JEE Exam  >  JEE Notes  >  Chapter-wise Tests for JEE Main & Advanced  >  JEE Advanced (Single Correct Type): Atoms & Nuclei

JEE Advanced (Single Correct Type): Atoms & Nuclei | Chapter-wise Tests for JEE Main & Advanced PDF Download

Q.1. The ratio of the speed of electrons in the ground state of hydrogen to the speed of light in vacuum is
(a) 1/2
(b) 2/137
(c) 1/137
(d) 1/237

Correct Answer is option (c)
Speed of electron in nth orbit of hydrogen atom v =
JEE Advanced (Single Correct Type): Atoms & Nuclei | Chapter-wise Tests for JEE Main & Advanced
In ground state
JEE Advanced (Single Correct Type): Atoms & Nuclei | Chapter-wise Tests for JEE Main & Advanced
JEE Advanced (Single Correct Type): Atoms & Nuclei | Chapter-wise Tests for JEE Main & Advanced
JEE Advanced (Single Correct Type): Atoms & Nuclei | Chapter-wise Tests for JEE Main & Advanced

Q.2. A sodium atom is in one of the states labeled 'Lowest excited levels'. It remains in that state for an average time of 10–8 sec, before it makes a transition back to a ground state. What is the uncertainty in energy of that excited state?
(a) 6.56 × 10-8 eV 
(b) 2 × 10-8 eV 
(c) 10-8 eV
(d) 8 × 10-8 eV

Correct Answer is option (a)
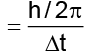
The average time that the atom spends in this excited state is equal to Δt, so by using ΔE.Δt = h/2π
⇒ Uncertainty in energy JEE Advanced (Single Correct Type): Atoms & Nuclei | Chapter-wise Tests for JEE Main & Advanced

JEE Advanced (Single Correct Type): Atoms & Nuclei | Chapter-wise Tests for JEE Main & Advanced

Q.3. An energy of 24.6 eV is required to remove one of the electrons from a neutral helium atom. The energy (in eV) required to remove both the electrons from a neutral helium atom is
(a) 79.0
(b) 51.8
(c) 49.2
(d) 38.2

Correct Answer is option (a)
After the removal of first electron remaining atom will be hydrogen like atom.
So energy required to remove second electron from the atom
JEE Advanced (Single Correct Type): Atoms & Nuclei | Chapter-wise Tests for JEE Main & Advanced
Total energy required = 24.6 + 54.4 = 79 eV.

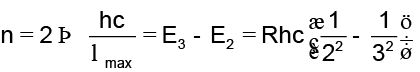
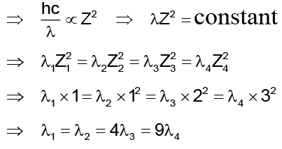
Q.4. Hydrogen (H), deuterium (D), singly ionized helium (He+) and doubly ionized lithium (Li) all have one electron around the nucleus. Consider n = 2 to n = 1 transition. The wavelengths of emitted radiations are λ1, λ2, λ3 and λ4 respectively. Then approximately
(a) λ1 = λ2 = 4λ3 =9λ4
(b) 4λ1 = 2λ2 = 2λ3 = λ4
(c) λ1 = 2λ2 = 2√2λ3 = 3√2λ4
(d) λ1 = λ2 = 2λ3 = 3√2λ
4

Correct Answer is option (a)
Using ΔE ∝ Z2   (∵ n1 and n2 are same)
JEE Advanced (Single Correct Type): Atoms & Nuclei | Chapter-wise Tests for JEE Main & Advanced

Q.5. The number of revolutions per second made by an electron in the first Bohr orbit of hydrogen atom is of the order of 3
(a) 1020
(b) 1019
(c) 1017
(d) 1015

Correct Answer is option (d)
mvr = h/2π (for first orbit)
JEE Advanced (Single Correct Type): Atoms & Nuclei | Chapter-wise Tests for JEE Main & Advanced
JEE Advanced (Single Correct Type): Atoms & Nuclei | Chapter-wise Tests for JEE Main & Advanced
JEE Advanced (Single Correct Type): Atoms & Nuclei | Chapter-wise Tests for JEE Main & Advanced

Q.6. Consider an electron (m = 9.1 × 10−31 kg) confined by electrical forces to move between two rigid walls separated by 1.0 × 10−9 metre, which is about five atomic diameter. The quantised energy value for the lowest stationary state is:
(a) 12 × 10−20J
(b) 6.0 × 10−20J
(c) 6.0 × 10−18J
(d) 6J

Correct Answer is option (b)
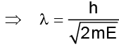
It will form a stationary wave
λ = 2ℓ = 2 × 10−9m
JEE Advanced (Single Correct Type): Atoms & Nuclei | Chapter-wise Tests for JEE Main & Advanced
JEE Advanced (Single Correct Type): Atoms & Nuclei | Chapter-wise Tests for JEE Main & Advanced
JEE Advanced (Single Correct Type): Atoms & Nuclei | Chapter-wise Tests for JEE Main & Advanced

