming conjugate base of the above

 

CBSE, Class 11, IIT JEE, Syllabus, Preparation, AIPMT, NCERT, Important, General Organic Chemistry, GOC, Principles and Techniques CBSE, Class 11, IIT JEE, Syllabus, Preparation, AIPMT, NCERT, Important, General Organic Chemistry, GOC, Principles and Techniques CBSE, Class 11, IIT JEE, Syllabus, Preparation, AIPMT, NCERT, Important, General Organic Chemistry, GOC, Principles and Techniques

c > d > b > a

 

Ex.9 Compare the reactivity of the following compounds with 1 mole of AgNO3

 

(a) CBSE, Class 11, IIT JEE, Syllabus, Preparation, AIPMT, NCERT, Important, General Organic Chemistry, GOC, Principles and Techniques (b) CBSE, Class 11, IIT JEE, Syllabus, Preparation, AIPMT, NCERT, Important, General Organic Chemistry, GOC, Principles and Techniques (c) CBSE, Class 11, IIT JEE, Syllabus, Preparation, AIPMT, NCERT, Important, General Organic Chemistry, GOC, Principles and Techniques (d) CBSE, Class 11, IIT JEE, Syllabus, Preparation, AIPMT, NCERT, Important, General Organic Chemistry, GOC, Principles and Techniques

 

Sol. After removing Cl-

 

CBSE, Class 11, IIT JEE, Syllabus, Preparation, AIPMT, NCERT, Important, General Organic Chemistry, GOC, Principles and Techniques CBSE, Class 11, IIT JEE, Syllabus, Preparation, AIPMT, NCERT, Important, General Organic Chemistry, GOC, Principles and Techniques

( ve charge is not on resonance least stable)

CBSE, Class 11, IIT JEE, Syllabus, Preparation, AIPMT, NCERT, Important, General Organic Chemistry, GOC, Principles and Techniques

(most stable as L.P. of Cl will be coordinated to ve charge completing the octet of each atom and making the corbocation most stable)

CBSE, Class 11, IIT JEE, Syllabus, Preparation, AIPMT, NCERT, Important, General Organic Chemistry, GOC, Principles and Techniques

extent of ve charge decreases stability increases

 

Ex.10 Compare the acidic strength

(a) CBSE, Class 11, IIT JEE, Syllabus, Preparation, AIPMT, NCERT, Important, General Organic Chemistry, GOC, Principles and Techniques (b) CBSE, Class 11, IIT JEE, Syllabus, Preparation, AIPMT, NCERT, Important, General Organic Chemistry, GOC, Principles and Techniques (c) CBSE, Class 11, IIT JEE, Syllabus, Preparation, AIPMT, NCERT, Important, General Organic Chemistry, GOC, Principles and Techniques (d) CBSE, Class 11, IIT JEE, Syllabus, Preparation, AIPMT, NCERT, Important, General Organic Chemistry, GOC, Principles and Techniques

 

Sol. After making conjugate base

 

CBSE, Class 11, IIT JEE, Syllabus, Preparation, AIPMT, NCERT, Important, General Organic Chemistry, GOC, Principles and Techniques CBSE, Class 11, IIT JEE, Syllabus, Preparation, AIPMT, NCERT, Important, General Organic Chemistry, GOC, Principles and Techniques CBSE, Class 11, IIT JEE, Syllabus, Preparation, AIPMT, NCERT, Important, General Organic Chemistry, GOC, Principles and Techniques CBSE, Class 11, IIT JEE, Syllabus, Preparation, AIPMT, NCERT, Important, General Organic Chemistry, GOC, Principles and Techniques

c > b > a > d

 

BASIC STRENGTH

 

CBSE, Class 11, IIT JEE, Syllabus, Preparation, AIPMT, NCERT, Important, General Organic Chemistry, GOC, Principles and Techniques

 

Basic strength directly depends on the availibility of lone pair for H

 

Ex.11 Compare the basic strength of following

 

Sol. CBSE, Class 11, IIT JEE, Syllabus, Preparation, AIPMT, NCERT, Important, General Organic Chemistry, GOC, Principles and Techniques

 

Ex.12 Compare the basic strength of the following

 

