JEE Exam  >  JEE Notes  >  Chapter-wise Tests for JEE Main & Advanced  >  JEE Advanced (One or More Correct Option): Indefinite Integral

JEE Advanced (One or More Correct Option): Indefinite Integral | Chapter-wise Tests for JEE Main & Advanced PDF Download

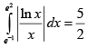
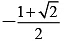
Q.1. If f'(x) = JEE Advanced (One or More Correct Option): Indefinite Integral | Chapter-wise Tests for JEE Main & Advanced and f(0) = JEE Advanced (One or More Correct Option): Indefinite Integral | Chapter-wise Tests for JEE Main & Advanced , then f(1) is equal to
(a) - log ( √2 - 1)
(b) 1
(c) 1 + √2
(d) log (1 + √2 )

Correct Answer is options (a, d)
JEE Advanced (One or More Correct Option): Indefinite Integral | Chapter-wise Tests for JEE Main & Advanced
= JEE Advanced (One or More Correct Option): Indefinite Integral | Chapter-wise Tests for JEE Main & Advanced
Putting x = 0, f(0) = c so c = JEE Advanced (One or More Correct Option): Indefinite Integral | Chapter-wise Tests for JEE Main & Advanced
and JEE Advanced (One or More Correct Option): Indefinite Integral | Chapter-wise Tests for JEE Main & Advanced
= log (1 + √2 ) = - log ( √2 - 1)

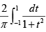
Q.2. The value of JEE Advanced (One or More Correct Option): Indefinite Integral | Chapter-wise Tests for JEE Main & Advanced must be same as
(a) JEE Advanced (One or More Correct Option): Indefinite Integral | Chapter-wise Tests for JEE Main & Advanced(e lies between 0 and 1)
(b) JEE Advanced (One or More Correct Option): Indefinite Integral | Chapter-wise Tests for JEE Main & Advanced, (e lies between 0 and 1)
(c) JEE Advanced (One or More Correct Option): Indefinite Integral | Chapter-wise Tests for JEE Main & Advanced , (e is greater than 1)
(d) JEE Advanced (One or More Correct Option): Indefinite Integral | Chapter-wise Tests for JEE Main & Advanced, (e is greater than 1)

Correct Answer is options (b, c)
JEE Advanced (One or More Correct Option): Indefinite Integral | Chapter-wise Tests for JEE Main & Advanced
If JEE Advanced (One or More Correct Option): Indefinite Integral | Chapter-wise Tests for JEE Main & Advanced So,  (B) is correct
If JEE Advanced (One or More Correct Option): Indefinite Integral | Chapter-wise Tests for JEE Main & Advanced So, (C) is correct. 

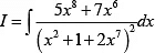
Q.3. If JEE Advanced (One or More Correct Option): Indefinite Integral | Chapter-wise Tests for JEE Main & Advanced, then
(a) A = 1/3
(b) B = -2
(c) A = 2/3
(d) B = -1

Correct Answer is options (a, b)
JEE Advanced (One or More Correct Option): Indefinite Integral | Chapter-wise Tests for JEE Main & Advanced
⇒ x2 + 2 = t2 + x2 – 2tx
JEE Advanced (One or More Correct Option): Indefinite Integral | Chapter-wise Tests for JEE Main & Advanced
So JEE Advanced (One or More Correct Option): Indefinite Integral | Chapter-wise Tests for JEE Main & Advanced
JEE Advanced (One or More Correct Option): Indefinite Integral | Chapter-wise Tests for JEE Main & Advanced

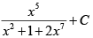
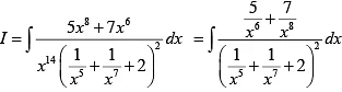
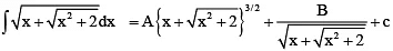
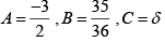
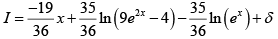
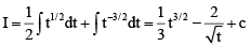
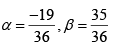
Q.4. If JEE Advanced (One or More Correct Option): Indefinite Integral | Chapter-wise Tests for JEE Main & Advanced, then
(a) A = 3/2
(b) B = 35/36
(c) C is indefinite
(d) A + B = -19/36