Q.7. In a hypothetical Bohr hydrogen, the mass of the electron is doubled. The energy E0 and the radius r0 of the first orbit will be (a0 is the Bohr radius)
(a) E0 = -27.2 eV; r0 = a0/2
(b) E0 = -27.2 eV; r0 = a0
(c) E0 = -13.6 eV; r0 = a0/2
(d) E0 = -13.6 eV; r0 = a
0

Correct Answer is option (a)
Here radius of electron orbit r ∝ 1/m and energy E ∝ m,
where m is the mass of the electron.
Hence energy of hypothetical atom
E0 = 2 × (-13.6 eV) = -27.2 eV eV and radius r0 = a0/2

Q.8. A neutron with velocity V strikes a stationary deuterium atom, its kinetic energy changes by a factor of
(a) 15/16
(b) 1/2
(c) 2/1
(d) None of these

Correct Answer is option (d)
Neutron velocity ¾ v, mass ¾ m
Deuteron contains 1 neutron and 1 proton, mass ¾ 2m
JEE Advanced (Single Correct Type): Atoms & Nuclei | Chapter-wise Tests for JEE Main & Advanced
In elastic collision both momentum and K.E. are conserved Pi¾ pf
mv = m1v2 + m2v2 ⇒ mv = mv1 + 2mv2 ... (i)
By conservation of kinetic energy
JEE Advanced (Single Correct Type): Atoms & Nuclei | Chapter-wise Tests for JEE Main & Advanced.. (ii)
By solving (i) and (ii) we get
JEE Advanced (Single Correct Type): Atoms & Nuclei | Chapter-wise Tests for JEE Main & Advanced
JEE Advanced (Single Correct Type): Atoms & Nuclei | Chapter-wise Tests for JEE Main & Advanced(Fractional change in K.E.)

Q.9. Imagine an atom made up of a proton and a hypothetical particle of double the mass of the electron but having the same charge as the electron. Apply the Bohr's atom model and consider all possible transitions of this hypothetical particle to the first excited level. The longest wavelength photon that will be emitted has wavelength l (given in terms of the Rydberg constant R for the hydrogen atom) equal to
(a) 9 / (5R) 
(b) 36 / (5R) 
(c) 18 / (5R) 
(d) 4 / R

Correct Answer is option (c)
In hydrogen atom En = - Rhc/n2
 Also En µm ; where m is the mass of the electron.
Here the electron has been replaced by a particle whose mass is double of an electron.
Therefore, for this hypothetical atom energy in nth orbit will be given by
JEE Advanced (Single Correct Type): Atoms & Nuclei | Chapter-wise Tests for JEE Main & Advanced
The longest wavelength lmax (or minimum energy) photon will correspond to the transition of particle from n =3 to
JEE Advanced (Single Correct Type): Atoms & Nuclei | Chapter-wise Tests for JEE Main & Advanced
This givesJEE Advanced (Single Correct Type): Atoms & Nuclei | Chapter-wise Tests for JEE Main & Advanced

Q.10. The sun radiates energy in all directions. The average radiations received on the earth surface from the sun is 1.4 kilowatt/m2. The average earth-sun distance is 1.5 × 1011 m . The mass lost by the sun per day is (1 day ¾ 864 seconds)
(a) 4.4 × 109 kg
(b) 7.6 × 1014 kg
(c) 3.8 × 1012 kg

Correct Answer is option (d)
Energy radiated ¾ 1.4 kW/m2
JEE Advanced (Single Correct Type): Atoms & Nuclei | Chapter-wise Tests for JEE Main & Advanced
JEE Advanced (Single Correct Type): Atoms & Nuclei | Chapter-wise Tests for JEE Main & Advanced
Total energy radiated/day
JEE Advanced (Single Correct Type): Atoms & Nuclei | Chapter-wise Tests for JEE Main & Advanced
JEE Advanced (Single Correct Type): Atoms & Nuclei | Chapter-wise Tests for JEE Main & Advanced
JEE Advanced (Single Correct Type): Atoms & Nuclei | Chapter-wise Tests for JEE Main & Advanced

The document JEE Advanced (Single Correct Type): Atoms & Nuclei | Chapter-wise Tests for JEE Main & Advanced is a part of the JEE Course Chapter-wise Tests for JEE Main & Advanced.
All you need of JEE at this link: JEE
446 docs|929 tests
Related Searches

study material

,

Viva Questions

,

video lectures

,

Exam

,

Extra Questions

,

MCQs

,

JEE Advanced (Single Correct Type): Atoms & Nuclei | Chapter-wise Tests for JEE Main & Advanced

,

JEE Advanced (Single Correct Type): Atoms & Nuclei | Chapter-wise Tests for JEE Main & Advanced

,

Previous Year Questions with Solutions

,

practice quizzes

,

ppt

,

mock tests for examination

,

Free

,

Semester Notes

,

Objective type Questions

,

past year papers

,

Important questions

,

JEE Advanced (Single Correct Type): Atoms & Nuclei | Chapter-wise Tests for JEE Main & Advanced

,

Summary

,

Sample Paper

,

shortcuts and tricks

,

pdf

;