[JEE Mains MCQs]
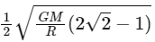
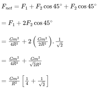
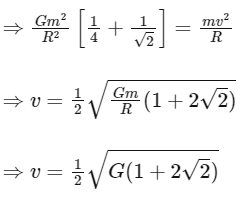
Q1: Four particles each of mass M, move along a circle of radius R under the action of their mutual gravitational attraction as shown in figure. The speed of each particle is:
(a) 
(b) 
(c) 
(d) 
Ans: (b)
Let us consider the gravitational force acting on each mass M by adjacent particles be F. and the gravitational force acting on each mass M diagonally be F1.


Along the centre of circle,

Option (b)
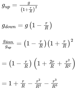
Q2: If RE be the radius of Earth, then the ratio between the acceleration due to gravity at a depth 'r' below and a height 'r' above the earth surface is : (Given : r < RE)
(a) 
(b) 
(c) 
(d) 
Ans: (d)

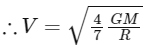
Q3: The masses and radii of the earth and moon are (M1, R1) and (M2, R2) respectively. Their centres are at a distance 'r' apart. Find the minimum escape velocity for a particle of mass 'm' to be projected from the middle of these two masses:
(a) 
(b) 
(c) 
(d) 
Ans: (b)


Q4: A mass of 50 kg is placed at the centre of a uniform spherical shell of mass 100 kg and radius 50 m. If the gravitational potential at a point, 25 m from the centre is V kg/m. The value of V is :
(a) − 60 G
(b) +2 G
(c) − 20 G
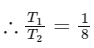
(d) − 4 G
Ans: (d)


Q5: Inside a uniform spherical shell:
(1) the gravitational field is zero
(2) the gravitational potential is zero
(3) the gravitational field is same everywhere
(4) the gravitational potential is same everywhere
(5) all of the above
Choose the most appropriate answer from the options given below :
(a) (1), (3) and (4) only
(b) (5) only
(c) (1), (2) and (3) only
(d) (2), (3) and (4) only
Ans: (a)
Inside a spherical shell, gravitational field is zero and hence potential remains same everywhere.
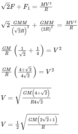
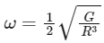
Q6: Two identical particles of mass 1 kg each go round a circle of radius R, under the action of their mutual gravitational attraction. The angular speed of each particle is:
(a) 
(b) 
(c) 
(d) 
Ans: (b)
The problem describes two identical particles of mass m = 1kg each moving in a circle of radius R under the action of their mutual gravitational attraction. This means that the particles are moving around a common center, and the distance between the particles is 2R (as the diameter of the circle).
In this case, the force providing the centripetal force for each particle to move in a circular path is the gravitational force between the particles.
The gravitational force between two masses m1 and m2 separated by a distance r is given by Newton's law of universal gravitation:

Since the two particles are identical, m1 = m2 = m = 1kg. And the distance between them r is 2R. Substituting these into the above equation gives the gravitational force between the two particles:

This gravitational force is also equal to the centripetal force needed for each particle to move in a circular path of radius R. The centripetal force is given by:

Setting these two equations equal to each other gives:

Rearranging this to solve for ω (the angular speed) gives:

So, the angular speed of each particle is: 
Q7: The planet Mars has two moons, if one of them has a period 7 hours, 30 minutes and an orbital radius of 9.0 × 103 km. Find the mass of Mars.

(a) 5.96 × 1019 kg
(b) 3.25 × 1021 kg
(c) 7.02 × 1025 kg
(d) 6.00 × 1023 kg
Ans: (d)


by putting values
M = 6 × 1023
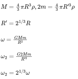
Q8: Consider a planet in some solar system which has a mass double the mass of earth and density equal to the average density of earth. If the weight of an object on earth is W, the weight of the same object on that planet will be :
(a) 2W
(b) W
(c) 21/3 W
(d) √2 W
Ans: (c)
Density is same

Q9: The minimum and maximum distances of a planet revolving around the sun are x1 and x2. If the minimum speed of the planet on its trajectory is v0 then its maximum speed will be:
(a) 
(b) 
(c) 
(d) 
Ans: (d)
Angular momentum conservation equation v0 x2 = v1 x1

