JEE Exam  >  JEE Notes  >  Chapter-wise Tests for JEE Main & Advanced  >  JEE Main Previous Year Questions (2025): Gravitation

JEE Main Previous Year Questions (2025): Gravitation | Chapter-wise Tests for JEE Main & Advanced PDF Download

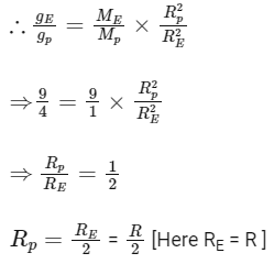
Q1: The ratio of the weights of a body on the Earth’s surface to that on the surface of a planets is 9 : 4. The mass of the planet is 1/9 th of that of the Earth. If 'R' is the radius of the Earth, what is the radius of the planet ? (Take the planets to have the same mass density)
(a) R/9
(b) R/2
(c) R/3
(d) R/4
Ans:
(b)
W = mg
as m = constant everywhere
∴ W ∝ g
JEE Main Previous Year Questions (2025): Gravitation | Chapter-wise Tests for JEE Main & Advanced
We know,
JEE Main Previous Year Questions (2025): Gravitation | Chapter-wise Tests for JEE Main & Advanced
JEE Main Previous Year Questions (2025): Gravitation | Chapter-wise Tests for JEE Main & Advanced

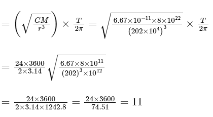
Q2: A spaceship orbits around a planet at a height of 20 km from its surface. Assuming that only gravitational field of the planet acts on the spaceship, what will be the number of complete revolutions made by the spaceship in 24 hours around the planet?
[Given ; Mass of planet = 8 × 1022 kg, Radius of planet = 2 × 106 m, Gravitational constant G = 6.67 × 10–11 Nm2 /kg2]
(a) 13
(b) 9
(c) 17
(d) 11
Ans: 
(d)
JEE Main Previous Year Questions (2025): Gravitation | Chapter-wise Tests for JEE Main & Advanced
JEE Main Previous Year Questions (2025): Gravitation | Chapter-wise Tests for JEE Main & Advanced

Q3: The value of acceleration due to gravity at Earth's surface is 9.8 ms–2. The altitude above its surface at which the acceleration due to gravity decreases to 4.9 ms–2, is close to : (Radius of earth = 6.4 × 106 m)
(a) 1.6 × 106 m
(b) 9.0 × 106 m
(c) 6.4 × 106 m
(d) 2.6 × 106 m
Ans:
(d)
JEE Main Previous Year Questions (2025): Gravitation | Chapter-wise Tests for JEE Main & Advanced
JEE Main Previous Year Questions (2025): Gravitation | Chapter-wise Tests for JEE Main & Advanced
JEE Main Previous Year Questions (2025): Gravitation | Chapter-wise Tests for JEE Main & Advanced

Q4: A test particle is moving in a circular orbit in the gravitational field produced by a mass density JEE Main Previous Year Questions (2025): Gravitation | Chapter-wise Tests for JEE Main & Advanced
(a) T2/R3 is a constant
(b) TR is a constant
(c) T/R2 is a constant
(d) T/R is a constant
Ans:
(d)
For circular motion of particle:
JEE Main Previous Year Questions (2025): Gravitation | Chapter-wise Tests for JEE Main & Advanced
JEE Main Previous Year Questions (2025): Gravitation | Chapter-wise Tests for JEE Main & Advanced
JEE Main Previous Year Questions (2025): Gravitation | Chapter-wise Tests for JEE Main & Advanced
⇒ V = constant
JEE Main Previous Year Questions (2025): Gravitation | Chapter-wise Tests for JEE Main & Advanced

