JEE Exam  >  JEE Notes  >  Chapter-wise Tests for JEE Main & Advanced  >  JEE Advanced (Single Correct Type): Dual Nature of Matter & Radiation

JEE Advanced (Single Correct Type): Dual Nature of Matter & Radiation | Chapter-wise Tests for JEE Main & Advanced PDF Download

Q.1. What is the de-Broglie wavelength of the a-particle accelerated through a potential difference V
(a) JEE Advanced (Single Correct Type): Dual Nature of Matter & Radiation | Chapter-wise Tests for JEE Main & Advanced
(b) JEE Advanced (Single Correct Type): Dual Nature of Matter & Radiation | Chapter-wise Tests for JEE Main & Advanced
(c) JEE Advanced (Single Correct Type): Dual Nature of Matter & Radiation | Chapter-wise Tests for JEE Main & Advanced
(d) 
JEE Advanced (Single Correct Type): Dual Nature of Matter & Radiation | Chapter-wise Tests for JEE Main & Advanced

Correct Answer is option (c)
JEE Advanced (Single Correct Type): Dual Nature of Matter & Radiation | Chapter-wise Tests for JEE Main & Advanced
On putting Q 2 x 1.6 x 10-19 C
ma = 4mp =  4 x 1.67 x 10-27 kg
JEE Advanced (Single Correct Type): Dual Nature of Matter & Radiation | Chapter-wise Tests for JEE Main & Advanced

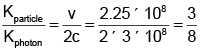
Q.2. The de-Broglie wavelength of a particle moving with a velocity 2.25 x 10m/s is equal to the wavelength of photon. The ratio of kinetic energy of the particle to the energy of the photon is (velocity of light is 3 x 108 m/s)
(a) 1/8
(b) 3/8
(c) 5/8
(d) 7/8 

Correct Answer is option (b)
JEE Advanced (Single Correct Type): Dual Nature of Matter & Radiation | Chapter-wise Tests for JEE Main & Advanced
⇒ Kparticle = 1/2 x h / v x v2 = vh / 2l …(i)
⇒ Kparticle = hc / l …(ii)
JEE Advanced (Single Correct Type): Dual Nature of Matter & Radiation | Chapter-wise Tests for JEE Main & Advanced

Q.3. The kinetic energy of electron and proton is 10–32 J. Then the relation between their de-Broglie wavelengths is
(a) lp < le 
(b) lp > le 
(c) lp = le 
(d) lp = 2l
e

Correct Answer is option (a)
By using
JEE Advanced (Single Correct Type): Dual Nature of Matter & Radiation | Chapter-wise Tests for JEE Main & Advanced
E = 10-32 J ¾ Constant for both particles.
Hence JEE Advanced (Single Correct Type): Dual Nature of Matter & Radiation | Chapter-wise Tests for JEE Main & Advanced Since mp > me so lp < le

Q.4. The de-Broglie wavelength of a particle accelerated with 150 volt potential is 10–10 m. If it is accelerated by 600 volts p.d., its wavelength will be
(a) 0.25 Å
(b) 0.5 Å
(c) 1.5 Å
(d) 2 Å 

Correct Answer is option (b)
By using JEE Advanced (Single Correct Type): Dual Nature of Matter & Radiation | Chapter-wise Tests for JEE Main & Advanced 
JEE Advanced (Single Correct Type): Dual Nature of Matter & Radiation | Chapter-wise Tests for JEE Main & Advanced
JEE Advanced (Single Correct Type): Dual Nature of Matter & Radiation | Chapter-wise Tests for JEE Main & Advanced
⇒ l2 = 0.5 Å

Q.5. When the momentum of a proton is changed by an amount P0, the corresponding change in the de-Broglie wavelength is found to be 0.25%. Then, the original momentum of the proton was
(a) p0
(b) 100 p0
(c) 400 p0
(d) 4 p
0

Correct Answer is option (c)
JEE Advanced (Single Correct Type): Dual Nature of Matter & Radiation | Chapter-wise Tests for JEE Main & Advanced
JEE Advanced (Single Correct Type): Dual Nature of Matter & Radiation | Chapter-wise Tests for JEE Main & Advanced
JEE Advanced (Single Correct Type): Dual Nature of Matter & Radiation | Chapter-wise Tests for JEE Main & Advanced
JEE Advanced (Single Correct Type): Dual Nature of Matter & Radiation | Chapter-wise Tests for JEE Main & Advanced
⇒ p  = 400 p0

Q.6. The de-Broglie wavelength of a neutron at 27°C is l. What will be its wavelength at 927°C?
(a) l / 2 
(b) l / 3
(c) l / 4
(d) l / 9