(a) CBSE, Class 11, IIT JEE, Syllabus, Preparation, AIPMT, NCERT, Important, General Organic Chemistry, GOC, Principles and Techniques (b) CBSE, Class 11, IIT JEE, Syllabus, Preparation, AIPMT, NCERT, Important, General Organic Chemistry, GOC, Principles and Techniques (c) CBSE, Class 11, IIT JEE, Syllabus, Preparation, AIPMT, NCERT, Important, General Organic Chemistry, GOC, Principles and Techniques (d) CBSE, Class 11, IIT JEE, Syllabus, Preparation, AIPMT, NCERT, Important, General Organic Chemistry, GOC, Principles and Techniques

 

Sol. CBSE, Class 11, IIT JEE, Syllabus, Preparation, AIPMT, NCERT, Important, General Organic Chemistry, GOC, Principles and TechniquesCBSE, Class 11, IIT JEE, Syllabus, Preparation, AIPMT, NCERT, Important, General Organic Chemistry, GOC, Principles and TechniquesCBSE, Class 11, IIT JEE, Syllabus, Preparation, AIPMT, NCERT, Important, General Organic Chemistry, GOC, Principles and TechniquesCBSE, Class 11, IIT JEE, Syllabus, Preparation, AIPMT, NCERT, Important, General Organic Chemistry, GOC, Principles and Techniques

 

CH4 < NH3 < H2O < HF

(acidic strength)

CBSE, Class 11, IIT JEE, Syllabus, Preparation, AIPMT, NCERT, Important, General Organic Chemistry, GOC, Principles and Techniques
 

* Strong Acids have weak conjugate base.

CBSE, Class 11, IIT JEE, Syllabus, Preparation, AIPMT, NCERT, Important, General Organic Chemistry, GOC, Principles and Techniques

* For the same period

less electronegativity, more nucleophilicity as more electronegative element has less tendencey to give its electron pair.

 

Ex.13 Which is more basic CBSE, Class 11, IIT JEE, Syllabus, Preparation, AIPMT, NCERT, Important, General Organic Chemistry, GOC, Principles and Techniques or CBSE, Class 11, IIT JEE, Syllabus, Preparation, AIPMT, NCERT, Important, General Organic Chemistry, GOC, Principles and Techniques?

 

Sol. CBSE, Class 11, IIT JEE, Syllabus, Preparation, AIPMT, NCERT, Important, General Organic Chemistry, GOC, Principles and Techniques CBSE, Class 11, IIT JEE, Syllabus, Preparation, AIPMT, NCERT, Important, General Organic Chemistry, GOC, Principles and Techniques

Which is more basic NH3 or

forming conjugate acid

CBSE, Class 11, IIT JEE, Syllabus, Preparation, AIPMT, NCERT, Important, General Organic Chemistry, GOC, Principles and Techniques

 CBSE, Class 11, IIT JEE, Syllabus, Preparation, AIPMT, NCERT, Important, General Organic Chemistry, GOC, Principles and Techniques

 

Comparison of Basicity of Ammonia and Alkyl Amines :

 

Ex.14 Compare the basic strength of the following NH3, CH3NH2, (CH3)2NH, (CH3)3N

Factors which affect the basicity of Amines

(1) steric effects (2) Inductive effect (3) solvation effect.

The base whose conjugate acid is more stable will be more acidic

forming conjugate acid of the given base

, , ,

Stability order of conjugate acid

(due to I effect)

Therefore basic strength

(CH3)3N > (CH3)2NH > CH3NH2 > NH3

(vapor phase or gaseous is phase or in Non polar solvent)

In Aqueous solution or in polar solvent

(CH3)2NH > CH3NH2 > (CH3)3N > NH3

In aqueous solution, the conjugate acids form H-bonds (intermolecular) with water molecules and stabilise them selves conjugat acid of 1° amine which has largest no. of H-atoms form maximum H-bond with water and is most stable. Consequently 1° amine is most basic.

Due to steric effect 1° amine is considered more basic as compared to 3° amine as lone pair is hindered by three alkyl group and less available for H .

Considering the combined effect of the three (Inductive, solvation and steric effect) we can conclude that

2° > 1° > 3° > NH3

Aromatic amines are least basic as their lone pair is in conjugation and less avaibable for protonation.

 

Ex.15 Compare the basic strength of the following

(a)

 CBSE, Class 11, IIT JEE, Syllabus, Preparation, AIPMT, NCERT, Important, General Organic Chemistry, GOC, Principles and Techniques (b) CBSE, Class 11, IIT JEE, Syllabus, Preparation, AIPMT, NCERT, Important, General Organic Chemistry, GOC, Principles and Techniques (c) CBSE, Class 11, IIT JEE, Syllabus, Preparation, AIPMT, NCERT, Important, General Organic Chemistry, GOC, Principles and Techniques

(if L.P. will be participate in Resonance, then molecule becomes aromatic)

Hence L.P. will have a greater tendency to take part in Resonance and will be less available for H

This compound will be least basic.

