JEE Exam  >  JEE Notes  >  I. E. Irodov Solutions for Physics Class 11 & Class 12  >  Irodov Solutions: Dynamics of A Solid Body- 4

Irodov Solutions: Dynamics of A Solid Body- 4 | I. E. Irodov Solutions for Physics Class 11 & Class 12 - JEE PDF Download

Q. 281. A horizontally oriented uniform rod AB of mass m = 1.40 kg and length l0 = 100 cm rotates freely about a stationary vertical axis OO' passing through its end A. The point A is located at the middle of the axis OO' whose length is equal to l = 55 cm. At what angular velocity of the rod the horizontal component of the force acting on the lower end of the axis OO' is equal to zero? What is in this case the horizontal component of the force acting on the upper end of the axis?

Solution. 281.  The total centrifugal force can be calculated by,

Irodov Solutions: Dynamics of A Solid Body- 4 | I. E. Irodov Solutions for Physics Class 11 & Class 12 - JEE

Irodov Solutions: Dynamics of A Solid Body- 4 | I. E. Irodov Solutions for Physics Class 11 & Class 12 - JEE

Then for equilibrium

Irodov Solutions: Dynamics of A Solid Body- 4 | I. E. Irodov Solutions for Physics Class 11 & Class 12 - JEE

Irodov Solutions: Dynamics of A Solid Body- 4 | I. E. Irodov Solutions for Physics Class 11 & Class 12 - JEE

Thus T1 vanishes, when

Irodov Solutions: Dynamics of A Solid Body- 4 | I. E. Irodov Solutions for Physics Class 11 & Class 12 - JEE


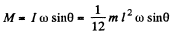
Q. 282. The middle of a uniform rod of mass m and length l is rigidly fixed to a vertical axis OO' so that the angle between the rod and the axis is equal to θ (see Fig. 1.71). The ends of the axis OO' are provided with bearings. The system rotates without friction with an angular velocity ω. Find: 
 (a) the magnitude and direction of the rod's angular momentum M relative to the point C, as well as its angular momentum relative to the rotation axis;
 (b) how much the modulus of the vector M relative to the point C increases during a half-turn;
 (c) the moment of external forces N acting on the axle OO' in the process of rotation

Solution. 282. See the diagram in the book (Fig. 1.71).

(a) The angular velocity  Irodov Solutions: Dynamics of A Solid Body- 4 | I. E. Irodov Solutions for Physics Class 11 & Class 12 - JEE can be resolved into a component parallel to the rod and a component co sin0 perpendicular to the rod through C. The component parallel to the rod does not contribute so the angular momentum

Irodov Solutions: Dynamics of A Solid Body- 4 | I. E. Irodov Solutions for Physics Class 11 & Class 12 - JEE

Irodov Solutions: Dynamics of A Solid Body- 4 | I. E. Irodov Solutions for Physics Class 11 & Class 12 - JEE

Irodov Solutions: Dynamics of A Solid Body- 4 | I. E. Irodov Solutions for Physics Class 11 & Class 12 - JEE

This can be obtained directly also, 

(b) The modulus of  Irodov Solutions: Dynamics of A Solid Body- 4 | I. E. Irodov Solutions for Physics Class 11 & Class 12 - JEE does not change but  the modulus of the change of Irodov Solutions: Dynamics of A Solid Body- 4 | I. E. Irodov Solutions for Physics Class 11 & Class 12 - JEE

Irodov Solutions: Dynamics of A Solid Body- 4 | I. E. Irodov Solutions for Physics Class 11 & Class 12 - JEE


Q. 283. A top of mass m = 0.50 kg, whose axis is tilted by an angle θ = 30° to the vertical, precesses due to gravity. The moment of inertia of the top relative to its symmetry axis is equal to I = 2.0 g•m2 , the angular velocity of rotation about that axis is equal to ω = 350 rad/s, the distance from the point of rest to the centre of inertia of the top is l = 10 cm. Find:
 (a) the angular velocity of the top's precession;
 (b) the magnitude and direction of the horizontal component of the reaction force acting on the top at the point of rest