Correct Answer is options (b, c, d)
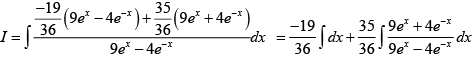
JEE Advanced (One or More Correct Option): Indefinite Integral | Chapter-wise Tests for JEE Main & Advanced
We write  JEE Advanced (One or More Correct Option): Indefinite Integral | Chapter-wise Tests for JEE Main & Advanced
So 9α + 9β = 4 -4α + 4β = 6
JEE Advanced (One or More Correct Option): Indefinite Integral | Chapter-wise Tests for JEE Main & Advanced
JEE Advanced (One or More Correct Option): Indefinite Integral | Chapter-wise Tests for JEE Main & Advanced
= JEE Advanced (One or More Correct Option): Indefinite Integral | Chapter-wise Tests for JEE Main & Advanced ,  where  δ is integration constant
JEE Advanced (One or More Correct Option): Indefinite Integral | Chapter-wise Tests for JEE Main & Advanced
= JEE Advanced (One or More Correct Option): Indefinite Integral | Chapter-wise Tests for JEE Main & Advanced
On comparing with I = Ax + B ln (9e2x - 4) + C
JEE Advanced (One or More Correct Option): Indefinite Integral | Chapter-wise Tests for JEE Main & Advanced is indefinite

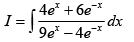
Q.5. If JEE Advanced (One or More Correct Option): Indefinite Integral | Chapter-wise Tests for JEE Main & Advanced then I is equal to
(a) JEE Advanced (One or More Correct Option): Indefinite Integral | Chapter-wise Tests for JEE Main & Advanced
(b) JEE Advanced (One or More Correct Option): Indefinite Integral | Chapter-wise Tests for JEE Main & Advanced
(c) JEE Advanced (One or More Correct Option): Indefinite Integral | Chapter-wise Tests for JEE Main & Advanced
(d) JEE Advanced (One or More Correct Option): Indefinite Integral | Chapter-wise Tests for JEE Main & Advanced

Correct Answer is options (a, d)
We can write
JEE Advanced (One or More Correct Option): Indefinite Integral | Chapter-wise Tests for JEE Main & Advanced
Put JEE Advanced (One or More Correct Option): Indefinite Integral | Chapter-wise Tests for JEE Main & Advanced so that
JEE Advanced (One or More Correct Option): Indefinite Integral | Chapter-wise Tests for JEE Main & Advanced

Q.6. Which of the following options is/are correct?
(a) JEE Advanced (One or More Correct Option): Indefinite Integral | Chapter-wise Tests for JEE Main & Advanced , where { x} is fractional part of x .
(b) JEE Advanced (One or More Correct Option): Indefinite Integral | Chapter-wise Tests for JEE Main & Advanced
(c) JEE Advanced (One or More Correct Option): Indefinite Integral | Chapter-wise Tests for JEE Main & Advanced
(d) JEE Advanced (One or More Correct Option): Indefinite Integral | Chapter-wise Tests for JEE Main & Advanced

Correct Answer is options (b, c)
JEE Advanced (One or More Correct Option): Indefinite Integral | Chapter-wise Tests for JEE Main & Advanced
= JEE Advanced (One or More Correct Option): Indefinite Integral | Chapter-wise Tests for JEE Main & Advanced
= 11
JEE Advanced (One or More Correct Option): Indefinite Integral | Chapter-wise Tests for JEE Main & Advanced
= JEE Advanced (One or More Correct Option): Indefinite Integral | Chapter-wise Tests for JEE Main & Advanced
= JEE Advanced (One or More Correct Option): Indefinite Integral | Chapter-wise Tests for JEE Main & Advanced
JEE Advanced (One or More Correct Option): Indefinite Integral | Chapter-wise Tests for JEE Main & Advanced
= JEE Advanced (One or More Correct Option): Indefinite Integral | Chapter-wise Tests for JEE Main & Advanced
= JEE Advanced (One or More Correct Option): Indefinite Integral | Chapter-wise Tests for JEE Main & Advanced
= JEE Advanced (One or More Correct Option): Indefinite Integral | Chapter-wise Tests for JEE Main & Advanced
JEE Advanced (One or More Correct Option): Indefinite Integral | Chapter-wise Tests for JEE Main & Advanced
put x = cosθ ⇒ dx = - sinθ dθ
JEE Advanced (One or More Correct Option): Indefinite Integral | Chapter-wise Tests for JEE Main & Advanced