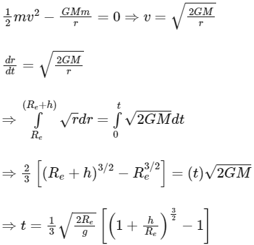
Q10: A body is projected vertically upwards from the surface of earth with a velocity sufficient enough to carry it to infinity. The time taken by it to reach height h is ___________s.
(a) 
(b) 
(c) 
(d) 
Ans: (d)

Q11: A satellite is launched into a circular orbit of radius R around earth, while a second satellite is launched into a circular orbit of radius 1.02 R. The percentage difference in the time periods of the two satellites is:
(a) 1.5
(b) 2.0
(c) 0.7
(d) 3.0
Ans: (d)




Q12: Consider a binary star system of star A and star B with masses mA and mB revolving in a circular orbit of radii rA an rB, respectively. If TA and TB are the time period of star A and star B, respectively,
Then:
(a) 
(b) TA = TB
(c) TA > TB (if mA > mB)
(d) TA > TB (if rA > rB)
Ans: (b)
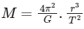
In a binary star system, the two stars orbit around a common center of mass. When considering periods of revolution, Kepler's Third Law comes into play. This law states that the square of the period of revolution (T) is proportional to the cube of the semi-major axis (r) of the orbit. It's often written in the following form for a single object orbiting another:
T2 ∝ r3
For a binary star system, this would still hold true. The periods of revolution for both stars A and B will be the same because they are both orbiting the same common center of mass, regardless of their individual masses or individual orbital radii. In other words, star A and star B complete one orbit in the same amount of time.
So, Option B: TA = TB is correct.
The other options (Option A, C, and D) would not be correct. Kepler's Third Law is not a ratio between the periods and radii of two different bodies, and the periods do not depend on the masses of the individual stars or their individual distances from the center of mass.
Q13: A person whose mass is 100 kg travels from Earth to Mars in a spaceship. Neglect all other objects in sky and take acceleration due to gravity on the surface of the Earth and Mars as 10 m/s2 and 4 m/s2 respectively. Identify from the below figures, the curve that fits best for the weight of the passenger as a function of time.
(a) (b)
(b) (c)
(c) (d)
(d) (a)
Ans: (c)
Given, Acceleration due to gravity on Earth, gE = 10 m/s2 and
acceleration due to gravity on Mars, gM = 4 m/s2
We know that, gE (at height h) 
∴ Weight at Earth, mgE = 100 × 10 = 1000 N
As the spaceship moves far away from Earth, the value of gE decreases to zero at a point where gE + gM = 0 and hence weight will also be zero.
This point is called neutral point and is shown by graph (c) in the given figure.
Then, gE increases 4ms−2 at Mars surface and weight becomes 400N which is also exhibited by graph (c).
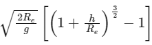
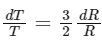
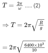
Q14: If the angular velocity of earth's spin is increased such that the bodies at the equator start floating, the duration of the day would be approximately: [Take g = 10 ms−2, the radius of earth, R = 6400 × 103 m, Take π = 3.14]
(a) 84 minutes
(b) 1200 minutes
(c) 60 minutes
(d) does not change
Ans: (a)
For objects to float
mg = 2 ω2R
ω = angular velocity of earth.
R = Radius of earth

Duration of day = T

≃ 84 minuites
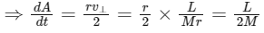
Q15: The angular momentum of a planet of mass M moving around the sun in an elliptical orbit is
The magnitude of the areal velocity of the planet is:
(a) 2L
(b) L/2M
(c) L/M
(d) 4L/M
Ans: (b)
Gravitational force line passes through the sun so torque about sun always zero for the planet.
∴ Angular momentum about sum is constant.
= Constant
we know, L = Mv ⊥ r
Now,



Q16: The time period of a satellite in a circular orbit of radius R is T. The period of another satellite in a circular orbit of radius 9R is :
(a) 9 T
(b) 27 T
(c)12 T
(d) 3 T
Ans: (b)
Kepler's Third Law states that the square of the period of a satellite's orbit is proportional to the cube of the semi-major axis of its orbit. This relationship can be written as:
T2 ∝ r3
where:
T is the orbital period
r is the radius of the circular orbit (which serves as the semi-major axis in this case)
Considering two satellites, one with period T' and radius R, and another with unknown period T′ and radius 9R, we can form an equation:

This simplifies to:

Taking the square root of both sides, we get:

So, the period of another satellite in a circular orbit of radius 9R is 27 T.
Q17: A geostationary satellite is orbiting around an arbitrary planet 'P' at a height of 11R above the surface of 'P', R being the radius of 'P'. The time period of another satellite in hours at a height of 2R from the surface of 'P' is _________. 'P' has the time period of 24 hours.
(a) 3
(b) 5
(c) 6√2
(d) 6/√2
Ans: (a)
From Kepler's law


T = 3 sec
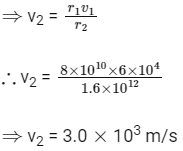
Q18: The maximum and minimum distances of a comet from the Sun are 1.6 × 1012 m and 8.0 × 1010 m respectively. If the speed of the comet at the nearest point is 6 × 104 ms− 1, the speed at the farthest point is:
(a) 3.0 × 103 m/s
(b) 6.0 × 103 m/s
(c) 1.5 × 103 m/s
(d) 4.5 × 103 m/s
Ans: (a)
v1 = 6 × 104 m/s
Let point 1 is nearest point, and point 2 is farthest point.
Given, r1 = 8 × 1010 m & r2 = 1.6 × 1012 m
By angular momentum conservation
L1 = L2 mr1v1 = mr2v2

Q19: A planet revolving in elliptical orbit has:
A. a constant velocity of revolution.
B. has the least velocity when it is nearest to the sun.
C. its areal velocity is directly proportional to its velocity.
D. areal velocity is inversely proportional to its velocity.
E. to follow a trajectory such that the areal velocity is constant.
Choose the correct answer from the options given below:
(a) D only
(b) E only
(c) C only
(d) A only
Ans: (b)
According to Kepler’s second law of planetary motion, areal velocity of every planet moving around the sun should remain constant in elliptical orbit.
Q20: Find the gravitational force of attraction between the ring and sphere as shown in the diagram, where the plane of the ring is perpendicular to the line joining the centres. If √8 R is the distance between the centres of a ring (of mass 'm') and a sphere (mass 'M') where both have equal radius 'R'.
(a) 
(b) 
(c) 
(d) 
Ans: (c)
Force on sphere by the ring,


Q21: A solid sphere of radius R gravitationally attracts a particle placed at 3R from its centre with a force F1. Now a spherical cavity of radius (R/2) is made in the sphere (as shown in figure) and the force becomes F2. The value of F1 : F2 is
(a) 36 : 25
(b) 41 : 50
(c) 50 : 41
(d) 25 : 36
Ans: (c)

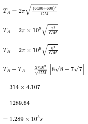
Q22: Two satellites A and B of masses 200 kg and 400 kg are revolving round the earth at height of 600 km and 1600 km respectively.
If TA and TB are the time periods of A and B respectively then the value of TB − TA :
[Given : radius of earth = 6400 km, mass of earth = 6 × 1024 kg]
(a) 1.33 × 103 s
(b) 4.24 × 102 s
(c) 3.33 × 102 s
(d) 4.24 × 103 s
Ans: (a)


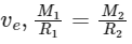
Q23: Given below are two statements : one is labelled as Assertion A and the other is labelled as Reason R.
Assertion A : The escape velocities of planet A and B are same. But A and B are of unequal mass.
Reason R : The product of their mass and radius must be same. M1R1 = M2R2
In the light of the above statements, choose the most appropriate answer from the options given below :
(a) Both A and R are correct and R is the correct explanation of A
(b) Both A and R are correct but R is NOT the correct explanation of A
(c) A is correct but R is not correct
(d) A is not correct but R is correct
Ans: (c)
ve = escape velocity

so for same 
A is true but R is false
Q24: A body weights 49N on a spring balance at the north pole. What will be its weight recorded on the same weighing machine, if it is shifted to the equator?
[Use g = GM/R2 = 9.8 ms−2 and radius of earth, R = 6400 km.]
(a) 49 N
(b) 49.83 N
(c) 48.83 N
(d) 49.17 N
Ans: (c)
Given, weight of body at North pole,
wp = mg = 49 N
Radius of Earth, R = 6400 km
Let weight of body at equator be we.
At equator, ge = g − Rω2
∴ we = mge = m(g − Rω2)
Since, wp > we ⇒ we < 49 N
Hence, above condition is satisfied by only option (b).
Q25: Four identical particles of equal masses 1 kg made to move along the circumference of a circle of radius 1 m under the action of their own mutual gravitational attraction. The speed of each particle will be:
(a) 
(b) 
(c) 
(d) 
Ans: (d)
Given, m = 1 kg, R = 1 m
We know that,

Net force on one particle,

As the gravitational force provides the necessary centripetal force, so

Here, FC = centripetal force.

