JEE Exam  >  JEE Notes  >  Chapter-wise Tests for JEE Main & Advanced  >  JEE Advanced (Fill in the Blanks): Modern Physics

JEE Advanced (Fill in the Blanks): Modern Physics | Chapter-wise Tests for JEE Main & Advanced PDF Download

Fill in the Blanks

Q.1. To produce characteristic X-rays using a Tungsten target in an X-ray generator, the accelerating voltage should be greater  than ___________ volts  and the energy of the characteristic radiation is _____eV. 

(The binding energy of the innermost electron in Tungsten is 40 keV).          (1983 - 2 Marks)

Ans. 30,000, 30,000

Solution. For minimum accelerating voltage, the electron should jump from n = 2 to n = 1 level.

For characteristic X-rays

JEE Advanced (Fill in the Blanks): Modern Physics | Chapter-wise Tests for JEE Main & Advanced

The binding energy of innermost electron = 40 keV 

∴ Ionisation potential of tungsten = 40 kV = 40 × 103 V

JEE Advanced (Fill in the Blanks): Modern Physics | Chapter-wise Tests for JEE Main & Advanced

JEE Advanced (Fill in the Blanks): Modern Physics | Chapter-wise Tests for JEE Main & Advanced

JEE Advanced (Fill in the Blanks): Modern Physics | Chapter-wise Tests for JEE Main & Advanced

∴ Minimum accelerating voltage,

JEE Advanced (Fill in the Blanks): Modern Physics | Chapter-wise Tests for JEE Main & Advanced

Q.2. The radioactive decay rate of a  radioactive element is found to be 103 disintegration/second at a certain time. If the half life of the element is one second , the decay rate after one second is _______ and after three seconds is _______.        (1983 - 2 Marks)

Ans. 500 disintegration/sec, 125 disintegration/sec

Solution. JEE Advanced (Fill in the Blanks): Modern Physics | Chapter-wise Tests for JEE Main & Advanced = Initial activity = 1000 dps (given)

A = Activity after n half lives

JEE Advanced (Fill in the Blanks): Modern Physics | Chapter-wise Tests for JEE Main & Advanced

Q.3. The maximum kinetic energy of electrons emitted in the photoelectric effect is linearly dependent on the ...... of the incident radiation.        (1984- 2 Marks)

Ans. frequency

Solution. Note :  According to law of photoelectric effect 

(K.E.)max = hv – hv0 

i.e., the maximum kinetic energy of electrons emitted in the photoelectric effect is linearly dependent on the frequency of incident radiation. 

Q.4. In the Uranium radioactive series the initial nucleus is JEE Advanced (Fill in the Blanks): Modern Physics | Chapter-wise Tests for JEE Main & Advanced and the final nucleus is JEE Advanced (Fill in the Blanks): Modern Physics | Chapter-wise Tests for JEE Main & AdvancedWhen the Uranium nucleus decays to lead, the number of  a-particles emitted is ......and the number of b-particles emitted is .....       (1985 - 2 Marks)

Ans. eight, six

Solution. JEE Advanced (Fill in the Blanks): Modern Physics | Chapter-wise Tests for JEE Main & Advanced

First we find the number of a- particles. The change in mass number during the decay from uranium to lead = 238 – 206 = 32. Therefore, the number of a-particles (with mass no. 4) = 32/4 = 8

The change in atomic number (i.e, number of protons) taking place when 8 a-particles are emitted and lead is formed is = 92 – (82 + 2 × 8) = 92 – (82 + 16) = 92 – 98 = – 6

This change will take place by emitting of six β-particles.

Q.5. When the number of electrons striking the anode of an X-ray tube is increased, the ........ of the emitted X-rays increases, while when the speeds of the electrons striking the anode are increased, the cut-off wavelength of the emitted X-rays.........         (1986 - 2 Marks)

Ans. intensity, decreases

Solution. 

Note : More the number of electrons striking the anode, more is the intensity of X-rays.

