Q.1. A small body of density ρ' is dropped from rest at a height h into a lake of density ρ', where ρ > ρ'. Which of the following statement or statements is or are correct if all dissipative effects are neglected?
(a) the speed of the body just entering the lake is 2gh.
(b) the body in the lake experiences upward acceleration equal to {(ρ/ρ') - 1} g.
(c) the maximum depth to which the body sinks in the lake is hρ'/(ρ - ρ').
(d) the body does not come back to the surface of the lake.
Correct Answer is option (b and c)
By principle of conservation of energy, we get
Since, ρ > ρ', the buoyant force of the lake is greater than the weight of the body. If a is the upward acceleration, then
ma = ρ gV - ρ' gV
or (ρ'V) a = ρgV - ρ' gV
Cancelling V on both sides, we get
To find the maximum depth, we get
v2 =
where v0 is the velocity at y = 0, v = 0 is the velocity at maximum depth and y is the negative displacement from the surface to the maximum depth. With these, we get![]()
Hence
Depth =
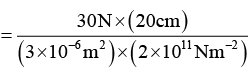
Q.2. A block of weight 10 N is attached to one end of a wire of cross-sectional area 30 mm2 and is rotated in a vertical circle of radius 20 cm. The speed of the block at the bottom of the circle is 2 m/s–1 (Y = 2 × 1011 Nm–2)
(a) the elongation of the wire when the block is at the bottom of the circle is 10–3 cm
(b) the elongation of the wire when the block is at the top of the circle is 10–2 cm
(c) tension in the wire at lowest position is 30 N
(d) tension in the wire is 20 N
Correct Answer is option (a and c)
T - W = mv2 / r
or T = W+ mv2 / r
we have Y =
or l = TL/AY
= 5 x 10-5 x 20cm = 10-3 cm
Q.3. A tank is filled upto a height h with a liquid and is placed on a platform of height h from the ground. To get maximum range xm a small hole is punched at a distance of y from the free surface of the liquid. Then:
(a) xm = 2h
(b) xm = 1.5 h
(c) y = h
(d) y = 0.75 h
Correct Answer is option (a and c)
This is similar to the case as if a tank is filled with a liquid upto a height of 2h.
In that case range becomes maximum when hole in punched at the centre and the maximum range is equal to the level of liquid in the tank.
Q.4. A circular cylinder of radius R and height H is filled with water to a height 2/3 H. It starts rotating about its axis with constantly increasing angular speed. Choose the correct alternatives.
(a) at all speeds, shape of the free surface is parabolloid.
(b) the free surface touches first the brim of cylinder and then the base of the cylinder.
(c) the free surface cannot touch the base without spilling water.
(d) the free surface touches the brim as well as base at the same instant.
Correct Answer is option (a, b and c)
The equation of the free surface is
When the free surface touches the brim of the cylinder, the lowest point of the paraboloid is at a height H/3 above the base, as shown in figure (B) When lowest point of the free surface touches the base of the cylinder, the height of water in the tank must be H/2. It means that the water must spill out.
Q.5. A metal rod is fixed in horizontal position and a force of magnitude F is applied as shown. If RA = force by wall A and RB = force by wall B, then -
(a) RA = F/2
(b) RB = 3F/2
(c)RA = 2F/3
(d) RB = F/3
Correct Answer is option (c and d)
RA + RB = f
and elongation in both parts must be same
or 2BB = RA
Q.6. Water is being poured in a vessel at a constant rate α m3/s. There is a small hole of area a at the bottom of the tank. The maximum level of water in the vessel is proportional to :
(a) α
(b) α2
(c) a–1
(d) a–2
Correct Answer is option (b and d)
Level of water in the vessel will be maximum when rate of inflow of water = rate of outflow of water.
or α = av
i.e., h ∝ α2 and h ∝ a-2
Q.7. A tube is filled with a liquid as shown in figure. Then –
(a) Liquid will spill out left tube if the tube is accelerated towards right horizontal direction with a > g/2
(b) Liquid will spill out right tube if tube is rotated about left arm with angular velocity W > 
(c) Liquid will not spill out the tube if it is rotated about axis AA' no matter what angular speed is
(d) Liquid will spill out the tube if it is rotated about axis BB' with angular velocity ω > 
Correct Answer is option (a, b and c)
Figure ‘1’ shows condition of just spilling out of liquid, when tube is accelerated horizontally.tan θ = 2b/4b = 1/2
Also, tan θ = a/g [a = acceleration of U tube]
⇒ a = g/2
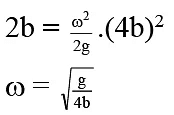
Figure 2 Shows condition of just spilling out of water its rotated about left arm.
At x = 4b
y = 2b
Putting value in y =
Q.8. Density of water is ρw and density of mercury ρHg. The valve is opened. Then which of the following is/are true
(a) Height of level of mercury in the left container is 
(b) Pressure at the bottom of left container is 
(c) Height of level of mercury in right container is 
(d) Pressure at the bottom of right container is 
Correct Answer is option (a, b and c)
(a) ρHg > ρw
PA = PB⇒ ρw g hw + ρHg g H = ρHg g(1 - H)
⇒ H =
(b) PA = PB = ρHgg (1 - H)
(c) 1 – H = 1 –
Q.9. A liquid of density ρ filled in the vessel as shown is rotated with constant angular velocity 'ω' about the axis passing through the middle. The radius of cylinder is R. Then -
(a) The minimum value of 'w' for which the liquid comes out is
(b) The value of 'w' for which the base of container is just exposed is
(c) Volume of liquid remaining in the container in case (B) is 
(d) Gauge pressure at point A in the container in case (B) is ρgH .
Correct Answer is option (a, b, c and d)
(a) as Hmax. = H0 + ω2R2/4g
∴ Hmax. = H, H0 = 3H/4
(b) as H = Hmin. + ω2R2/2g
∴ Hmin. = 0, H= H, r = R
(c) volume remaining = (0+ h/2) πR2
Q.10. A stick is tied to the floor of the water tank with a string as shown in the figure. The length of stick is 2m. Area of crosssection of stick is 10–3 m2. Specific gravity of stick is 0.25. Take g = 10m/s2. Then –
(a) Tension in the string is 5N
(b) Buoyancy force acting on stick is 10 N
(c) Length of stick immersed in water is 1m
(d) When string is cut initial acceleration of stick is 10m/s2
Correct Answer is option (a, b, c and d)
As T + mg = FB ...(1)
Taking torque FB × x/2 cosθ = mg l/2 cos θ
∴ FB x = mgλ
Now, FB = (Ax) ρwg and mg = (Aλ) ρsg
|
446 docs|929 tests
|