 

Ex.16 Compare the basic strength of the following

 

CBSE, Class 11, IIT JEE, Syllabus, Preparation, AIPMT, NCERT, Important, General Organic Chemistry, GOC, Principles and Techniques

Sol. sp hybridised carbon being most electronegative will attract e- density from nitrogen and will make it less available for H . Hence basicity decreases.

c > b > a

 

Ex.17 Compare the basic strength

 

(a) CBSE, Class 11, IIT JEE, Syllabus, Preparation, AIPMT, NCERT, Important, General Organic Chemistry, GOC, Principles and Techniques (b) CBSE, Class 11, IIT JEE, Syllabus, Preparation, AIPMT, NCERT, Important, General Organic Chemistry, GOC, Principles and Techniques

a < b

 

Ex.18 Compare the basicity of the following compounds

 

(a) CH3 - CH2 - CH = CH - CBSE, Class 11, IIT JEE, Syllabus, Preparation, AIPMT, NCERT, Important, General Organic Chemistry, GOC, Principles and Techniques (b) CBSE, Class 11, IIT JEE, Syllabus, Preparation, AIPMT, NCERT, Important, General Organic Chemistry, GOC, Principles and Techniques

 

(c) CBSE, Class 11, IIT JEE, Syllabus, Preparation, AIPMT, NCERT, Important, General Organic Chemistry, GOC, Principles and Techniques (d) CBSE, Class 11, IIT JEE, Syllabus, Preparation, AIPMT, NCERT, Important, General Organic Chemistry, GOC, Principles and Techniques

 

Sol. In part (a) the lone pair of nitrogen in Resonance therefore will be less available for H  making it least basic among all followed by sp, sp2, sp3 hybridised carbon atoms.

b > c > d > a

 

Ex.19 Compare the basicity of the numbered nitrogen atoms.

 

CBSE, Class 11, IIT JEE, Syllabus, Preparation, AIPMT, NCERT, Important, General Organic Chemistry, GOC, Principles and Techniques

 

Sol. The planerity of ring will be destroyed if L.P. will take part in Resonance.

Basicity order of Nitrogen follows the order

N(sp3) > N(sp2) > N(sp)

CBSE, Class 11, IIT JEE, Syllabus, Preparation, AIPMT, NCERT, Important, General Organic Chemistry, GOC, Principles and Techniques

(In this sp2, l.p. is in Resonance

with ring hence will be less

available for H  therefore it will

be least basic)

 

Ex.20 Compare the basic strength of the following

 

(a) CBSE, Class 11, IIT JEE, Syllabus, Preparation, AIPMT, NCERT, Important, General Organic Chemistry, GOC, Principles and Techniques (b) CBSE, Class 11, IIT JEE, Syllabus, Preparation, AIPMT, NCERT, Important, General Organic Chemistry, GOC, Principles and Techniques (c) CBSE, Class 11, IIT JEE, Syllabus, Preparation, AIPMT, NCERT, Important, General Organic Chemistry, GOC, Principles and Techniques

 

Sol. In part (a) NO2 is at p-position Hence will attract e- density by both -M and -I

In part (b) NO2 is at m-position hence will attract e- density by -I only

There is no such effect in part (c)

→ Availibity of L.P. on nitrogen in part (a) is minimum followed by b and then c.

c > b > a

 

Ortho effect :

The ortho substituted aniline are less basic than aniline and ortho substituted benzoic acids are more acidic than benzoic acid.

Ortho effect is valid only for benzoic acid and aniline.

e.g. CBSE, Class 11, IIT JEE, Syllabus, Preparation, AIPMT, NCERT, Important, General Organic Chemistry, GOC, Principles and Techniques Also CBSE, Class 11, IIT JEE, Syllabus, Preparation, AIPMT, NCERT, Important, General Organic Chemistry, GOC, Principles and Techniques

 

 

Ex.21 Compare the basic strength of the following :

 

(a) CBSE, Class 11, IIT JEE, Syllabus, Preparation, AIPMT, NCERT, Important, General Organic Chemistry, GOC, Principles and Techniques (b) CBSE, Class 11, IIT JEE, Syllabus, Preparation, AIPMT, NCERT, Important, General Organic Chemistry, GOC, Principles and Techniques (c) CBSE, Class 11, IIT JEE, Syllabus, Preparation, AIPMT, NCERT, Important, General Organic Chemistry, GOC, Principles and Techniques (d) CBSE, Class 11, IIT JEE, Syllabus, Preparation, AIPMT, NCERT, Important, General Organic Chemistry, GOC, Principles and Techniques

 

Sol. a > b > d > c

* Due to ortho effect d > c

if c is less basic than d then it will be certainly less basic than b as b is more basic than d.