When the speed of the striking electrons on anode is increased, the emitted X-rays have greater energy. We know that energy, E = hc/λ . Therefore, when E increases then l

decreases.

Q.6. When Boron nucleus JEE Advanced (Fill in the Blanks): Modern Physics | Chapter-wise Tests for JEE Main & Advanced is bombarded by neutrons, a -particles are emitted. The resulting nucleus is of the element ........ and has the mass number ......      (1986 - 2 Marks)
Ans. lithium, 7

Solution. JEE Advanced (Fill in the Blanks): Modern Physics | Chapter-wise Tests for JEE Main & Advanced

The resulting nucleus is of element lithium and mass number is 7.

Q.7. Atoms having the same ........... but different ........... are  called isotopes.       (1986 - 2 Marks)

Ans. atomic number, mass number

Solution. Atomic number, mass number

Q.8. The binding energies per nucleon for deuteron (1H2) and helium (2He4) are 1.1 MeV and 7.0 MeV respectively. The energy released when two deuterons fuse to form a helium nucleus (2He4) is ..........      (1988 - 2 Marks)

Ans. 23.6 MeV

Solution. JEE Advanced (Fill in the Blanks): Modern Physics | Chapter-wise Tests for JEE Main & Advanced

Binding energy of two deuterons 

= 2 [1.1 × 2] = 4.4 MeV

Binding energy of helium nucleus = 4 × 7.0 = 28 MeV 

The energy released = 28 – 4.4 = 23.6 MeV

Q.9. In the forward bias arrangement of a p-n junction rectifier, the p end is connected to the ........terminal of the battery and the direction of the current is from ............to ..................in the rectifier.      (1988 - 2 Marks)

Ans. positive, p-part, n-part

Solution. Positive, p-part, n-part

Q.10. ........... biasing of p-n junction offers high resistance to current flow across the junction. The biasing is obtained by connecting the p- side to the .......... terminal of the battery.      (1990 - 2 Marks)

Ans. reverse, negative terminal

Solution. Reverse, negative terminal.

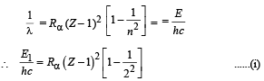
Q.11. The wavelength of the characteristic X-ray Kα line emitted by a hydrogen like element is 0.32 Å. The wavelength of the Kβ line emitted by the same element will be ............        (1990 - 2 Marks)

Ans. 0.27Å

Solution. We know that

JEE Advanced (Fill in the Blanks): Modern Physics | Chapter-wise Tests for JEE Main & Advanced

JEE Advanced (Fill in the Blanks): Modern Physics | Chapter-wise Tests for JEE Main & Advanced

On dividing, we get λ = 0.27 Å

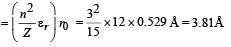
Q.12. The Bohr radius of the fifth electron of phosphorous atom (atomic number = 15) acting as a dopant in silicon (relative dielectric constant = 12) is .................... Å        (1991 - 1 Mark)

Ans. 3.81Å

Solution. The fifth valence electron of phosphorous is in its third shell, i.e., n = 3. For phosphorous, Z = 15. The Bohr’s radius for nth orbit

JEE Advanced (Fill in the Blanks): Modern Physics | Chapter-wise Tests for JEE Main & Advanced

Q.13. For the given circuit shown in fig. to act as full wave rectifier, the a.c. input should be connected across .................... and .................... and the d.c. output would appear across .................... and ................       (1991 - 1 Mark)

JEE Advanced (Fill in the Blanks): Modern Physics | Chapter-wise Tests for JEE Main & Advanced

Ans. B and D, A and C

Solution. B and D is a.c. input and A and C is the d.c. output.

