Q.1. What is the class of the substitution product of LiAlH4 and an alkyl halide reaction?
(a) Haloalkane
(b) Alkyl nitrite
(c) Nitroalkane
(d) Hydrocarbon
Correct Answer is option (d)
The H atom in LiAlH4 acts as a nucleophile, attacking and substituting the halogen in the alkyl halide to generate the basic hydrocarbon.
Q.2. A mono haloarene is an example of __________
(a) aliphatic halogen compound
(b) side-chain substituted aryl halide
(c) alkyl halide
(d) aromatic halogen compound
Correct Answer is option (d)
A mono haloarene is a halogenated benzene ring with the halogen linked straight to it. Aromatic halogen compounds with the halogen not directly linked to the benzene ring are side chain substituted aryl halides.
Q.3. Which of the following is the right name for the compound H3C-CHCl2?
(a) 1,2-Dichloroethane
(b) Ethylene dichloride
(c) Ethylidene chloride
(d) Vic-dichloride
Correct Answer is option (c)
Both halogens are on the same carbon atom in the given molecule, making it a dihaloalkane. These are also known as alkylidene halides or gem-dihalides.
Q.4. When ethanol combines with PCl5, it produces three products: chloroethane, hydrochloric acid, and ______. What is the third item on the list?
(a) Phosphorus acid
(b) Phosphoryl chloride
(c) Phosphorus trichloride
(d) Phosphoric acid
Correct Answer is option (b)
CH3CH2OH reacts with PCl5 to produce CH3CH2Cl, POCl3 (phosphoryl acid), and HCl. This is a procedure for making chloroalkanes from alcohols.
Q.5. Which sequence should isomeric dichlorobenzenes be boiled in?
(a) para>ortho>meta
(b) meta>ortho>para
(c) ortho>meta>para
(d) para>meta>ortho
Correct Answer is option (a)
In comparison to meta and ortho isomers, para isomers have the highest melting temperatures due to their symmetry and ease of fitting into a crystal lattice.
Q.6. Which of the following statements about SN2 mechanisms is incorrect?
(a) The transition state is stable
(b) The complete mechanism takes place in a single step
(c) The rate of the reaction depends on the concentration of both reactants
(d) There is an inversion of configuration
Correct Answer is option (a)
The carbon atoms are concurrently attached to the entering nucleophile and the existing group in the transition state of SN2 processes, and are thus connected to five atoms at the same time. It is impossible to isolate such a geometry since it is unstable.
Q.7. What is 3-Bromopropene’s common name?
(a) Allyl bromide
(b) Vinyl bromide
(c) Tert-Butyl bromide
(d) Propylidene bromide
Correct Answer is option (a)
The parent chain of 3-Bromopropene has three C atoms, with a double bond at C-1 and Br at C-3. As a result, it is an allylic halide because Br is connected to the C adjacent to the C-C double bond.
Q.8. What is the catalyst in the chloroalkane reaction of a primary alcohol with HCl?
(a) red phosphorous
(b) concentrated H2SO4
(c) anhydrous ZnCl2
(d) pyridine
Correct Answer is option (c)
The presence of anhydrous ZnCl2 in alcohols is supposed to disrupt the C-O bond. ZnCl2 is a Lewis acid that reacts with the alcohol group’s oxygen.
Q.9. Which of the following substances has the highest melting point?
(a) Chloromethane
(b) Tetrachloromethane
(c) Trichloromethane
(d) Dichloromethane
Correct Answer is option (b)
As the molecule masses and the number of halogen atoms grows, the boiling points and intermolecular forces of attraction increase as well.
Q.10. Which of the following statements about the interaction between C2H4 and Cl2 in CCl4 is incorrect?
(a) It results in the formation of a vicinal dihalide
(b) It results in the discharge of a reddish-brown colour
(c) It results in the formation of a colourless compound
(d) It results in the breaking of the C-C double bond
Correct Answer is option (b)
When Br2 interacts with an alkene to generate a vic-dihalide, it gives off a reddish-brown colour. As a result, it’s a crucial test for detecting a double bond.
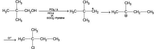
Q.11. The best method to prepare neopentyl chloride is
(a) 
(b) 
(c) 
(d) 
Correct Answer is option (d)
On the other hand, free radicals do not undergo rearrangement. Hence, the best method of preparation is through free radical chlorination.
Q.12. Identify (A) in the following reaction
(a) 
(b) 
(c) 
(d) 
Correct Answer is option (c)
Q.13. 
(a) 
(b) 
(c) 
(d) None of these
Correct Answer is option (b)
Q.14.
Which of the following is the correct structure of the compound ‘A’?
(a) 
(b) 
(c) 
(d) 
Correct Answer is option (b)
Q.15. Arrange the following compounds in the decreasing order of reactivity with NBS (N–bromosuccinimide).
(I) C6H5 – CH3
(II) C6H5 – CH2 – CH2 – CH3
(III) C6H5 – CH2 – CH = CH2
(IV) 
Correct Answer is option (b)
The correct order is decided by the stability of the free radical formed as intermediate.
|
446 docs|929 tests
|