Correct Answer is option (a)
JEE Advanced (Single Correct Type): Dual Nature of Matter & Radiation | Chapter-wise Tests for JEE Main & Advanced
JEE Advanced (Single Correct Type): Dual Nature of Matter & Radiation | Chapter-wise Tests for JEE Main & Advanced
JEE Advanced (Single Correct Type): Dual Nature of Matter & Radiation | Chapter-wise Tests for JEE Main & Advanced
JEE Advanced (Single Correct Type): Dual Nature of Matter & Radiation | Chapter-wise Tests for JEE Main & Advanced

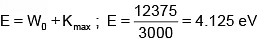
Q.7. The work function of metal is 1 eV. Light of wavelength 3000 Å is incident on this metal surface. The velocity of emitted photo-electrons will be
(a) 10 m/sec
(b) 1 x 103 m / sec
(c) 1 x 104 m / sec
(d) 1 x 106 m / sec

Correct Answer is option (d)
JEE Advanced (Single Correct Type): Dual Nature of Matter & Radiation | Chapter-wise Tests for JEE Main & Advanced
⇒ Kmax = E - W0 = 4.125 eV - 1eV = 3.125 eV
1/2mv2max = 3.125 x 1.6 x 10-19J
JEE Advanced (Single Correct Type): Dual Nature of Matter & Radiation | Chapter-wise Tests for JEE Main & Advanced
= 1 x 106 m / s

Q.8. The work function of a metallic surface is 5.01 eV. The photo-electrons are emitted when light of wavelength 2000 Å falls on it. The potential difference applied to stop the fastest photo-electrons is [ h = 4.14 x 10 -15 eV sec]
(a) 1.2 volts
(b) 2.24 volts
(c) 3.6 volts
(d) 4.8 volts 

Correct Answer is option (a)
Energy of incident light E  = 12375 / 2000 = 6.18 eV
According to relation E = W0 + eV0
JEE Advanced (Single Correct Type): Dual Nature of Matter & Radiation | Chapter-wise Tests for JEE Main & Advanced
= 1.17 V >> 1.2 V

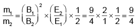
Q.9. A particle of mass M at rest decays into two particles of masses m1 and m2, having non-zero velocities. The ratio of the de-Broglie wavelengths of the particles, l1 / l2 is

(a) m1 / m2
(b) m2 / m1
(c) 1.0
(d) m2 / m
1

Correct Answer is option (c)
By law of conservation of momentum
JEE Advanced (Single Correct Type): Dual Nature of Matter & Radiation | Chapter-wise Tests for JEE Main & Advanced
–ve sign indicates that both the particles are moving in opposite direction. Now de-Broglie wavelengths
JEE Advanced (Single Correct Type): Dual Nature of Matter & Radiation | Chapter-wise Tests for JEE Main & Advanced and JEE Advanced (Single Correct Type): Dual Nature of Matter & Radiation | Chapter-wise Tests for JEE Main & Advanced
JEE Advanced (Single Correct Type): Dual Nature of Matter & Radiation | Chapter-wise Tests for JEE Main & Advanced

Q.10. In a photoemissive cell with executing wavelength λ, the fastest electron has speed v. If the exciting wavelength is changed to 3λ/4, the speed of the fastest emitted electron will be
(a) v(3 / 4)1/ 2
(b) v( 4 / 3)1/ 2
(c) Less than v(4/3)1/2
(d) Greater than v(4/3)
1/2

Correct Answer is option (d)
JEE Advanced (Single Correct Type): Dual Nature of Matter & Radiation | Chapter-wise Tests for JEE Main & Advanced
JEE Advanced (Single Correct Type): Dual Nature of Matter & Radiation | Chapter-wise Tests for JEE Main & Advanced
When wavelength is λ and velocity is v, then
JEE Advanced (Single Correct Type): Dual Nature of Matter & Radiation | Chapter-wise Tests for JEE Main & Advanced
When wavelength is 3λ / 4 and velocity is v' then
JEE Advanced (Single Correct Type): Dual Nature of Matter & Radiation | Chapter-wise Tests for JEE Main & Advanced
Divide equation (ii) by (i), we get
JEE Advanced (Single Correct Type): Dual Nature of Matter & Radiation | Chapter-wise Tests for JEE Main & Advanced
JEE Advanced (Single Correct Type): Dual Nature of Matter & Radiation | Chapter-wise Tests for JEE Main & Advanced

Q.11.  Photoelectric emission is observed from a metallic surface for frequencies v1 and v2 of the incident light rays (v1> v2). If the maximum values of kinetic energy of the photoelectrons emitted in the two cases are in the ratio of 1 : k, then the threshold frequency of the metallic surface is
(a) JEE Advanced (Single Correct Type): Dual Nature of Matter & Radiation | Chapter-wise Tests for JEE Main & Advanced
(b) JEE Advanced (Single Correct Type): Dual Nature of Matter & Radiation | Chapter-wise Tests for JEE Main & Advanced
(c) JEE Advanced (Single Correct Type): Dual Nature of Matter & Radiation | Chapter-wise Tests for JEE Main & Advanced
(d)
JEE Advanced (Single Correct Type): Dual Nature of Matter & Radiation | Chapter-wise Tests for JEE Main & Advanced