⇒ T/R = Constant

Q5: A solid sphere of mass 'M' and radius 'a' is surrounded by a uniform concentric spherical shell of thickness 2a and mass 2M. The gravitational field at distance '3a' from the centre will be:
(a) JEE Main Previous Year Questions (2025): Gravitation | Chapter-wise Tests for JEE Main & Advanced
(b) JEE Main Previous Year Questions (2025): Gravitation | Chapter-wise Tests for JEE Main & Advanced
(c) JEE Main Previous Year Questions (2025): Gravitation | Chapter-wise Tests for JEE Main & Advanced
(d) JEE Main Previous Year Questions (2025): Gravitation | Chapter-wise Tests for JEE Main & Advanced
Ans: 
(a)
We use Gauss’s Law for gravitation
g.4 πr2 = (Mass enclosed) 4πG
JEE Main Previous Year Questions (2025): Gravitation | Chapter-wise Tests for JEE Main & Advanced

Q6: A rocket has to be launched from earth in such a way that it never returns. If E is the minimum energy delivered by the rocket launcher, what should be the minimum energy that the launcher should have if the same rocket is to be launched from the surface of the moon ? Assume that the density of the earth and the moon are equal and that the earth's volume is 64 times the volume of the moon :-
(a) E/32
(b) E/16
(c) E/4
(d) E/64
Ans:
(b)
Minimum energy required (E) = – (Potential energy of object at surface of earth)
JEE Main Previous Year Questions (2025): Gravitation | Chapter-wise Tests for JEE Main & Advanced
Now Mearth = 64 Mmoon 
JEE Main Previous Year Questions (2025): Gravitation | Chapter-wise Tests for JEE Main & Advanced
⇒ Re = 4Rm   
JEE Main Previous Year Questions (2025): Gravitation | Chapter-wise Tests for JEE Main & Advanced
JEE Main Previous Year Questions (2025): Gravitation | Chapter-wise Tests for JEE Main & Advanced

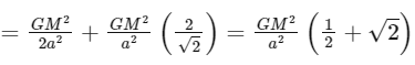
Q7: Four identical particles of mass M are located at the corners of a square of side 'a'. What should be their speed if each of them revolves under the influence of other's gravitational field in a circular orbit circumscribing the square?
JEE Main Previous Year Questions (2025): Gravitation | Chapter-wise Tests for JEE Main & Advanced(a) JEE Main Previous Year Questions (2025): Gravitation | Chapter-wise Tests for JEE Main & Advanced
(b) JEE Main Previous Year Questions (2025): Gravitation | Chapter-wise Tests for JEE Main & Advanced
(c) JEE Main Previous Year Questions (2025): Gravitation | Chapter-wise Tests for JEE Main & Advanced
(d) JEE Main Previous Year Questions (2025): Gravitation | Chapter-wise Tests for JEE Main & Advanced
Ans: 
(b)
JEE Main Previous Year Questions (2025): Gravitation | Chapter-wise Tests for JEE Main & AdvancedNet force on mass M at position B towards centre of circle is
JEE Main Previous Year Questions (2025): Gravitation | Chapter-wise Tests for JEE Main & Advanced
[where, diagonal length BD is √2 a]
JEE Main Previous Year Questions (2025): Gravitation | Chapter-wise Tests for JEE Main & Advanced
This force will act as centripetal force.
Distance of particle from centre of circle is JEE Main Previous Year Questions (2025): Gravitation | Chapter-wise Tests for JEE Main & Advanced
JEE Main Previous Year Questions (2025): Gravitation | Chapter-wise Tests for JEE Main & Advanced
So, for rotation about the centre,
JEE Main Previous Year Questions (2025): Gravitation | Chapter-wise Tests for JEE Main & Advanced

Q8: Two satellites, A and B, have masses m and 2m respectively. A is in a circular orbit of radius R, and B is in a circular orbit of radius 2R around the earth. The ratio of their kinetic energies, TA/TB, is;
(a) 2
(b) 1/2
(c) JEE Main Previous Year Questions (2025): Gravitation | Chapter-wise Tests for JEE Main & Advanced
(d) 1
Ans: 
(d)
JEE Main Previous Year Questions (2025): Gravitation | Chapter-wise Tests for JEE Main & Advanced
JEE Main Previous Year Questions (2025): Gravitation | Chapter-wise Tests for JEE Main & Advanced

