JEE Exam  >  JEE Notes  >  Chapter-wise Tests for JEE Main & Advanced  >  JEE Advanced (Fill in the Blanks): Heat & Thermodynamics

JEE Advanced (Fill in the Blanks): Heat & Thermodynamics | Chapter-wise Tests for JEE Main & Advanced PDF Download

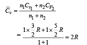
Q.1. One mole of a mono-atomic ideal gas is mixed with one mole of a diatomic ideal gas. The molar specific heat of the mixture at constant volume is .......

Ans. 4 cal.

Solution. JEE Advanced (Fill in the Blanks): Heat & Thermodynamics | Chapter-wise Tests for JEE Main & AdvancedQ.2. The variation of temperature of a material as heat is given to it at a constant rate is shown in the figure. The material is in solid state at the point O. The state of the material at the point P is ........

Ans. Partly solid and partly liquid

Solution.  

JEE Advanced (Fill in the Blanks): Heat & Thermodynamics | Chapter-wise Tests for JEE Main & Advanced

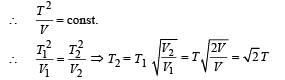
Q.3. During an experiment, an ideal gas is found to obey an additional law VP2 =constant, The gas is initially at a temperature T, and volume V. When it expands to a volume 2V, the temperature becomes..........

Ans. √2T

Solution. PV = RT (Ideal gas equation)

JEE Advanced (Fill in the Blanks): Heat & Thermodynamics | Chapter-wise Tests for JEE Main & Advanced

Given that VP2 = const ... (ii) 

From (i) and (ii)

JEE Advanced (Fill in the Blanks): Heat & Thermodynamics | Chapter-wise Tests for JEE Main & Advanced

Q.4. 300 grams of water at 25° C is added to 100 grams of ice at 0°C. The final temperature of the mixture is .....°C.

Ans. 0°C

Solution. The heat required for 100 g of ice at 0° C to change into water at 0°C = mL = 100 × 80 ×4.2 = 33,600 J          ... (i) 

The heat released by 300g of water at 25°C to change its temperature to 0°C = mcΔT = 300 × 4.2 × 25 = 31,500 J  ... (ii) 

Since the energy in eq. (ii) is less than of eq. (i) therefore the final temperature will be 0°C.

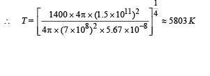
Q.5. The earth receives at its surface radiation from the sun at the rate of 1400 W m–2. The distance of the centre of the sun from the surface of the earth is 1.5 × 1011 m and the radius of the sun is 7 × 108 m. Treating the sun as a black body, it follows from the above data that its surface temperature is...........K.

Ans. 5803K

Solution. The energy received per second per unit area from Sun at a distance of 1.5 × 1011 m is 1400 J/sm2. The total energy released by Sun/per second.

= 1400 × 4π × (1.5 × 1011)2.

∴ The total energy released per second per unit surface area of the Sun

JEE Advanced (Fill in the Blanks): Heat & Thermodynamics | Chapter-wise Tests for JEE Main & Advanced

This energy E is also equal to E = σT4

JEE Advanced (Fill in the Blanks): Heat & Thermodynamics | Chapter-wise Tests for JEE Main & Advanced

Q.6. A solid copper sphere (density r and specific heat c) of radius r at an initial temperature 200 K is suspended inside a chamber whose walls are at almost 0K. The time required for the temperature of the sphere to drop to 100K is ....................

Ans. 1.71ρrc

Solution.The energy emitted per second when the temperature of the copper sphere is T and the surrounding temperature T0

JEE Advanced (Fill in the Blanks): Heat & Thermodynamics | Chapter-wise Tests for JEE Main & Advanced

We know that

JEE Advanced (Fill in the Blanks): Heat & Thermodynamics | Chapter-wise Tests for JEE Main & Advanced

From (i) and (ii)

JEE Advanced (Fill in the Blanks): Heat & Thermodynamics | Chapter-wise Tests for JEE Main & Advanced

JEE Advanced (Fill in the Blanks): Heat & Thermodynamics | Chapter-wise Tests for JEE Main & Advanced

JEE Advanced (Fill in the Blanks): Heat & Thermodynamics | Chapter-wise Tests for JEE Main & Advanced

Integrating both sides

JEE Advanced (Fill in the Blanks): Heat & Thermodynamics | Chapter-wise Tests for JEE Main & Advanced

JEE Advanced (Fill in the Blanks): Heat & Thermodynamics | Chapter-wise Tests for JEE Main & Advanced

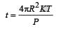
Q.7. A point source of heat of power P is placed at the centre of a spherical shell of mean radius R. The material of the shell has thermal conductivity K. If the temperature difference between the outer and inner surface of the shell in not to exceed T, the thickness of the shell should not be less than ............

Ans. JEE Advanced (Fill in the Blanks): Heat & Thermodynamics | Chapter-wise Tests for JEE Main & Advanced

Solution. 

KEY CONCEPT :

When the spherical shell is thin, t << R. In this case, The rate of flow of heat from the sphere to the surroundings

JEE Advanced (Fill in the Blanks): Heat & Thermodynamics | Chapter-wise Tests for JEE Main & Advanced

JEE Advanced (Fill in the Blanks): Heat & Thermodynamics | Chapter-wise Tests for JEE Main & Advanced

where T is the temperature difference and t is the thickness of steel then

JEE Advanced (Fill in the Blanks): Heat & Thermodynamics | Chapter-wise Tests for JEE Main & Advanced

Q.8. A substance of mass M kg requires a power input of P watts to remain in the molten state at its melting point. When the power source is turned off, the sample completely solidifies in time t seconds. The latent heat of fusion of the substance is ....................

