Chemistry Exam  >  Chemistry Notes  >  Physical Chemistry  >  First Law of Thermodynamics & Heat Capacities of a System

First Law of Thermodynamics & Heat Capacities of a System | Physical Chemistry PDF Download

First Law of Thermodynamics “The first law of thermodynamics states that energy can neither be created nor destroyed, although it can be transformed from one form to another.” This is first law of thermodynamics.
 

Internal Energy (U): Every substance is associated with definite amount of energy which depends upon its chemical nature as well as upon its temperature, pressure and volume. This energy is known as internal energy.
 

Relation between first law & internal energy: Let us a system is subjected to change of pressure and vo lume. Let the init ial state is A and final state is B represented and UA & UB be its init ial & final energy.
Then                 ΔU = UB - UA

Suppose on changing the system form A to B absorbs heat q from surroundings and also performs some work equal to ω. The absorption of heat raise the energy of system.
Then change in internal energy;
              ΔU = UB - UA = q - ω

If in a given process, the quantity of heat transferred fro m the surroundings to the system is q and work done in process is w , then change in internal energy is                                                
ΔU = q + ω ,

This is the statement of first law of thermodynamics.  

i.e. when work done by system then expansion takes place and work is always negative.
When work done on the system takes place then compression takes place and work done is always positive.  When work done by the system takes place then expansion takes place and work done is always negative.

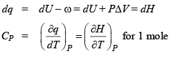
Enthalpy of the system: The quantity U + PV is known as the enthalpy of the system and is denoted by H. It represented the total energy of the system. Thus,

H = U + PV

Heat capacity of a system: The quantity of heat required to raise the temperature of the system from the lower to the higher temperature divided by the temperature difference is known as heat capacity. If mass of the system is one gram than it is specific heat capacity and if mass in mole than it is molar heat capacity. It is denoted by C.

 C = First Law of Thermodynamics & Heat Capacities of a System | Physical Chemistry

The molar heat capacity of a gaseous system, determined at constant volume, is different from that determined at constant pressure.
In the former case, no external work is done by the system or on the system (i.e. ω = 0) since there is no change in volume. Hence, from the first law equation:
dq = dU – ω                  (ω = 0)
dq = dU
First Law of Thermodynamics & Heat Capacities of a System | Physical Chemistry
for 1 mole
                       CV =(1/n) (∂U/∂T)v

for n mole

or                     dU = nCV dT

As constant pressure, there is change of volume and some work is done.  The work done is ω. Then from first law:
First Law of Thermodynamics & Heat Capacities of a System | Physical Chemistry

 First Law of Thermodynamics & Heat Capacities of a System | Physical Chemistry

dH = n CP dT

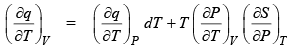
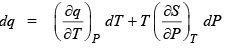
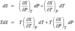
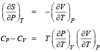
Relation between CP and CV in gaseous system Let entropy of the system is S and its value depends on temperature and pressure.
i.e. S is the funct ion of P & T.
                         S = S(P, T)

 First Law of Thermodynamics & Heat Capacities of a System | Physical Chemistry

First Law of Thermodynamics & Heat Capacities of a System | Physical Chemistry
First Law of Thermodynamics & Heat Capacities of a System | Physical Chemistry
First Law of Thermodynamics & Heat Capacities of a System | Physical Chemistry
First Law of Thermodynamics & Heat Capacities of a System | Physical Chemistry
First Law of Thermodynamics & Heat Capacities of a System | Physical Chemistry
First Law of Thermodynamics & Heat Capacities of a System | Physical Chemistry

Using this relationship we can find many relat ionships between CP & CV. These are given below:

(1)  CP – CV = R (for 1 mole of ideal gas).

(2)  CP – CV = R First Law of Thermodynamics & Heat Capacities of a System | Physical Chemistry(for 1 mole of real gas).

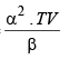
(3)  CP – CV = First Law of Thermodynamics & Heat Capacities of a System | Physical Chemistry

(4)  CP - CV = TE α2V

E = elasticity

First Law of Thermodynamics & Heat Capacities of a System | Physical Chemistry
First Law of Thermodynamics & Heat Capacities of a System | Physical Chemistry
First Law of Thermodynamics & Heat Capacities of a System | Physical Chemistry

The document First Law of Thermodynamics & Heat Capacities of a System | Physical Chemistry is a part of the Chemistry Course Physical Chemistry.
All you need of Chemistry at this link: Chemistry
84 videos|142 docs|67 tests

FAQs on First Law of Thermodynamics & Heat Capacities of a System - Physical Chemistry

1. What is the First Law of Thermodynamics?
Ans. The First Law of Thermodynamics, also known as the Law of Energy Conservation, states that energy cannot be created or destroyed in an isolated system. It can only be transferred or transformed from one form to another.
2. How does the First Law of Thermodynamics relate to heat capacities?
Ans. The First Law of Thermodynamics is closely related to heat capacities as it deals with the conservation of energy in a system. Heat capacities, such as specific heat capacity or molar heat capacity, measure the amount of heat energy required to raise the temperature of a substance. These heat capacities are derived from the First Law of Thermodynamics.
3. What are the different types of heat capacities?
Ans. There are several types of heat capacities, including specific heat capacity (c), molar heat capacity (C), and volumetric heat capacity (Cv). Specific heat capacity measures the amount of heat required to raise the temperature of a unit mass of a substance by one degree Celsius. Molar heat capacity measures the amount of heat required to raise the temperature of one mole of a substance by one degree Celsius. Volumetric heat capacity measures the amount of heat required to raise the temperature of a unit volume of a substance by one degree Celsius.
4. How can the First Law of Thermodynamics be applied to real-life examples?
Ans. The First Law of Thermodynamics can be applied to various real-life examples. For instance, it explains how energy is conserved in a car engine, where the chemical energy in fuel is converted into mechanical energy. It also helps in understanding the energy transfer and transformation in power plants, refrigerators, and even in our own bodies during metabolism.
5. How is the First Law of Thermodynamics related to the concept of work done?
Ans. The First Law of Thermodynamics relates to the concept of work done as it states that energy can be transferred between a system and its surroundings. When work is done on a system or by a system, it involves the transfer of energy. The First Law of Thermodynamics allows us to calculate the work done by considering the change in internal energy of the system.
Related Searches

Objective type Questions

,

study material

,

pdf

,

Sample Paper

,

past year papers

,

Summary

,

Exam

,

mock tests for examination

,

Viva Questions

,

MCQs

,

Important questions

,

First Law of Thermodynamics & Heat Capacities of a System | Physical Chemistry

,

First Law of Thermodynamics & Heat Capacities of a System | Physical Chemistry

,

Extra Questions

,

Previous Year Questions with Solutions

,

First Law of Thermodynamics & Heat Capacities of a System | Physical Chemistry

,

shortcuts and tricks

,

ppt

,

Semester Notes

,

Free

,

practice quizzes

,

video lectures

;