Case (i) When B is –ve and D is +ve Current passes from D → A → C → B 

Case (ii) When B  is + ve and D is – ve 

Current passes from B → A → C → B

Thus curve is always from A to C in output (a d.c. current)

Q.14. In an X-ray tube, electrons accelerated through a potential difference of 15, 000 volts strike a copper target. The speed of the emitted X-ray inside the tube is ................... m/s       (1992 - 1 Mark)

Ans. 3 × 108

Solution. The speed of X-rays is always 3 × 108 m/s in vacuum. It does not depend on the potential differences through which electrons are accelerated in an X-ray tube.

Note : All electromagnetic waves propagate at 3 × 108 m/s in vacuum.

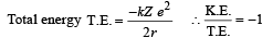
Q.15. In the Bohr model of the hydrogen atom, the ratio of the kinetic energy to the total energy of the electron in a quantum state n is ....................      (1992 - 1 Mark)

Ans. –1

Solution. JEE Advanced (Fill in the Blanks): Modern Physics | Chapter-wise Tests for JEE Main & Advanced

JEE Advanced (Fill in the Blanks): Modern Physics | Chapter-wise Tests for JEE Main & Advanced

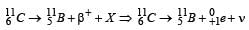
Q.16. In the nuclear process,  6C115B11 + β++X , X stands for .............      (1992 - 1 Mark)

Ans. neutrino

Solution. JEE Advanced (Fill in the Blanks): Modern Physics | Chapter-wise Tests for JEE Main & Advanced (neutrino)

The balancing of atomic number and mass number is correct.

Therefore, X stands for neutrino.

Q.17. In a ..... biased p-n junction, the net flow of holes is from the n region to the p region.        (1993 - 1 Mark)

Ans. reverse

Q.18. A potential difference of 20 kV is applied across an X-ray tube. The minimum wavelength of X-rays generated is...........Å.     (1996 - 2 Marks)

Ans. 0.62Å

Solution. JEE Advanced (Fill in the Blanks): Modern Physics | Chapter-wise Tests for JEE Main & Advanced

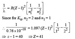
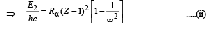
Q.19. The wavelength of Kα X-rays produced by an X-ray tube is 0.76Å. The atomic number of the anode material of the tube is.....     (1996 - 2 Marks)

Ans. 41

Solution. 

JEE Advanced (Fill in the Blanks): Modern Physics | Chapter-wise Tests for JEE Main & Advanced

JEE Advanced (Fill in the Blanks): Modern Physics | Chapter-wise Tests for JEE Main & Advanced

Q.20. Consider the following reaction :

JEE Advanced (Fill in the Blanks): Modern Physics | Chapter-wise Tests for JEE Main & Advanced

Mass of the deuterium atom = 2.0141 μ 

Mass of helium atom = 4.0024 μ 

This is a nuclear ............. reaction in which the energy Q released is ............. MeV.        (1996 - 2 Marks)

Ans. fusion, 24.03

Solution. This is a nuclear fusion reaction 

Energy released = (Δm) [931.5 MeV/u] 

= [2 × 2.0141 – 4.0024 ] × 931.5 MeV 

= 24.03 MeV

The document JEE Advanced (Fill in the Blanks): Modern Physics | Chapter-wise Tests for JEE Main & Advanced is a part of the JEE Course Chapter-wise Tests for JEE Main & Advanced.
All you need of JEE at this link: JEE
446 docs|929 tests
Related Searches

Exam

,

video lectures

,

practice quizzes

,

Important questions

,

Objective type Questions

,

Summary

,

ppt

,

JEE Advanced (Fill in the Blanks): Modern Physics | Chapter-wise Tests for JEE Main & Advanced

,

Extra Questions

,

JEE Advanced (Fill in the Blanks): Modern Physics | Chapter-wise Tests for JEE Main & Advanced

,

Semester Notes

,

Free

,

mock tests for examination

,

pdf

,

Viva Questions

,

Previous Year Questions with Solutions

,

shortcuts and tricks

,

MCQs

,

JEE Advanced (Fill in the Blanks): Modern Physics | Chapter-wise Tests for JEE Main & Advanced

,

past year papers

,

study material

,

Sample Paper

;