Q26: Consider two satellites S1 and S2 with periods of revolution 1 hr. and 8 hr. respectively revolving around a planet in circular orbits. The ratio of angular velocity of satellite S1 to the angular velocity of satellite S2 is:
(a) 1 : 4
(b) 8 : 1
(c) 2 : 1
(d) 1 : 8
Ans: (b)
Given, period of revolution of first satellite,
T1 = 1h
Period of revolution of second satellite,
T2 = 8h

We know that, 



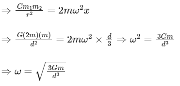
Q27: Two stars of masses m and 2m at a distance d rotate about their common centre of mass in free space. The period of revolution is:
(a) 
(b) 
(c) 
(d) 
Ans: (d)
The given situation is shown below
The gravitational force between these two stars provide the required centripetal force for rotation in a circle about their common centre.
Assuming 2 m at origin, the centre of mass of the system lies at

Hence, FG = FC
where, FG is gravitational force between them and FC is centripetal force.

We know that,

[JEE Mains Numericals]
Q28: Two satellites revolve around a planet in coplanar circular orbits in anticlockwise direction. Their period of revolutions are 1 hour and 8 hours respectively. The radius of the orbit of nearer satellite is 2 × 103 km. The angular speed of the farther satellite as observed from the nearer satellite at the instant when both the satellites are closest is
where x is ____________.
Ans: 3

T1 = 1 hour
⇒ ω1 = 2π rad/hour
T2 = 8 hours
⇒ ω2 = π/4 rad/hour
R1 = 2 × 103 km
As T2 ∝ R3







x = 3
Q29: A body of mass (2M) splits into four masses (m, M − m, m, M − m), which are rearranged to form a square as shown in the figure. The ratio of M/m for which, the gravitational potential energy of the system becomes maximum is x : 1. The value of x is .............
Ans: 2
Energy is maximum when mass is split equally so M/m = 2
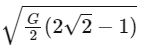
Q30: Suppose two planets (spherical in shape) in radii R and 2R, but mass M and 9M respectively have a centre to centre separation 8 R as shown in the figure. A satellite of mass 'm' is projected from the surface of the planet of mass 'M' directly towards the centre of the second planet. The minimum speed 'v' required for the satellite to reach the surface of the second planet is
then the value of 'a' is ____________.
[Given: The two planets are fixed in their position]
Ans: 4
Acceleration due to gravity will be zero at P therefore,


Q31: The radius in kilometer to which the present radius of earth (R = 6400 km) to be compressed so that the escape velocity is increased 10 times is ___________.
Ans: 64




Q32: If one wants to remove all the mass of the earth to infinity in order to break it up completely.
The amount of energy that needs to be supplied will be
where x is __________ (Round off to the Nearest Integer) (M is the mass of earth, R is the radius of earth, G is the gravitational constant)
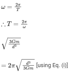
Ans: 3
We know that binding energy of earth,

∴ Energy required to break the earth into pieces

According to question, the amount of energy that needs to be supplied is 
Comparing it with value in Eq. (i), we get, x = 3
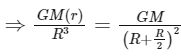
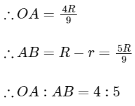
Q33: In the reported figure of earth, the value of acceleration due to gravity is same at point A and C but it is smaller than that of its value at point B (surface of the earth). The value of OA : AB will be x : y. The value of x is ________.
Ans: 4


Given, gA = gC




∴ x = 4
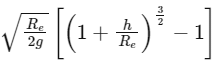
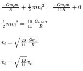
Q34: The initial velocity vi required to project a body vertically upward from the surface of the earth to reach a height of 10R, where R is the radius of the earth, may be described in terms of escape velocity ve such that
The value of x will be ____________.
Ans: 10
Here R = radius of the earth
From energy conservation

{∵ escape velocity 
Then the value of x = 10