JEE Exam  >  JEE Notes  >  Chemistry for JEE Main & Advanced  >  JEE Advanced Previous Year Questions (2018 - 2024): Alcohols, Phenols and Ethers

JEE Advanced Previous Year Questions (2018 - 2024): Alcohols, Phenols and Ethers | Chemistry for JEE Main & Advanced PDF Download

2024

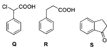
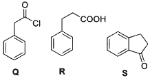
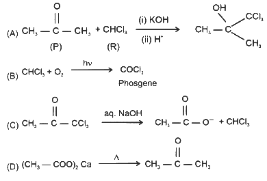
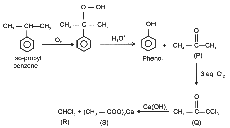
Q1: Reaction of iso-propylbenzene with O₂ followed by the treatment with H₃O⁺ forms phenol and a by-product P. Reaction of P with 3 equivalents of Cl₂ gives compound Q. Treatment of Q with Ca(OH)₂ produces compound R and calcium salt S.
The correct statement(s) regarding P, Q, R, and S is(are):
(a) Reaction of P with R in the presence of KOH followed by acidification gives
JEE Advanced Previous Year Questions (2018 - 2024): Alcohols, Phenols and Ethers | Chemistry for JEE Main & Advanced

(b) Reaction of R with O₂ in the presence of light gives phosgene gas
(c) Q reacts with aqueous NaOH to produce CCl₃CCH₂OH and CCl₃CCOONa
(d) S on heating gives P     [JEE Advanced 2024 Paper 1]
Ans: (a), (b), (d)
JEE Advanced Previous Year Questions (2018 - 2024): Alcohols, Phenols and Ethers | Chemistry for JEE Main & AdvancedJEE Advanced Previous Year Questions (2018 - 2024): Alcohols, Phenols and Ethers | Chemistry for JEE Main & Advanced

2023


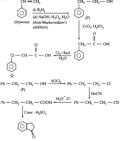
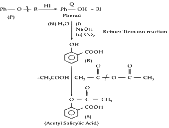
Q1: In the given reaction scheme, P is a phenyl alkyl ether, Q is an aromatic compound; R and S are the major products. JEE Advanced Previous Year Questions (2018 - 2024): Alcohols, Phenols and Ethers | Chemistry for JEE Main & Advanced

The correct statement about S is :
(a) It primarily inhibits noradrenaline degrading enzymes.
(b) It inhibits the synthesis of prostaglandin.
(c) It is a narcotic drug.
(d) It is ortho-acetylbenzoic acid.                      [JEE Advanced 2023 Paper 1]
Ans:
(b) JEE Advanced Previous Year Questions (2018 - 2024): Alcohols, Phenols and Ethers | Chemistry for JEE Main & Advanced

It inhibit synthesis of noradrenaline degrading enzymes.

Q2: Consider the following reaction scheme and choose the correct option(s) for the major products Q, R and S. JEE Advanced Previous Year Questions (2018 - 2024): Alcohols, Phenols and Ethers | Chemistry for JEE Main & Advanced

(a) JEE Advanced Previous Year Questions (2018 - 2024): Alcohols, Phenols and Ethers | Chemistry for JEE Main & Advanced
(b) JEE Advanced Previous Year Questions (2018 - 2024): Alcohols, Phenols and Ethers | Chemistry for JEE Main & Advanced
(c) JEE Advanced Previous Year Questions (2018 - 2024): Alcohols, Phenols and Ethers | Chemistry for JEE Main & Advanced
(d) JEE Advanced Previous Year Questions (2018 - 2024): Alcohols, Phenols and Ethers | Chemistry for JEE Main & Advanced [JEE Advanced 2023 Paper 1]
Ans:
(b)

JEE Advanced Previous Year Questions (2018 - 2024): Alcohols, Phenols and Ethers | Chemistry for JEE Main & Advanced

2020


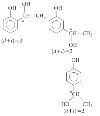
Q1: An organic compound (C8H10O2) rotates plane-porarised light. It produces pink color with neutral FeCl3 solution. What is the total number of all the possible isomers for this compound? [JEE Advanced 2020 Paper 2]
Ans: 
6
Phenolic (−OH) group gives positive test with neutral FeCl3 solution, means organic compound (C8H10O2) also rotate plane porarised light means compound is an optically active and chiral carbon atom is present.
So, the possible structures which are optically active and have phenolic group are as followed :

JEE Advanced Previous Year Questions (2018 - 2024): Alcohols, Phenols and Ethers | Chemistry for JEE Main & Advanced

Therefore, total optically active isomers will be 6.

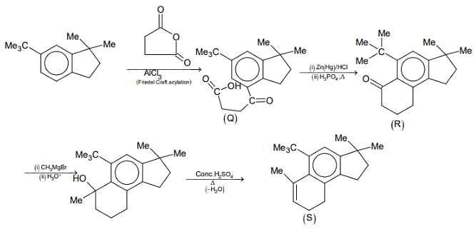
Q2: In the reaction scheme shown below Q, R and S are the major products.JEE Advanced Previous Year Questions (2018 - 2024): Alcohols, Phenols and Ethers | Chemistry for JEE Main & Advanced

The correct structure of
(a) S is JEE Advanced Previous Year Questions (2018 - 2024): Alcohols, Phenols and Ethers | Chemistry for JEE Main & Advanced
(b) Q is JEE Advanced Previous Year Questions (2018 - 2024): Alcohols, Phenols and Ethers | Chemistry for JEE Main & Advanced
(c) R is JEE Advanced Previous Year Questions (2018 - 2024): Alcohols, Phenols and Ethers | Chemistry for JEE Main & Advanced
(d) S is JEE Advanced Previous Year Questions (2018 - 2024): Alcohols, Phenols and Ethers | Chemistry for JEE Main & Advanced [JEE Advanced 2020 Paper 1]
Ans:
(b) & (d)
Compound (P) undergoes Friedel-Craft acylation reaction in presence of succinic anhydride and AlCl3 to gives an acid (Q).
Compound (Q) on treatment with Zn-Hg/HCl undergoes Clemmensen reduction, where ketone group change into alkane and on further reaction with dehydrating agent H3PO4 gives compound (R).
Compound (R) on reaction with Grignard reagent and heated in presence of acid gives dehydrating product (S).JEE Advanced Previous Year Questions (2018 - 2024): Alcohols, Phenols and Ethers | Chemistry for JEE Main & Advanced

Thus, the option (b) and (d) are correct.

