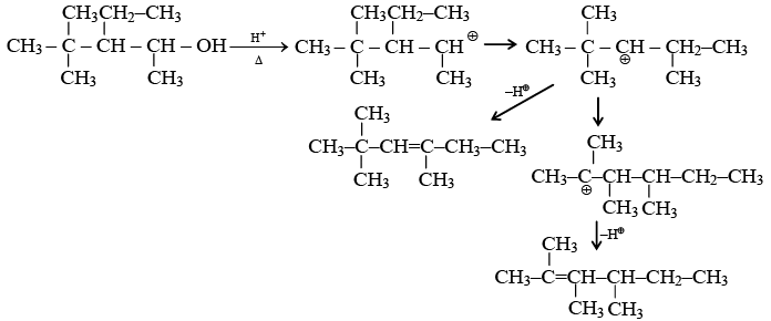
Q.1.
Product mixture would be
(a) 
(b) 
(c) 
(d) none of these
Correct Answer is option (a, b, c)
The intermediate formed give the alkene in option (B) or (C) after rearrangement.
Q.2. Which among the following statement(s) about ethers is/are correct?
(a) Peroxide is obtained in presence of air
(b) Ethers are weakly acidic
(c) Ethers form oxonium salt
(d) Ethers form stable complexes with Lewis acids
Correct Answer is option (a, c, d)
(a) Fact
(c)
(d)
Q.3. Select wrong statements.
(a) Phenol react with Na2CO3 and liberates CO2 gas
(b) Phenol turns blue litmus to red
(c) Reactivity of methanol with Na metal is more than that of isopropyl alcohol
(d) Methanol gives iodoform test
Correct Answer is option (a, d)
Q.4. 
Which of the following reagent can be used to differentiate between A and B?
(a) FeCl3
(b) Active metal Na
(c) Lucas reagent
(d) K2Cr2O7
Correct Answer is option (c, d)
2o and 3o Alcohol can be distinghished by Lucas reagent and K2Cr2O7.
Q.5. Which of the following may undergo Reimer – Tiemann reaction?
(a) 
(b) 
(c) 
(d) 
Correct Answer is option (a, b)
Reimer – Tiemann reaction can be shown byand its derivative.
Q.6. In which of the reaction ring expansion take place when piratic acid is added in it?
(a) 
(b) 
(c) 
(d) 
Correct Answer is option (a, b)
5 membered ring is more stable than 4 membered ring because of less angle strain.
Q.7. Which of the following ethers will get hydrolysed by HI?
(a) 
(b) 
(c) 
(d) 
Correct Answer is option (c, d)
Aryl group can't participate in nucleophilic substitution reaction. Also, bridgehead carbon doesn't participate in nucleophilic substitution reaction.
Q.8. Which of the following alcohols will same alkene on reaction with conc. H2SO4 ?
(a) 
(b) 
(c) 
(d) 
Correct Answer is option (a, b, c)
Q.9. Which of the following compounds are oxidized by HIO4 ?
(a) 
(b) 
(c) 
(d) 
Correct Answer is option (b, c, d)
α- Hydroxy ketone, α- Hydroxy aldehyde and α- Amino alcohol and vicinal – diol reacts with HIO4.
Q.10. The correct combination of names for isomeric alcohols with molecular formula C4H10O is/are.
(a) tert-butanol and 2-methylpropan-2-ol
(b) tert-butanol and 1,1-dimethylethan-1-ol
(c) n-butanol and butan-1-ol
(d) Isobutyl alcohol and 2-methylpropan-1-ol
Correct Answer is option (a, c, d)
Isomeric alcohols of C4H10O are:
or
|
446 docs|929 tests
|