Correct Answer is option (b)
By using hv - hv0 = kmax
⇒ h(v1 - v0 ) = k1   … (i)
And h(v2 - v0 ) = k2   … (ii)
JEE Advanced (Single Correct Type): Dual Nature of Matter & Radiation | Chapter-wise Tests for JEE Main & Advanced
Hence, JEE Advanced (Single Correct Type): Dual Nature of Matter & Radiation | Chapter-wise Tests for JEE Main & Advanced 

Q.12. Electrons with energy 80 keV are incident on the tungsten target of an X-ray tube. K shell electrons of tungsten have ionization energy 72.5 keV. X-rays emitted by the tube contain only
(a) A continuous X-ray spectrum (Bremsstrahlung) with a minimum wavelength of ~ 0.155 Å.
(b) A continuous X-ray spectrum (Bremsstrahlung) with all wavelengths.
(c) The characteristic X-rays spectrum of tungsten.
(d) A continuous X-ray spectrum (Bremsstrahlung) with a minimum wavelength of ~ 0.155 Å and the characteristic X-ray spectrum of tungsten. 

Correct Answer is option (d)
Minimum wavelength of continuous X-ray spectrum is given by
JEE Advanced (Single Correct Type): Dual Nature of Matter & Radiation | Chapter-wise Tests for JEE Main & Advanced

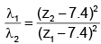
Q.13. The X-ray wavelength of Lα line of platinum (Z = 78) is 1.30 Å. The X-ray wavelength of Lα line of Molybdenum (Z = 42) is
(a) 5.41 Å
(b) 4.20 Å
(c) 2.70 Å
(d) 1.35 Å 

Correct Answer is option (a)
The wavelength of Lα line is given by  
JEE Advanced (Single Correct Type): Dual Nature of Matter & Radiation | Chapter-wise Tests for JEE Main & Advanced
JEE Advanced (Single Correct Type): Dual Nature of Matter & Radiation | Chapter-wise Tests for JEE Main & Advanced
JEE Advanced (Single Correct Type): Dual Nature of Matter & Radiation | Chapter-wise Tests for JEE Main & Advanced
⇒ λ2 = 5.41Å

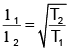
Q.14.  The ratio of de-Broglie wavelengths of molecules of hydrogen and helium which are at temperature 27°C and 127°C respectively is
(a) 1/2
(b) √3/8
(c) √8/3
(d) 1

Correct Answer is option (c)
de-Broglie wavelength JEE Advanced (Single Correct Type): Dual Nature of Matter & Radiation | Chapter-wise Tests for JEE Main & Advanced, rms velocity of a gas particle at the given temperature (T) is given as
JEE Advanced (Single Correct Type): Dual Nature of Matter & Radiation | Chapter-wise Tests for JEE Main & Advanced
JEE Advanced (Single Correct Type): Dual Nature of Matter & Radiation | Chapter-wise Tests for JEE Main & Advanced
JEE Advanced (Single Correct Type): Dual Nature of Matter & Radiation | Chapter-wise Tests for JEE Main & Advanced

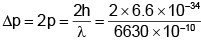
Q.15. A photon of wavelength 6630 Å is incident on a totally reflecting surface. The momentum delivered by the photon is equal to
(a) 6.63 x 10-27 kg - m/sec
(b) 2 x 10-27 kg - m/sec
(c) 10-27 kg - m/sec
(d) None of these 

Correct Answer is option (b)
The momentum of the incident radiation is given as p = h / λ . When the light is totally reflected normal to the surface the direction of the ray is reversed. That means it reverses the direction of it's momentum without changing it's magnitude
JEE Advanced (Single Correct Type): Dual Nature of Matter & Radiation | Chapter-wise Tests for JEE Main & Advanced
= 2 x 10-27 kg - m/sec

Q.6. The ratio of de-Broglie wavelength of a a-particle to that of a proton being subjected to the same magnetic field so that the radii of their path are equal to each other assuming the field induction vector  JEE Advanced (Single Correct Type): Dual Nature of Matter & Radiation | Chapter-wise Tests for JEE Main & Advanced is perpendicular to the velocity vectors of the a-particle and the proton is
(a) 1
(b) 1/ 4
(c) 1/ 2
(d) 2

Correct Answer is option (c)
When a charged particle (charge q, mass m) enters perpendicularly in a magnetic field (B) than, radius of the path described by it JEE Advanced (Single Correct Type): Dual Nature of Matter & Radiation | Chapter-wise Tests for JEE Main & Advanced
Also de-Broglie wavelength λ = h/mv
JEE Advanced (Single Correct Type): Dual Nature of Matter & Radiation | Chapter-wise Tests for JEE Main & Advanced