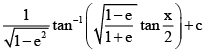
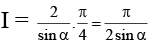
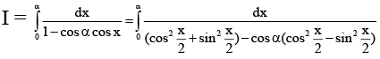
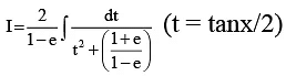
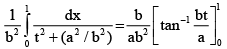
Q.7. If JEE Advanced (One or More Correct Option): Indefinite Integral | Chapter-wise Tests for JEE Main & Advanced. Then possible values of A and B are
(A) A = π/2, B = 0
(B) A = π/4, B = π/4sinα
(C) A = π/6, B = π/sinα
(D) A = π, B = π/sinα

Correct Answer is options (a, b)
JEE Advanced (One or More Correct Option): Indefinite Integral | Chapter-wise Tests for JEE Main & Advanced
JEE Advanced (One or More Correct Option): Indefinite Integral | Chapter-wise Tests for JEE Main & Advanced
JEE Advanced (One or More Correct Option): Indefinite Integral | Chapter-wise Tests for JEE Main & Advanced
Put tan x/2 =  t
JEE Advanced (One or More Correct Option): Indefinite Integral | Chapter-wise Tests for JEE Main & Advanced
JEE Advanced (One or More Correct Option): Indefinite Integral | Chapter-wise Tests for JEE Main & Advanced
JEE Advanced (One or More Correct Option): Indefinite Integral | Chapter-wise Tests for JEE Main & Advanced
Thus, JEE Advanced (One or More Correct Option): Indefinite Integral | Chapter-wise Tests for JEE Main & Advanced 
⇒ A = 2π, B = 0 and A = π/4, B = π/4sinα Satisfy the last equation.

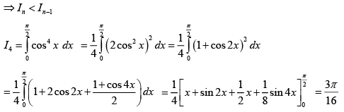
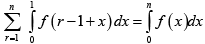
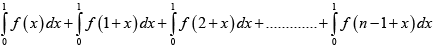
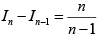
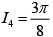
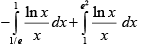
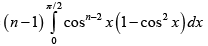
Q.8. Let JEE Advanced (One or More Correct Option): Indefinite Integral | Chapter-wise Tests for JEE Main & Advanced is natural number,  then
(a) JEE Advanced (One or More Correct Option): Indefinite Integral | Chapter-wise Tests for JEE Main & Advanced
(b) JEE Advanced (One or More Correct Option): Indefinite Integral | Chapter-wise Tests for JEE Main & Advanced
(c) JEE Advanced (One or More Correct Option): Indefinite Integral | Chapter-wise Tests for JEE Main & Advanced
(d) JEE Advanced (One or More Correct Option): Indefinite Integral | Chapter-wise Tests for JEE Main & Advanced

Correct Answer is options (a, b)
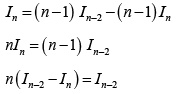
JEE Advanced (One or More Correct Option): Indefinite Integral | Chapter-wise Tests for JEE Main & Advanced
= JEE Advanced (One or More Correct Option): Indefinite Integral | Chapter-wise Tests for JEE Main & Advanced
= JEE Advanced (One or More Correct Option): Indefinite Integral | Chapter-wise Tests for JEE Main & Advanced
JEE Advanced (One or More Correct Option): Indefinite Integral | Chapter-wise Tests for JEE Main & Advanced
Clearly In-2 > In
Also for JEE Advanced (One or More Correct Option): Indefinite Integral | Chapter-wise Tests for JEE Main & Advanced
0 < cos x < 1
So, cosnx < cosn-1x
JEE Advanced (One or More Correct Option): Indefinite Integral | Chapter-wise Tests for JEE Main & Advanced

