JEE Exam  >  JEE Notes  >  Chapter-wise Tests for JEE Main & Advanced  >  JEE Advanced (One or More Correct Option): Units & Measurement

JEE Advanced (One or More Correct Option): Units & Measurement | Chapter-wise Tests for JEE Main & Advanced PDF Download

Q.1. Which of the following sets cannot enter into the list of fundamental quantities in any newly proposed system of units?
(a) length, mass and velocity
(b) pressure, density and velocity
(c) force, velocity and time
(d) force, momentum and time

Correct Answer is option (b, d)
For (A): Length [L], mass [M] and velocity [LT–1] are independent.
For (B):  Pressure [M'L–1T–2], density [M'L–3T0] and velocity [M0LT–1] are dependent as
JEE Advanced (One or More Correct Option): Units & Measurement | Chapter-wise Tests for JEE Main & Advanced= 1(3 - 0) + 1(-1-0) -2(1 - 0) = 0
Note: Like coplanar vectors, for dependent quantites, determinant of powers of M, L, T’s must be zero.
For (C): Force [MLT–2], velocity [LT–1] and time [T] are independent as
JEE Advanced (One or More Correct Option): Units & Measurement | Chapter-wise Tests for JEE Main & Advanced = 1(1 - 0) - 1 (0 - 0) - 2(0 - 0) = 1 ≠ 0
For (D): ⇒ force, momentum and time are dependent.

Q.2. If A and B are two physical quantities having different dimensions then which of the following can denote a new physical quantity?
(a)  A + A3/B
(b) exp (-A/B)
(c) AB2 
(d) A/B
4

Correct Answer is option (a, c and d)
For (A): A and A3/B may have same dimension.
For (B): As A and B have different dimension so exp
JEE Advanced (One or More Correct Option): Units & Measurement | Chapter-wise Tests for JEE Main & Advancedmeaningless.

For (C): AB2 is meaningful.

For (D): AB–4 is meaningful.

Q.3. If the dimensions of a physical quantity are given by MxLyTz, then physical quantity may be
(a) acceleration due to gravity, if x = 0, y = 1, z = –2
(b) atmospheric pressure, if x = 1, y = 1, z = –2
(c) linear momentum, if x = 1, y = 1, z = –1
(d) potential energy, if x = 1, y = 2, z = –2

Correct Answer is option (a, c and d)
For (A): [Acceleration] = [LT–2]
For (B): [Pressure] = [ML–1T–2]
For (C): [Momentum] = [MLT–1]
For (D): [Energy] = [ML2T–2]

Q.4. The Vander wall's equation for n moles of a real gas is given by JEE Advanced (One or More Correct Option): Units & Measurement | Chapter-wise Tests for JEE Main & Advanced (v - nb) =  nRT, where P = pressure of gas
V = volume of gas
T = temperature of gas
R = molar gas constant
a & b = Vander wall's constants
Which of the following have the same dimensions as those of nRT.
(a) PV
(b) αV/b2
(c) PV2/nb

(d) nα/b

Correct Answer is option (a, b, c and d)

Here [P] = JEE Advanced (One or More Correct Option): Units & Measurement | Chapter-wise Tests for JEE Main & Advancedso [PV] = [nRT]
Also ⇒ JEE Advanced (One or More Correct Option): Units & Measurement | Chapter-wise Tests for JEE Main & Advanced

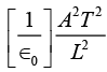
Q.5. Let [∈0] denote the dimensional formula of the permittivity of the vacuum and [µ0] that of the permeability of the vacuum. If M = mass, L = length, T = time and I = electric current-
(a) [∈0] = [M-1L-3T2 I]
(b) [∈0] = [M-1L-3T4 I2]
(c) [μ0] = [MLT-2 I-2]
(d) [μ0] = [ML2T-1 I]

Correct Answer is option (b and c)

JEE Advanced (One or More Correct Option): Units & Measurement | Chapter-wise Tests for JEE Main & Advanced⇒ MLT-2 =JEE Advanced (One or More Correct Option): Units & Measurement | Chapter-wise Tests for JEE Main & Advanced
⇒ [1/0]= M1L3A–2T–4  ⇒ [0] = M-1L-3A + 2T4
JEE Advanced (One or More Correct Option): Units & Measurement | Chapter-wise Tests for JEE Main & Advanced
[ML–2] = 0A2/L] ⇒  MLT-2T-2

Q.6. The SI unit of the inductance, the henry can by written as –
(a) Weber/ampere
(b) Volt–second/ampere
(c) Joule/(ampere)2
(d) Ohm–second 

Correct Answer is option (a, b, c and d)

JEE Advanced (One or More Correct Option): Units & Measurement | Chapter-wise Tests for JEE Main & Advanced (Henery)

E = 1/2 

= Time constant; [L] = ohm–sec f = LI Þ weber Ampere = L(Henery) 

E = 1/2 ⇒ LI2 =JEE Advanced (One or More Correct Option): Units & Measurement | Chapter-wise Tests for JEE Main & Advanced

Q.7. Dimension of Young's Modulus are same as
(a) Pressure
(b) Energy density
(c) Work per unit volume
(d) Torque

Correct Answer is option (a, b, c)

Q.8. Select the correct one -
(a) 1.5 × 1.5 = 2.3
(b) 1.5 × 1.5 = 2.2
(c) 1.5/1.5 = 1
(d) 1.5/1.5= 1.0

Correct Answer is option (b and d)
1.5 × 1.5 = 2.25
= 2.2 (2 Significant figure)
1.5/1.5 = 1.0 (2 significant figure)

Q.9. A book with many printing errors contains four different expressions for the displacement y of a particle executing simple harmonic motion -
(a) y = A sin (2πt/T)
(b) y = A sin vt
(c) y = (A/T) sin (t/A)
(d) y = (A/√2 ) (sin ωt + cos ωt)
 

Correct Answer is option (b and c)
Find the wrong formulae on dimensional ground. (where A is length)
[vt] ≠ 1 ∴ option B wrong
[A/T] ≠ [y] ∴ option C wrong 

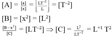
Q.10. Acceleration of a particle is given by a = Ax + B - x2/C , where x is position of the particle and A, B and C are constant
(a) Dimensional formula of A is [T–2]
(b) Dimensional formula of B is [L2T–2]
(c) Dimensional formula of C is [L+1 T+2]
(d) Dimensional formula of B/C is [LT–2]

Correct Answer is option (A, c and d)

[a] = [A] [x]
JEE Advanced (One or More Correct Option): Units & Measurement | Chapter-wise Tests for JEE Main & Advanced

The document JEE Advanced (One or More Correct Option): Units & Measurement | Chapter-wise Tests for JEE Main & Advanced is a part of the JEE Course Chapter-wise Tests for JEE Main & Advanced.
All you need of JEE at this link: JEE
446 docs|929 tests
Related Searches

practice quizzes

,

JEE Advanced (One or More Correct Option): Units & Measurement | Chapter-wise Tests for JEE Main & Advanced

,

pdf

,

Important questions

,

study material

,

Objective type Questions

,

JEE Advanced (One or More Correct Option): Units & Measurement | Chapter-wise Tests for JEE Main & Advanced

,

mock tests for examination

,

video lectures

,

MCQs

,

JEE Advanced (One or More Correct Option): Units & Measurement | Chapter-wise Tests for JEE Main & Advanced

,

Viva Questions

,

Summary

,

shortcuts and tricks

,

Sample Paper

,

Previous Year Questions with Solutions

,

Free

,

Semester Notes

,

past year papers

,

ppt

,

Extra Questions

,

Exam

;