2018


Q1: LIST-I contains reactions and LIST-II contains major products.

JEE Advanced Previous Year Questions (2018 - 2024): Alcohols, Phenols and Ethers | Chemistry for JEE Main & Advanced

Match the reaction in LIST-I with one or more products in LIST-II and choose the correct option.
(a) P − 1,5;Q − 2;R − 3;S − 4
(b) P − 1,4;Q − 2;R − 4;S − 3
(c) P − 1,4;Q − 1,2;R − 3,4;S − 4
(d) P −4 ,5;Q − 4;R − 4;S − 3,4    [JEE Advanced 2018 Paper 2]
Ans:
(b)
P. Reactant 1 , acts as a base and abstracts hydrogen from β carbon of tert butyl bromide halide (reactant 2 ) forming an alkene and an alcohol.
JEE Advanced Previous Year Questions (2018 - 2024): Alcohols, Phenols and Ethers | Chemistry for JEE Main & AdvancedElimination proceeds via E2 mechanism. Substitution of reactant 1 is not possible on reactant 2 due to steric crowding at 2.
JEE Advanced Previous Year Questions (2018 - 2024): Alcohols, Phenols and Ethers | Chemistry for JEE Main & AdvancedQ. Reactant 1 (tert butoxide) acts as a base and abstracts proton from acid (HBr) forming an alcohol and methyl bromide.
JEE Advanced Previous Year Questions (2018 - 2024): Alcohols, Phenols and Ethers | Chemistry for JEE Main & Advanced
R. Sodium methoxide ( NaOMe) is a strong base and abstracts proton from β carbon of tert Butyl with simultaneous less of bromide ion forming an alkene.
JEE Advanced Previous Year Questions (2018 - 2024): Alcohols, Phenols and Ethers | Chemistry for JEE Main & Advanced
S. Reactant 1 (tert-butoxide) acts as a nucleophile and attacks from the backside of methyl bromide, with subsequent removal of bromide ion. This is an SN2 mechanism.
JEE Advanced Previous Year Questions (2018 - 2024): Alcohols, Phenols and Ethers | Chemistry for JEE Main & Advanced
The document JEE Advanced Previous Year Questions (2018 - 2024): Alcohols, Phenols and Ethers | Chemistry for JEE Main & Advanced is a part of the JEE Course Chemistry for JEE Main & Advanced.
All you need of JEE at this link: JEE
334 videos|660 docs|300 tests

FAQs on JEE Advanced Previous Year Questions (2018 - 2024): Alcohols, Phenols and Ethers - Chemistry for JEE Main & Advanced

1. What are the key differences between alcohols, phenols, and ethers?
Ans.Alcohols are organic compounds with a hydroxyl (-OH) group attached to a carbon atom, phenols contain a hydroxyl group bonded to an aromatic ring, and ethers have an oxygen atom connected to two alkyl or aryl groups. These structural differences lead to variations in their chemical properties and reactivities.
2. How do you differentiate between primary, secondary, and tertiary alcohols?
Ans.Primary alcohols have the hydroxyl group attached to a carbon atom that is connected to only one other carbon, secondary alcohols are attached to a carbon connected to two other carbons, and tertiary alcohols are connected to a carbon that is attached to three other carbons. This classification affects their reactivity and the type of reactions they undergo.
3. What are the common methods for synthesizing alcohols?
Ans.Common methods for synthesizing alcohols include the hydration of alkenes, the reduction of aldehydes and ketones, and the hydrolysis of alkyl halides. Each method utilizes different reagents and conditions to produce various types of alcohols.
4. What is the significance of phenols in organic chemistry?
Ans.Phenols are significant in organic chemistry due to their unique properties, such as acidity and the ability to undergo electrophilic substitution reactions. They serve as important intermediates in the synthesis of dyes, plastics, and pharmaceuticals.
5. How do ethers react with acids and bases?
Ans.Ethers are generally stable and resistant to acids and bases; however, they can undergo cleavage in the presence of strong acids, producing alcohols and alkyl halides. This reaction is important for understanding their behavior in various chemical environments.
Related Searches

Important questions

,

JEE Advanced Previous Year Questions (2018 - 2024): Alcohols

,

Phenols and Ethers | Chemistry for JEE Main & Advanced

,

Objective type Questions

,

mock tests for examination

,

Sample Paper

,

Free

,

past year papers

,

Semester Notes

,

ppt

,

JEE Advanced Previous Year Questions (2018 - 2024): Alcohols

,

MCQs

,

Extra Questions

,

shortcuts and tricks

,

video lectures

,

JEE Advanced Previous Year Questions (2018 - 2024): Alcohols

,

Phenols and Ethers | Chemistry for JEE Main & Advanced

,

Exam

,

practice quizzes

,

Previous Year Questions with Solutions

,

Summary

,

study material

,

Phenols and Ethers | Chemistry for JEE Main & Advanced

,

Viva Questions

,

pdf

;