CA Foundation Exam  >  CA Foundation Notes  >  Quantitative Aptitude for CA Foundation  >  Formula's Summary - Sequence and Series

Formula's Summary - Sequence and Series | Quantitative Aptitude for CA Foundation PDF Download

1. The general term of an A. P. 

a, a + d, a + 2d, ... is given by tn = a + (n –1) d

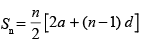
2. Sn, the sum of the first n terms of an A. P.

a, a + d, a + 2d, ...   is given by  Formula`s Summary - Sequence and Series | Quantitative Aptitude for CA Foundation

Formula`s Summary - Sequence and Series | Quantitative Aptitude for CA Foundation

3. A sequence in which the difference of two cousecutive terms is always constant ( ≠ 0) is called an Arithmetic Progression (A. P.)

tn = Sn – Sn – 1

Formula`s Summary - Sequence and Series | Quantitative Aptitude for CA Foundation

4. An arithmetic mean between a and b is (a + b)/2

5. A sequence in which the ratio of two consecutive terms is always constant ( ≠ 0) is called a Geometric Progression (G. P.)

6. The nth term of a G.P.: a, ar, ar2, ... is arn – 1

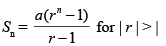
7. Sum of the first n terms of a G. P.: a, ar, ar2, ... is

Formula`s Summary - Sequence and Series | Quantitative Aptitude for CA Foundation

Formula`s Summary - Sequence and Series | Quantitative Aptitude for CA Foundation

8. The sums of an infintite G. P. a, ar, ar2, ... is given by

Formula`s Summary - Sequence and Series | Quantitative Aptitude for CA Foundation

9. Geometric mean G between two numbers a and b is √ab

10. The arithmetic mean A between two numbers a and b is always greater than the corresponding Geometric mean G  i.e., A > G.

 

The document Formula's Summary - Sequence and Series | Quantitative Aptitude for CA Foundation is a part of the CA Foundation Course Quantitative Aptitude for CA Foundation.
All you need of CA Foundation at this link: CA Foundation
101 videos|209 docs|89 tests

FAQs on Formula's Summary - Sequence and Series - Quantitative Aptitude for CA Foundation

1. What is the formula for the sum of an arithmetic series?
Ans. The formula for the sum of an arithmetic series is given by Sn = (n/2)(2a + (n-1)d), where Sn is the sum of the series, n is the number of terms, a is the first term, and d is the common difference.
2. How do you find the nth term of an arithmetic sequence?
Ans. The nth term of an arithmetic sequence can be found using the formula an = a1 + (n-1)d, where an is the nth term, a1 is the first term, n is the term number, and d is the common difference.
3. What is the formula for the sum of a geometric series?
Ans. The formula for the sum of a geometric series is given by Sn = a(1 - r^n)/(1 - r), where Sn is the sum of the series, a is the first term, r is the common ratio, and n is the number of terms.
4. How do you find the nth term of a geometric sequence?
Ans. The nth term of a geometric sequence can be found using the formula an = a1 * r^(n-1), where an is the nth term, a1 is the first term, r is the common ratio, and n is the term number.
5. What is the difference between an arithmetic sequence and a geometric sequence?
Ans. In an arithmetic sequence, each term is obtained by adding a common difference to the previous term, while in a geometric sequence, each term is obtained by multiplying the previous term by a common ratio.
Related Searches

Important questions

,

MCQs

,

Free

,

pdf

,

mock tests for examination

,

Exam

,

Formula's Summary - Sequence and Series | Quantitative Aptitude for CA Foundation

,

Objective type Questions

,

ppt

,

practice quizzes

,

Formula's Summary - Sequence and Series | Quantitative Aptitude for CA Foundation

,

Extra Questions

,

video lectures

,

shortcuts and tricks

,

Viva Questions

,

Summary

,

study material

,

Previous Year Questions with Solutions

,

Formula's Summary - Sequence and Series | Quantitative Aptitude for CA Foundation

,

Sample Paper

,

past year papers

,

Semester Notes

;