Q.17. Rest mass energy of an electron is 0.51 MeV. If this electron is moving with a velocity 0.8 c (where c is velocity of light in vacuum), then kinetic energy of the electrostatic should be
(a) 0.28 MeV
(b) 0.34 MeV
(c) 0.39 MeV
(d) 0.46 MeV 

Correct Answer is option (b)
Given m0c2 = 0.51 MeV and v = 0.8 c
K.E. of the electron = mc2 - m0c2
but, JEE Advanced (Single Correct Type): Dual Nature of Matter & Radiation | Chapter-wise Tests for JEE Main & Advanced
Now mc2 = 0.51 / 0.6 MeV = 0.85 MeV
∴ K.E. = (0.85 - 0.51) MeV = 0.34 MeV

Q.18. A proton, a deuteron and an a-particle having the same momentum, enters a region of uniform electric field between the parallel plates of a capacitor. The electric field is perpendicular to the initial path of the particles. Then the ratio of deflections suffered by them is
(a) 1 : 2 : 8
(b) 1 : 2 : 4
(c) 1 : 1 : 2
(d) None of these.

Correct Answer is option (a)
The deflection suffered by charged particle in an electric field is JEE Advanced (Single Correct Type): Dual Nature of Matter & Radiation | Chapter-wise Tests for JEE Main & Advanced (p = mu)
JEE Advanced (Single Correct Type): Dual Nature of Matter & Radiation | Chapter-wise Tests for JEE Main & Advanced
JEE Advanced (Single Correct Type): Dual Nature of Matter & Radiation | Chapter-wise Tests for JEE Main & Advanced
Since pα =  p= p = (given)
mp :md :ma =1 : 2 : 4    and qp : qd : qα = 1 : 1 : 2
⇒ yp : yd : yα = 1 x 1 : 1 x 2 : 2 x 4 = 1:2:8

Q.19. In order to coincide the parabolas formed by singly ionized ions in one spectrograph and doubly ionized ions in the other Thomson's mass spectrograph, the electric fields and magnetic fields are kept in the ratios 1: 2 and 3: 2 respectively. Then the ratio of masses of the ions is
(a) 3 : 4
(b) 1 : 3
(c) 9 : 4
(d) None of these. 

Correct Answer is option (c)
Using JEE Advanced (Single Correct Type): Dual Nature of Matter & Radiation | Chapter-wise Tests for JEE Main & Advanced where JEE Advanced (Single Correct Type): Dual Nature of Matter & Radiation | Chapter-wise Tests for JEE Main & Advanced. For parabolas to coincide in the two photographs, the kq/m  should be same for the two cases. Thus, JEE Advanced (Single Correct Type): Dual Nature of Matter & Radiation | Chapter-wise Tests for JEE Main & Advanced
JEE Advanced (Single Correct Type): Dual Nature of Matter & Radiation | Chapter-wise Tests for JEE Main & Advanced

Q.20. In a photoelectric effect experiment the threshold wavelength of light is 380 nm. If the wavelength of incident light is 260 nm, the maximum kinetic energy of emitted electrons will be given E (in eV) = [1237/λ(in nm)]
(a) 15.1 eV
(b) 4.5 eV
(c) 1.5 eV
(d) 3.0 eV

Correct Answer is option (c)
Given: λ0 = 380 nm, λ= 260 nm
Kmax = h (fi – f0)
= h[(c/λi) – (c/λ0)] = hc[(λ0– λi)/(λ0λi)]
= 1237[(380 – 260)/(380 x 260)] eV = 1.5 eV

The document JEE Advanced (Single Correct Type): Dual Nature of Matter & Radiation | Chapter-wise Tests for JEE Main & Advanced is a part of the JEE Course Chapter-wise Tests for JEE Main & Advanced.
All you need of JEE at this link: JEE
481 docs|964 tests
Related Searches

Objective type Questions

,

Viva Questions

,

past year papers

,

Exam

,

Extra Questions

,

Free

,

Sample Paper

,

study material

,

pdf

,

ppt

,

Semester Notes

,

JEE Advanced (Single Correct Type): Dual Nature of Matter & Radiation | Chapter-wise Tests for JEE Main & Advanced

,

shortcuts and tricks

,

Previous Year Questions with Solutions

,

MCQs

,

mock tests for examination

,

JEE Advanced (Single Correct Type): Dual Nature of Matter & Radiation | Chapter-wise Tests for JEE Main & Advanced

,

practice quizzes

,

Summary

,

Important questions

,

video lectures

,

JEE Advanced (Single Correct Type): Dual Nature of Matter & Radiation | Chapter-wise Tests for JEE Main & Advanced

;