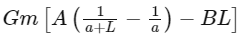
Q9: A straight rod of length L extends from x = a to x = L + a. The gravitational force it exerts on a point mass 'm' at x = 0, if the mass per unit length of the rod is A + Bx2 , is given by :
(a) JEE Main Previous Year Questions (2025): Gravitation | Chapter-wise Tests for JEE Main & Advanced
(b) JEE Main Previous Year Questions (2025): Gravitation | Chapter-wise Tests for JEE Main & Advanced
(c) JEE Main Previous Year Questions (2025): Gravitation | Chapter-wise Tests for JEE Main & Advanced
(d) JEE Main Previous Year Questions (2025): Gravitation | Chapter-wise Tests for JEE Main & Advanced
Ans:
(b)
JEE Main Previous Year Questions (2025): Gravitation | Chapter-wise Tests for JEE Main & AdvancedJEE Main Previous Year Questions (2025): Gravitation | Chapter-wise Tests for JEE Main & Advanced

Q10: A satellite of mass M is in a circular orbit of radius R about the centre of the earth. A meteorite of the same mass, falling towards the earth, collides with the satellite completely inelastically. The speeds of the satellite and the meteorite are the same, just before the collision. The subsequent motion of the combined body will be :
(a) in the same circular orbit of radius R
(b) such that it escapes to infinity
(c) in a circular orbit of a different radius
(d) in an elliptical orbit
Ans:
(d)
JEE Main Previous Year Questions (2025): Gravitation | Chapter-wise Tests for JEE Main & AdvancedJEE Main Previous Year Questions (2025): Gravitation | Chapter-wise Tests for JEE Main & Advanced
JEE Main Previous Year Questions (2025): Gravitation | Chapter-wise Tests for JEE Main & Advanced
JEE Main Previous Year Questions (2025): Gravitation | Chapter-wise Tests for JEE Main & Advanced

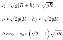
Q11: A satellite is revolving in a circular orbit at a height h form the earth surface, such that h < < R where R is the earth. Assuming that the effect of earth's atmosphere can be neglected the minimum increase in the speed required so that the satellite could escape from the gravitational field of earth is:
(a) JEE Main Previous Year Questions (2025): Gravitation | Chapter-wise Tests for JEE Main & Advanced
(b) JEE Main Previous Year Questions (2025): Gravitation | Chapter-wise Tests for JEE Main & Advanced
(c) JEE Main Previous Year Questions (2025): Gravitation | Chapter-wise Tests for JEE Main & Advanced
(d) JEE Main Previous Year Questions (2025): Gravitation | Chapter-wise Tests for JEE Main & Advanced
Ans: 
(a)
JEE Main Previous Year Questions (2025): Gravitation | Chapter-wise Tests for JEE Main & Advanced

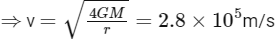
Q12: Two stars of masses 3 × 1031 kg each, and at distance 2 × 1011 m rotate in a plane about their common centre of mass O. A meteorite passes through O moving perpendicular to the star’s rotation plane. In order to escape from the gravitational field of this double star, the minimum speed that meteorite should have at O is - (Take Gravitational constant; G = 6.67 × 10–11 Nm2 kg–2)
(a) 2.4 × 104 m/s
(b) 1.4 × 105 m/s
(c) 3.8 × 104 m/s
(d) 2.8 × 105 m/s
Ans: 
(d)
By energy convervation between 0 & ∞.
JEE Main Previous Year Questions (2025): Gravitation | Chapter-wise Tests for JEE Main & Advanced
[M is mass of star m is mass of meteroite)
JEE Main Previous Year Questions (2025): Gravitation | Chapter-wise Tests for JEE Main & Advanced