Solution. 283. Here M = I ω is along the symmetry axis. It has tw o components, the part l ω cosθ is constant and the part M - l ω sinθ presesses, then

Irodov Solutions: Dynamics of A Solid Body- 4 | I. E. Irodov Solutions for Physics Class 11 & Class 12 - JEE

or,    Irodov Solutions: Dynamics of A Solid Body- 4 | I. E. Irodov Solutions for Physics Class 11 & Class 12 - JEE

(b) This force is the centripetal force due to precession. It acls inward and has the magnitude

Irodov Solutions: Dynamics of A Solid Body- 4 | I. E. Irodov Solutions for Physics Class 11 & Class 12 - JEE

Irodov Solutions: Dynamics of A Solid Body- 4 | I. E. Irodov Solutions for Physics Class 11 & Class 12 - JEE the distance of the i th element from the axis. This is the force that the table will exert on the top. See the diagram in the answer sheet

Irodov Solutions: Dynamics of A Solid Body- 4 | I. E. Irodov Solutions for Physics Class 11 & Class 12 - JEEIrodov Solutions: Dynamics of A Solid Body- 4 | I. E. Irodov Solutions for Physics Class 11 & Class 12 - JEE


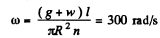
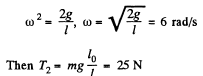
Q. 284. A gyroscope, a uniform disc of radius R = 5.0 cm at the end of a rod of length l = 10 cm (Fig. 1.73), is mounted on the floor of an elevator car going up with a constant acceleration w = 2.0 m/s2. The other end of the rod is hinged at the point O. The gyroscope precesses with an angular velocity n = 0.5 rps. Neglecting the friction and the mass of the rod, find the proper angular velocity of the disc. 

Irodov Solutions: Dynamics of A Solid Body- 4 | I. E. Irodov Solutions for Physics Class 11 & Class 12 - JEE

Solution. 284. See the diagram in the book (Fig. 1.73).

The moment of inertia of the disc about its symmentry axis is  Irodov Solutions: Dynamics of A Solid Body- 4 | I. E. Irodov Solutions for Physics Class 11 & Class 12 - JEE If the angular velocity of the disc is co then the angular momentum is  Irodov Solutions: Dynamics of A Solid Body- 4 | I. E. Irodov Solutions for Physics Class 11 & Class 12 - JEE The precession frequency being 2 π n,

we have  Irodov Solutions: Dynamics of A Solid Body- 4 | I. E. Irodov Solutions for Physics Class 11 & Class 12 - JEE

This must equal m (g + w) l, the effective gravitational torques (g being replaced by g + w in the elevator). Thus,

Irodov Solutions: Dynamics of A Solid Body- 4 | I. E. Irodov Solutions for Physics Class 11 & Class 12 - JEE


Q. 285. A top of mass m = 1.0 kg and moment of inertia relative to its own axis I = 4.0 g•m2 spins with an angular velocity ω = 310 rad/s. Its point of rest is located on a block which is shifted in a horizontal direction with a constant acceleration w = 1.0 m/s2. The distance between the point of rest and the centre of inertia of the top equals l = 10 cm. Find the magnitude and direction of the angular velocity of precession ω'.

Solution. 285. The effective g is  Irodov Solutions: Dynamics of A Solid Body- 4 | I. E. Irodov Solutions for Physics Class 11 & Class 12 - JEE inclined at angle  Irodov Solutions: Dynamics of A Solid Body- 4 | I. E. Irodov Solutions for Physics Class 11 & Class 12 - JEE with the vertical. Then with reference to the new " vertical" we proceed as in problem 1.283. Thu

Irodov Solutions: Dynamics of A Solid Body- 4 | I. E. Irodov Solutions for Physics Class 11 & Class 12 - JEE

The vector  Irodov Solutions: Dynamics of A Solid Body- 4 | I. E. Irodov Solutions for Physics Class 11 & Class 12 - JEEforms an angle Irodov Solutions: Dynamics of A Solid Body- 4 | I. E. Irodov Solutions for Physics Class 11 & Class 12 - JEE with the normal vertical.