Ans. JEE Advanced (Fill in the Blanks): Heat & Thermodynamics | Chapter-wise Tests for JEE Main & Advanced

Solution. Since P joules per second of heat is supplied to keep the substance in molten state, it means that the substance in the molten state at its melting point releases P Joule of heat in one second.

JEE Advanced (Fill in the Blanks): Heat & Thermodynamics | Chapter-wise Tests for JEE Main & Advanced

The power is turned off then the heat input becomes zero.

But heat output continues. It takes t seconds for the substance to solidify (given). Therefore total heat released in t seconds = P × t = mLfusion

JEE Advanced (Fill in the Blanks): Heat & Thermodynamics | Chapter-wise Tests for JEE Main & Advanced

Q.9. A container of volume 1m3 is divided into two equal parts by a partition. One part has an ideal gas at 300K and the other part is vacuum. The whole system is thermally isolated from the surroundings. When the partition is removed, the gas expands to occupy the whole volume. Its temperature will now be.......

Ans. 300 K

Solution. In this expansion, no work is done because the gas expands in vacuum. Therefore ΔW = 0 

As the process is a adiabatic, Q = 0. From first law of thermodynamics, ΔU = 0 i.e. temperature remains constant.

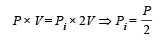
Q.10. An ideal gas with pressure P, volume V and temperature T is expanded isothermally to a volume 2V and a final pressure Pi. If the same gas is expanded adiabatically to a volume 2V, the final pressure is Pa. The ratio of the specific heats of the gas is 1.67 . The ratio Pa/R is ...

Ans. 0.628

Solution. For isothermal expansion

JEE Advanced (Fill in the Blanks): Heat & Thermodynamics | Chapter-wise Tests for JEE Main & Advanced

For adiabatic expansion

JEE Advanced (Fill in the Blanks): Heat & Thermodynamics | Chapter-wise Tests for JEE Main & Advanced

JEE Advanced (Fill in the Blanks): Heat & Thermodynamics | Chapter-wise Tests for JEE Main & Advanced

Q.11. Two metal cubes A and B of same size are arranged as shown in Figure. The extreme ends of the combination are maintained at the indicated temperatures. The arrangement is thermally insulated. The coefficients of thermal conductivity of A and B are 300 W/m °C and 200 W/m°C, respectively. After steady state is reached the temperature t of the interface will be .....

JEE Advanced (Fill in the Blanks): Heat & Thermodynamics | Chapter-wise Tests for JEE Main & Advanced

Ans. 60°C Solution.

Solution. The heat transferred through A per second

 Q1= K1 A (100 – t) 

The heat transferred through B per second 

Q2= K2 A (t – 0) 

At steady state K1 A (100 – t) = K2A (t – 0)

 ⇒ 300 (100 – t) = 200 (t – 0) ⇒ 300 – 3t = 2t ⇒ t = 60° C

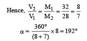
Q.12. A ring shaped tube contains two ideal gases with equal masses and relative molar masses M1= 32 and M2 = 28. The gases are separated by one fixed partition and another movable stopper S which can move freely without friction inside the ring. The angle a as shown in the figure is ........... degrees.

JEE Advanced (Fill in the Blanks): Heat & Thermodynamics | Chapter-wise Tests for JEE Main & Advanced

Ans. 192º

Solution. The movable stopper will adjust to a position with equal pressure on either sides. Applying ideal gas equation to the two gases, we get

JEE Advanced (Fill in the Blanks): Heat & Thermodynamics | Chapter-wise Tests for JEE Main & Advanced

JEE Advanced (Fill in the Blanks): Heat & Thermodynamics | Chapter-wise Tests for JEE Main & Advanced

Q.13. Earth receives 1400 W/m 2 of solar power. If all the solar energy falling on a lens of area 0.2 m2 is focused on to a block of ice of mass 280 grams, the time taken to melt the ice will be... minutes. (Latent heat of fusion of ice = 3.3 × 105J/ kg.

Ans. 5.5 min.

Solution.  Solar power received by earth = 1400 W/m2 

Solar power received by 0.2 m2 area 

= (1400 W/m2) (0.2 m2) = 280 W 

Mass of ice = 280 g = 0.280 kg 

Heat required to meltice .

= (0.280) (3.3 × 105) = 9.24 × 104 J

The document JEE Advanced (Fill in the Blanks): Heat & Thermodynamics | Chapter-wise Tests for JEE Main & Advanced is a part of the JEE Course Chapter-wise Tests for JEE Main & Advanced.
All you need of JEE at this link: JEE
446 docs|929 tests
Related Searches

practice quizzes

,

mock tests for examination

,

ppt

,

study material

,

Semester Notes

,

Important questions

,

JEE Advanced (Fill in the Blanks): Heat & Thermodynamics | Chapter-wise Tests for JEE Main & Advanced

,

Summary

,

JEE Advanced (Fill in the Blanks): Heat & Thermodynamics | Chapter-wise Tests for JEE Main & Advanced

,

video lectures

,

Extra Questions

,

Objective type Questions

,

pdf

,

MCQs

,

shortcuts and tricks

,

Previous Year Questions with Solutions

,

Viva Questions

,

Exam

,

JEE Advanced (Fill in the Blanks): Heat & Thermodynamics | Chapter-wise Tests for JEE Main & Advanced

,

Sample Paper

,

past year papers

,

Free

;