Q.1.
The correct relations among the following are
(a) K1x K3= 1
(b) 
(c) 
(d) 
Correct Answer is option (a, b and c)
Q.2. Consider the reaction
2CO (g) + O2 (g) ⇌ 2CO2 (g) + Heat
Under what conditions shift is undeterminable?
(a) Addition of O2 and decrease in volume
(b) Addition of CO and removal of CO2 at constant volume
(c) Increase in temperature and decrease in volume
(d) Addition of CO and increase in temperature at constant volume
Correct Answer is option (c, d)
Le Chatelier’s principle is not quantitative. If both stress would cause the same direction of shift, the shift is determinable. If the two stresses would cause shifts in opposite directions, no deduction is possible.
Q.3. For the reaction PCl5 (g) ⇌ PCl3 (g) + Cl2(g), the forward reaction at constant temperature is favoured by -
(a) introducing an inert gas at constant volume
(b) introducing chlorine gas at constant volume
(c) introducing an inert gas at constant pressure
(d) increasing the volume of the container
Correct Answer is option (c, d)
Moles at equilibrium
If total pressure at equilibrium is PTOn adding inert gas at constant pressure volume increases and thus
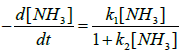
Q.4. The rate law for the decomposition of NH3; i.e.
2NH3 → N2 + 3H2; is given by 
which one of the following is/are incorrect for it.
(a) When the concentration of NH3 is very high; order lies between zero and one.
(b) When the concentration of NH3 is very high; order is zero
(c) When the concentration of NH3 is very low; order is zero.
(d) When the concentration of NH3 is very low; order is two.
Correct Answer is option (a, c and d)
If [NH3] is very high
is very small than k2
i.e. order is zero
If [NH3] is very lowis very high than k2
∴ order is one.
Q.5.
Following the graph, which of the statement/s is/are correct?
(a) The absolute conversion of N2O4 into NO2(N2O4 →2NO2) is spontaneous
(b) The dynamic conversion (N2O4⇔2NO2) at equilibrium point is spontaneous
(c) Formation of N2O4 is more spontaneous than dissociation
(d) Both process dissociation as well as formation are equally spontaneous.
Correct Answer is option (b, c)
As(positive) that’s why direct conversion I non-spontaneous. But at equilibrium point BN2O4 is dissociated upto equilibrium point (dissociation of that extent) spontaneous as ΔG° =-0.86kJ
Hence, dynamic conversion N2O4 upto equilibrium point is fairly spontaneous
Hence, dynamic conversion N2O4 into equilibrium mixture and 2NO4 into equilibrium mixture both are spontaneous But, as for the reverse process ΔG° is – 6.24 kJ (more than forward), that’s why more favourable.
Q.6. 100 ml of 0.5 M CH3COOH is dissolved is 200 ml of M/4
NaOH solution; which of the following statement is correct? (Given Ka = 10–5)
(a) Buffer solution will be formed
(b) Anionic hydrolysis will occur
(c) pH of resultant solution will be > 7 at 25°C
(d) Solution will be Neutral so pH = 7
Correct Answer is option (b, c)
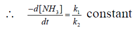
Q.7. pH of saturated aqueous solution of Ba(OH)2 is 12. Identify the correct statement.
(a) The solubility of Ba(OH)2 in a buffer solution of pH=13 is 5x 10–5 moles/L
(b) The solubility of Ba(OH)2 decreases in presence of NH4Cl
(c) The solubility of Ba(OH)2 in a buffer solution of pH=1 is 5 x 10–5 moles/L
(d) The solubility product of Ba(OH)2 is 5 x 10–7M3
Correct Answer is option (a, d)
Q.8. In which of the following solvent the solubility of AgCl is more than solubility of AgCl in cold water
(a) NaCl Solution
(b) solution of NH3
(c) AgNO3 solution
(d) Hot water
Correct Answer is option (b, d)
Ag+ ion combine with NH3 to form complex compound (Ag(NH3)2 ]2+ hence solubility of increase solubility of increase with temperature.
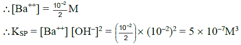
Q.9. 10 mL of a weak acid (HA) is 20% dissociated in water. The solution is completely neutralized by 10mL of 2 x10-3 M NaOH solution. Which of the following are true?
(a) pH of the weak acid is 3.4
(b) Ka of the weak acid is 10-4
(c) pH of the solution at the equivalence point is 7.5
(d) Kh of aq NaA is 10-9
Correct Answer is option (a, b and c)
pH at equivalence point = 7.5
Q.10. Identify the correct statement.
(a) H2O can act as Arrhenius acid, Lowry–Bronsted acid as well as Lewis acid
(b) At 25°C pKa of H2O is 15.75 and pKb is -1.75
(c) % dissociation of water at 25°C is 1.8 x 10-7
(d) pKa of H3O+ ion is –1.75 at 25°C (log 1.8 = 0.25)
Correct Answer is option (c, d)
(b) pKa and pKb of H2O are same 15.75
(c) % dissociation
(d) H2O can not act as Lewis acid.
|
446 docs|929 tests
|