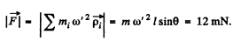
Q. 286. A uniform sphere of mass m = 5.0 kg and radius R  = 6.0 cm rotates with an angular velocity ω = 1250 rad/s about a horizontal axle passing through its centre and fixed on the mounting base by means of bearings. The distance between the bearings equals l = 15 cm. The base is set in rotation about a vertical axis with an angular velocity ω' = 5.0 rad/s. Find the modulus and direction of the gyroscopic forces. 

Solution. 286. The moment of inertia of the sphere is  Irodov Solutions: Dynamics of A Solid Body- 4 | I. E. Irodov Solutions for Physics Class 11 & Class 12 - JEE and hence the value of angular momentum is Irodov Solutions: Dynamics of A Solid Body- 4 | I. E. Irodov Solutions for Physics Class 11 & Class 12 - JEE Since it precesses at speed ω' the torque required is

Irodov Solutions: Dynamics of A Solid Body- 4 | I. E. Irodov Solutions for Physics Class 11 & Class 12 - JEE

So,   Irodov Solutions: Dynamics of A Solid Body- 4 | I. E. Irodov Solutions for Physics Class 11 & Class 12 - JEE

(The force F ' must be vertical.)


Q. 287. A cylindrical disc of a gyroscope of mass m = 15 kg and radius r = 5.0 cm spins with an angular velocity ω = 330 rad/s. The distance between the bearings in which the axle of the disc is mounted is equal to l = 15 cm. The axle is forced to oscillate about a horizontal axis with a period T = 1.0 s and amplitude φm, = 20°. Find the maximum value of the gyroscopic forces exerted by the axle on the bearings.

Solution. 287. The moment of inertia is  Irodov Solutions: Dynamics of A Solid Body- 4 | I. E. Irodov Solutions for Physics Class 11 & Class 12 - JEE and angular momentum is  Irodov Solutions: Dynamics of A Solid Body- 4 | I. E. Irodov Solutions for Physics Class 11 & Class 12 - JEE The axle oscillates about a horizontal axis making an instantaneous angle.

Irodov Solutions: Dynamics of A Solid Body- 4 | I. E. Irodov Solutions for Physics Class 11 & Class 12 - JEE

This means that there is a variable precession with a rate of precession  Irodov Solutions: Dynamics of A Solid Body- 4 | I. E. Irodov Solutions for Physics Class 11 & Class 12 - JEE The maximum value of this is Irodov Solutions: Dynamics of A Solid Body- 4 | I. E. Irodov Solutions for Physics Class 11 & Class 12 - JEE When the angle between the axle and the axis is at its maximumis value, a torque Irodov Solutions: Dynamics of A Solid Body- 4 | I. E. Irodov Solutions for Physics Class 11 & Class 12 - JEE

Irodov Solutions: Dynamics of A Solid Body- 4 | I. E. Irodov Solutions for Physics Class 11 & Class 12 - JEE

The corresponding gyroscopic force will be Irodov Solutions: Dynamics of A Solid Body- 4 | I. E. Irodov Solutions for Physics Class 11 & Class 12 - JEE


Q. 288. A ship moves with velocity v = 36 km per hour along an arc of a circle of radius R = 200 m. Find the moment of the gyroscopic forces exerted on the bearings by the shaft with a flywheel whose moment of inertia relative to the rotation axis equals I = 3.8.103  kg•m2  and whose rotation velocity n = 300 rpm. The rotation axis is oriented along the length of the ship. 