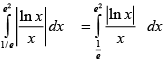
Q.9. The value of the integral JEE Advanced (One or More Correct Option): Indefinite Integral | Chapter-wise Tests for JEE Main & Advanced is
(a) JEE Advanced (One or More Correct Option): Indefinite Integral | Chapter-wise Tests for JEE Main & Advanced
(b) JEE Advanced (One or More Correct Option): Indefinite Integral | Chapter-wise Tests for JEE Main & Advanced
(c) JEE Advanced (One or More Correct Option): Indefinite Integral | Chapter-wise Tests for JEE Main & Advanced
(d) JEE Advanced (One or More Correct Option): Indefinite Integral | Chapter-wise Tests for JEE Main & Advanced

Correct Answer is options (a, b, c)
JEE Advanced (One or More Correct Option): Indefinite Integral | Chapter-wise Tests for JEE Main & Advanced [for a = 1, b = 1]
Also, JEE Advanced (One or More Correct Option): Indefinite Integral | Chapter-wise Tests for JEE Main & Advanced (t = tanx)
= JEE Advanced (One or More Correct Option): Indefinite Integral | Chapter-wise Tests for JEE Main & Advanced (a ≠ 0, b ≠ 0)
= JEE Advanced (One or More Correct Option): Indefinite Integral | Chapter-wise Tests for JEE Main & Advanced

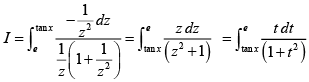
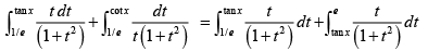
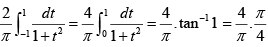
Q.10. The value of JEE Advanced (One or More Correct Option): Indefinite Integral | Chapter-wise Tests for JEE Main & Advanced is
(a) JEE Advanced (One or More Correct Option): Indefinite Integral | Chapter-wise Tests for JEE Main & Advanced
(b) 1
(c) π/4
(d) JEE Advanced (One or More Correct Option): Indefinite Integral | Chapter-wise Tests for JEE Main & Advanced

Correct Answer is options (b, d)
Let JEE Advanced (One or More Correct Option): Indefinite Integral | Chapter-wise Tests for JEE Main & Advanced Put t = 1/z
JEE Advanced (One or More Correct Option): Indefinite Integral | Chapter-wise Tests for JEE Main & Advanced
JEE Advanced (One or More Correct Option): Indefinite Integral | Chapter-wise Tests for JEE Main & Advanced
JEE Advanced (One or More Correct Option): Indefinite Integral | Chapter-wise Tests for JEE Main & Advanced
= JEE Advanced (One or More Correct Option): Indefinite Integral | Chapter-wise Tests for JEE Main & Advanced
Also, JEE Advanced (One or More Correct Option): Indefinite Integral | Chapter-wise Tests for JEE Main & Advanced
= 1

The document JEE Advanced (One or More Correct Option): Indefinite Integral | Chapter-wise Tests for JEE Main & Advanced is a part of the JEE Course Chapter-wise Tests for JEE Main & Advanced.
All you need of JEE at this link: JEE
446 docs|929 tests
Related Searches

Free

,

Semester Notes

,

Important questions

,

Previous Year Questions with Solutions

,

past year papers

,

JEE Advanced (One or More Correct Option): Indefinite Integral | Chapter-wise Tests for JEE Main & Advanced

,

JEE Advanced (One or More Correct Option): Indefinite Integral | Chapter-wise Tests for JEE Main & Advanced

,

ppt

,

Viva Questions

,

JEE Advanced (One or More Correct Option): Indefinite Integral | Chapter-wise Tests for JEE Main & Advanced

,

video lectures

,

MCQs

,

pdf

,

Objective type Questions

,

Exam

,

Sample Paper

,

study material

,

mock tests for examination

,

Summary

,

practice quizzes

,

shortcuts and tricks

,

Extra Questions

;