JEE Exam  >  JEE Notes  >  Chapter-wise Tests for JEE Main & Advanced  >  Integer Answer Type Questions for JEE: Logarithms

Integer Answer Type Questions for JEE: Logarithms | Chapter-wise Tests for JEE Main & Advanced PDF Download

Q.1. The number Integer Answer Type Questions for JEE: Logarithms | Chapter-wise Tests for JEE Main & Advancedwhen simplified reduces to a natural number N. Find N.

Ans. 2
Integer Answer Type Questions for JEE: Logarithms | Chapter-wise Tests for JEE Main & Advanced
= (3 + log52) (2 +log52) – (1 + log52) (4 + log52)
= (log52)2 + 5 log52 + 6 – [(log52)2 + 5 log52 + 4]= 2


Q.2. The number N = 6log102 + log1031 lies between two successive integers whose sum equals_______

Ans. 7
∴ N = log1064 + log1031 = log101984
∴ 3 < N < 4


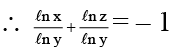
Q.3. Suppose x, y, z > 0 & different from one and λn  x + λn y + λn z = 0, then value of
Integer Answer Type Questions for JEE: Logarithms | Chapter-wise Tests for JEE Main & Advancedis e – k then k equals _____

Ans. 3
Let X Integer Answer Type Questions for JEE: Logarithms | Chapter-wise Tests for JEE Main & Advanced
⇒ λn x = λn Integer Answer Type Questions for JEE: Logarithms | Chapter-wise Tests for JEE Main & Advanced(λn z)
Now given λn x + λn y + λn z = 0
Integer Answer Type Questions for JEE: Logarithms | Chapter-wise Tests for JEE Main & Advanced
Similarly,
Integer Answer Type Questions for JEE: Logarithms | Chapter-wise Tests for JEE Main & Advanced & 

Integer Answer Type Questions for JEE: Logarithms | Chapter-wise Tests for JEE Main & Advanced
∴ R.H.S. = - 3
∴ λn X = - 3
X =  e–3


Q.4. If log (x2/y3) = 1 & log(x2y3) = 7 then log |xy| is equal to _____

Ans. 3
2logx – 3log y = 1
2log x + 3log y = 7
Solving  log x  = 2
& log y  = 1   ∴ log x + log y = log xy = 3


Q.5. The number of positive integers satisfying x + log10 (2x + 1) = x log105 + log106 is …….

Ans. 1
x (log1010 – log105) + log10(2x + 1) = log106
⇒ x log102 + log10 (2x + 1) = log106
⇒ log102(2x + 1) = log106
⇒ 22x + 2x – 6 = 0
⇒ (2+ 3) (2– 2) = 0
⇒ ∴ 2x + 3 ≠ 0          ∴ 2x = 2
⇒  x = 1


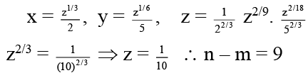
Q.6. If x, y, z be positive real numbers such that log2x z = 3, log5y z = 6 and logxy z = 2/3 then the value of z is in the form of m/n in lowest form then find value of n – m.

Ans. 9
z = 8x3,  z = 56y6, z = x2/3y2/3
Integer Answer Type Questions for JEE: Logarithms | Chapter-wise Tests for JEE Main & Advanced


Q.7. Let P = log5 (log5 3). If 3C+5-P = 405 then C equals

Ans. 4
∴ 5– P = 5- log5 log5 (3) ⇒ 5-P = log353C + log3 5 = 405
(3C) (5) = 405 ⇒  3C = 81 ⇒ C = 4


Q.8. Number of solution for |3x2 – 2 | = [–2π] is ([.] denotes greatest integer)

Ans. 0
[– 2π] = - 7        ∴ L.H.S. is positive
R.H.S. is negative     ∴ no solution


Q.9. Find all positive values of 'a' for which the equation log (ax) = 2 log (x + 1) has the unique root.

Ans. 4
log ax = 2 log (x + 1)
⇒ ax = (x + 1)2 ⇒ x2 + (2 –a) x + 1 = 0
Let x1 and x2 be roots
Integer Answer Type Questions for JEE: Logarithms | Chapter-wise Tests for JEE Main & Advancedand
Integer Answer Type Questions for JEE: Logarithms | Chapter-wise Tests for JEE Main & Advanced
For solution exists a2 –4a ≥ 0
a ≥ 4, a ≤ 0
For positive values a ≥ 4
For a > 4, x1 and x2 are different
For a = 4, x1 and x2 are same
Hence a = 4.


Q.10. If no. of zeroes after decimal in (0.15)20 is ab. Find b – a.
(Assume log 2 = 0.3010, log 3 = 0.4771)   

Ans. 5
log x = 20 (log 0.15)
= 20 [1 – log 2 + log 3 – 2]
= 20 [–1 + 0.176] = – 20 + 352 = – 17 + 0.52
c = – 17      no. of zeroes = | – 17 + 1 | = 16
ab = 16    ∴ b - a = 5

The document Integer Answer Type Questions for JEE: Logarithms | Chapter-wise Tests for JEE Main & Advanced is a part of the JEE Course Chapter-wise Tests for JEE Main & Advanced.
All you need of JEE at this link: JEE
446 docs|929 tests
Related Searches

mock tests for examination

,

MCQs

,

Integer Answer Type Questions for JEE: Logarithms | Chapter-wise Tests for JEE Main & Advanced

,

video lectures

,

Important questions

,

Sample Paper

,

Exam

,

Summary

,

Viva Questions

,

pdf

,

ppt

,

shortcuts and tricks

,

Integer Answer Type Questions for JEE: Logarithms | Chapter-wise Tests for JEE Main & Advanced

,

Objective type Questions

,

past year papers

,

Extra Questions

,

study material

,

Previous Year Questions with Solutions

,

Free

,

practice quizzes

,

Semester Notes

,

Integer Answer Type Questions for JEE: Logarithms | Chapter-wise Tests for JEE Main & Advanced

;