Solution. 288. The revolutions per minute of the flywheel being n, the angular momentum of the flywheel

Irodov Solutions: Dynamics of A Solid Body- 4 | I. E. Irodov Solutions for Physics Class 11 & Class 12 - JEE


Q. 289. A locomotive is propelled by a turbine whose axle is parallel to the axes of wheels. The turbine's rotation direction coincides with that of wheels. The moment of inertia of the turbine rotor relative to its own axis is equal to I = 240 kg• m2 . Find the additional force exerted by the gyroscopic forces on the rails when the locomotive moves along a circle of radius R = 250 m with velocity v = 50 km per hour. The gauge is equal to l = 1.5 m. The angular velocity of the turbine equals n = 1500 rpm. 

Solution. 289. As in the previous problem a couple 2πInv/R must come in play. This can be done if a force,  Irodov Solutions: Dynamics of A Solid Body- 4 | I. E. Irodov Solutions for Physics Class 11 & Class 12 - JEE acts on the rails in opposite directions in addition to the centrifugal and other forces. The force on the outer rail is increased and that on the inner rail decreased. The additional force in this case has the magnitude 1.4 kN.m.

The document Irodov Solutions: Dynamics of A Solid Body- 4 | I. E. Irodov Solutions for Physics Class 11 & Class 12 - JEE is a part of the JEE Course I. E. Irodov Solutions for Physics Class 11 & Class 12.
All you need of JEE at this link: JEE
88 docs

FAQs on Irodov Solutions: Dynamics of A Solid Body- 4 - I. E. Irodov Solutions for Physics Class 11 & Class 12 - JEE

1. What are the main topics covered in Irodov Solutions: Dynamics of a Solid Body-4 NEET?
Ans. The main topics covered in Irodov Solutions: Dynamics of a Solid Body-4 NEET include dynamics of a solid body, rotational motion, angular momentum, moment of inertia, torque, conservation laws, and various related concepts.
2. How can I effectively prepare for the dynamics section in NEET using Irodov Solutions: Dynamics of a Solid Body-4 NEET?
Ans. To effectively prepare for the dynamics section in NEET using Irodov Solutions: Dynamics of a Solid Body-4 NEET, it is recommended to thoroughly study the concepts, practice a wide range of numerical problems, and refer to the solutions provided in the book for better understanding and clarity.
3. Are the solutions provided in Irodov Solutions: Dynamics of a Solid Body-4 NEET step-by-step and easy to understand?
Ans. Yes, the solutions provided in Irodov Solutions: Dynamics of a Solid Body-4 NEET are step-by-step and easy to understand. The solutions are explained in a detailed manner, making it easier for students to grasp the concepts and approach the problems.
4. Can I rely solely on Irodov Solutions: Dynamics of a Solid Body-4 NEET for my NEET preparation?
Ans. While Irodov Solutions: Dynamics of a Solid Body-4 NEET is a comprehensive resource for dynamics preparation, it is recommended to supplement it with other study materials and practice papers. This will provide a more well-rounded preparation and help you familiarize yourself with a variety of questions.
5. Where can I find Irodov Solutions: Dynamics of a Solid Body-4 NEET for practice and preparation?
Ans. Irodov Solutions: Dynamics of a Solid Body-4 NEET can be found in various offline and online bookstores or educational platforms. It is advisable to check with your local bookstores or search online platforms such as Amazon, Flipkart, or educational websites for availability.
Related Searches

MCQs

,

pdf

,

Irodov Solutions: Dynamics of A Solid Body- 4 | I. E. Irodov Solutions for Physics Class 11 & Class 12 - JEE

,

practice quizzes

,

mock tests for examination

,

Summary

,

shortcuts and tricks

,

Previous Year Questions with Solutions

,

Irodov Solutions: Dynamics of A Solid Body- 4 | I. E. Irodov Solutions for Physics Class 11 & Class 12 - JEE

,

Sample Paper

,

Semester Notes

,

Objective type Questions

,

study material

,

Free

,

Viva Questions

,

ppt

,

Extra Questions

,

Exam

,

past year papers

,

Important questions

,

video lectures

,

Irodov Solutions: Dynamics of A Solid Body- 4 | I. E. Irodov Solutions for Physics Class 11 & Class 12 - JEE

;