 

Ex.22 Compare the basic strength of the following :

 

(a) CBSE, Class 11, IIT JEE, Syllabus, Preparation, AIPMT, NCERT, Important, General Organic Chemistry, GOC, Principles and Techniques (b) CBSE, Class 11, IIT JEE, Syllabus, Preparation, AIPMT, NCERT, Important, General Organic Chemistry, GOC, Principles and Techniques (c) CBSE, Class 11, IIT JEE, Syllabus, Preparation, AIPMT, NCERT, Important, General Organic Chemistry, GOC, Principles and Techniques (d) CBSE, Class 11, IIT JEE, Syllabus, Preparation, AIPMT, NCERT, Important, General Organic Chemistry, GOC, Principles and Techniques

Sol. Do your selves

 

S.I.P → Steric inhibition of Protonation (ortho effect)

 

CBSE, Class 11, IIT JEE, Syllabus, Preparation, AIPMT, NCERT, Important, General Organic Chemistry, GOC, Principles and Techniques

after protonation, repulsion increases therefore ortho substituted aniline is less basic than aniline

S.I.R → Steric inhibition of resonance

(a) CBSE, Class 11, IIT JEE, Syllabus, Preparation, AIPMT, NCERT, Important, General Organic Chemistry, GOC, Principles and Techniques (b) CBSE, Class 11, IIT JEE, Syllabus, Preparation, AIPMT, NCERT, Important, General Organic Chemistry, GOC, Principles and Techniques

The document General Organic Chemistry, Class 11, Chemistry Detailed Chapter Notes - JEE is a part of JEE category.
All you need of JEE at this link: JEE

FAQs on General Organic Chemistry, Class 11, Chemistry Detailed Chapter Notes - JEE

1. What is the difference between general chemistry and organic chemistry?
Ans. General chemistry deals with the study of all chemical substances, whereas organic chemistry deals with the study of organic substances that contain carbon atoms. Organic chemistry is more focused on the study of hydrocarbons and their derivatives.
2. What are the principles of organic chemistry?
Ans. Organic chemistry is based on the principles of carbon bonding, stereochemistry, and reaction mechanisms. The bonding of carbon plays a crucial role in the formation of organic compounds, and the study of stereochemistry helps to understand the three-dimensional arrangement of atoms in molecules. Reaction mechanisms explain how organic molecules undergo chemical reactions.
3. What is the importance of organic chemistry in daily life?
Ans. Organic chemistry plays an essential role in our daily lives. It is used in the production of medicines, plastics, fibers, and other materials that are used in everyday life. It is also used in the food industry, where organic chemistry is used to enhance the flavor, aroma, and color of food products.
4. What are the different types of organic compounds?
Ans. Organic compounds can be broadly classified into four categories, namely hydrocarbons, carbohydrates, proteins, and lipids. Hydrocarbons are compounds that contain only carbon and hydrogen atoms. Carbohydrates, proteins, and lipids are complex organic compounds that are essential for life.
5. What is the role of organic chemistry in the pharmaceutical industry?
Ans. Organic chemistry is the backbone of the pharmaceutical industry. It is used in the design and synthesis of new drugs, and the study of their structure and properties. Organic chemistry is used to understand the mechanism of action of drugs and to develop more effective and safer drugs. It is also used in the production of bulk drugs and drug intermediates.
Download as PDF

Top Courses for JEE

Related Searches

ppt

,

Viva Questions

,

Previous Year Questions with Solutions

,

Semester Notes

,

past year papers

,

Class 11

,

Chemistry Detailed Chapter Notes - JEE

,

Free

,

Important questions

,

practice quizzes

,

study material

,

General Organic Chemistry

,

shortcuts and tricks

,

Class 11

,

Chemistry Detailed Chapter Notes - JEE

,

Sample Paper

,

video lectures

,

pdf

,

mock tests for examination

,

Objective type Questions

,

Chemistry Detailed Chapter Notes - JEE

,

General Organic Chemistry

,

Summary

,

General Organic Chemistry

,

Class 11

,

Extra Questions

,

Exam

,

MCQs

;