Q.1. Which among the following is not true?
(a) Moist ethylene can be dried by passing it through concentrated H2SO4.
(b) Decolorization of Baeyer’s reagent is sure test of alkenes.
(c) Propene with diborane forms an additive product, which on reaction with H2O2 forms propanol.
(d) Lewisite is formed by the reaction of acetylene and arsenic trichloride.
Correct Answer is option (a, b)
Statement (A) is false: ethylene combines with H2SO4
Statement (B) is false: Reducing compounds can also decolorize Baeyer's reagent
Statement (C) is true
Statement (D) is true: Lewisite is a poisonous gas used during wars.
Q.2. Which of the following alkenes on reaction with dil. H2SO4 will give
(a) 
(b) 
(c) 
(d) 
Correct Answer is option (a, b, c, d)
Q.3. The ozonolysis product of
is
(a) 
(b) 
(C) Methyl glyoxal
(D) Dimethyl glyoxal
Correct Answer is option ( b, c, d)
Q.4.
The correct statement regarding (A) & (B)
(a) Compound (A) is 
(b) Compound (B) shows geometrical isomerism
(c) Compound (A) is optically active
(d) Compound (A) & (B) are stereoisomers
Correct Answer is option (a, b, c, d)
Q.5. Which of the following has at least one ‘sp’ hybridised ‘C’ but does not contain triple bond?
(a) Acetonitrile
(b) Triplet carbene
(c) Benzyne
(d) Allene
Correct Answer is option (b, d)
Triplet carbene:
sp-hybridisation
Allene : CH2 = C= CH2 → sp - hybridisation
Q.6. Which of the following reaction(s) can be used for the given reduction
(a) Clemmensen reaction
(b) Wolf-Kishner reaction
(c) Wurtz reaction
(d) HI and red phosphorus at 2000C
Correct Answer is option (a, b, d)
Wurtz reaction is not applicable for the above reduction hence, (A, B, D) is the correct answer.
Q.7. For the reaction:
Which of the following is/are correct?
(a) The reaction is E1 elimination
(b) The reaction is E2 is elimination
(c) Transition state has carbanion like character
(d) Transition state has carbocation like character
Correct Answer is option (b, c)
Transition state has carbanion like character.
Q.8. Which of the following products will be obtained if sample of
undergoes oxidative ozonolysis?
(a) 
(b) 
(c) CH3COOH
(d) 
Correct Answer is option (a, b, c, d)
Q.9. Compound (X) C4H8O decolorizes Baeyer’s reagent. It undergoes hydrolysis in dil H2SO4to give (Y) and (Z) where both Y and Z give positive iodoform test while only ‘Y’ responds to Tollens test but (Z) doesn’t. Choose the correct statements of the following:
(a)
CH3 - CH = CH - CHO
(b)
(c) 
(d)
Y + other product
Correct Answer is option (a, b, c)
CH2 = CH - O - CH2 - CH3
CHO + CH3CH2(z)OH
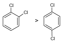
Q.10. Which order/s are correct regarding boiling point
(a) 
(b) 
(c) 
(d) 
Correct Answer is option (a, b, c, d)
As magnitude of dipole moment increases, b.p. increases i.e.
|
446 docs|929 tests
|