Q13: A satellite is moving with a constant speed v in circular orbit around the earth. An object of mass ‘m’ is ejected from the satellite such that it just escapes from the gravitational pull of the earth. At the time of ejection, the kinetic energy of the object is -
(a) mv2
(b) 1/2 mv2
(c) 3/2 mv2
(d) 2 mv2
Ans:
(a)
At height r from center of earth. orbital velocity
JEE Main Previous Year Questions (2025): Gravitation | Chapter-wise Tests for JEE Main & Advanced
∴  By energy conservation
JEE Main Previous Year Questions (2025): Gravitation | Chapter-wise Tests for JEE Main & Advanced
(At infinity, PE = KE = 0)
JEE Main Previous Year Questions (2025): Gravitation | Chapter-wise Tests for JEE Main & Advanced

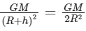
Q14: The energy required to take a satellite to a height 'h' above Earth surface (radius of Earth = 6.4 × 103 km) is E1 and kinetic energy required for the satellite to be in a circular orbit at this height is E2. The value of h for which E1 and E2 are equal, is
(a) 1.6 × 103 km
(b) 3.2 × 103 km
(c) 6.4 × 103 km
(d) 1.28 × 104 km
Ans:
(b)
Energy required to move a satellite from earth surface to height h is,
E1 = Uh − Usurface
JEE Main Previous Year Questions (2025): Gravitation | Chapter-wise Tests for JEE Main & Advanced

We know, for sattelite at height h.
Centrifigual force = Gravitational force
JEE Main Previous Year Questions (2025): Gravitation | Chapter-wise Tests for JEE Main & Advanced
Given that,
E1 = E2   
JEE Main Previous Year Questions (2025): Gravitation | Chapter-wise Tests for JEE Main & Advanced
= 3.2 × 103 km

The document JEE Main Previous Year Questions (2025): Gravitation | Chapter-wise Tests for JEE Main & Advanced is a part of the JEE Course Chapter-wise Tests for JEE Main & Advanced.
All you need of JEE at this link: JEE
446 docs|929 tests

FAQs on JEE Main Previous Year Questions (2025): Gravitation - Chapter-wise Tests for JEE Main & Advanced

1. What is the formula for gravitational force?
Ans. The formula for gravitational force between two objects is given by Newton's law of universal gravitation: F = (G * m1 * m2) / r^2, where F is the force, G is the gravitational constant, m1 and m2 are the masses of the objects, and r is the distance between their centers of mass.
2. How does the gravitational force vary with distance?
Ans. The gravitational force between two objects decreases as the distance between them increases. According to Newton's law of universal gravitation, the force is inversely proportional to the square of the distance. This means that if the distance between two objects doubles, the gravitational force between them decreases by a factor of four.
3. What is the value of the gravitational constant?
Ans. The gravitational constant (G) is a fundamental constant in physics that is used to calculate the gravitational force between two objects. Its value is approximately 6.67430 × 10^-11 N m^2/kg^2. It is a universal constant and does not vary with the mass or distance between objects.
4. How does the mass of an object affect the gravitational force on it?
Ans. The gravitational force on an object is directly proportional to its mass. This means that if the mass of an object doubles, the gravitational force on it also doubles. However, it is important to note that the acceleration due to gravity (g) remains constant regardless of the mass of the object.
5. What is the difference between mass and weight?
Ans. Mass is a measure of the amount of matter in an object and is a scalar quantity. It is constant and does not change with location. Weight, on the other hand, is the force exerted on an object due to gravity and is a vector quantity. It depends on the mass of the object and the acceleration due to gravity. Weight can vary with location, as the acceleration due to gravity may differ on different planets or at different altitudes.
Related Searches

Exam

,

Previous Year Questions with Solutions

,

Semester Notes

,

Free

,

Important questions

,

practice quizzes

,

video lectures

,

shortcuts and tricks

,

Summary

,

pdf

,

Extra Questions

,

mock tests for examination

,

Viva Questions

,

past year papers

,

MCQs

,

Sample Paper

,

Objective type Questions

,

JEE Main Previous Year Questions (2025): Gravitation | Chapter-wise Tests for JEE Main & Advanced

,

ppt

,

JEE Main Previous Year Questions (2025): Gravitation | Chapter-wise Tests for JEE Main & Advanced

,

study material

,

JEE Main Previous Year Questions (2025): Gravitation | Chapter-wise Tests for JEE Main & Advanced

;