JEE Exam  >  JEE Notes  >  Chapter-wise Tests for JEE Main & Advanced  >  JEE Mains Previous Year Questions (2025)): Laws of Motion

JEE Mains Previous Year Questions (2025)): Laws of Motion | Chapter-wise Tests for JEE Main & Advanced PDF Download

Q1: A block of mass 5 kg is (i) pushed in case (A) and (ii) pulled in case (B), by a force F = 20 N, making an angle of 30o with the horizontal, as shown in the figures. The coefficient of friction between the block and floor is μ = 0.2. The difference between the accelerations of the blocks, in case (B) and case (A) will be: (g = 10 ms–2) 
JEE Mains Previous Year Questions (2025)): Laws of Motion | Chapter-wise Tests for JEE Main & Advanced
JEE Mains Previous Year Questions (2025)): Laws of Motion | Chapter-wise Tests for JEE Main & Advanced(a) 3.2 ms–2
(b) 0.8 ms–2
(c) 0 ms–2
(d) 0.4 ms–2
Ans: 
(b)
JEE Mains Previous Year Questions (2025)): Laws of Motion | Chapter-wise Tests for JEE Main & AdvancedN = mg + 20 sin30o 
JEE Mains Previous Year Questions (2025)): Laws of Motion | Chapter-wise Tests for JEE Main & Advanced = 60 N
Limition friction, fL = μN = 0.2 × 60 = 12 N
And horizontal force(Fx) = 20 cos30o = 10√3 = 17.32 N
As Fx > fL, then the block will move with acceleration aA. 
JEE Mains Previous Year Questions (2025)): Laws of Motion | Chapter-wise Tests for JEE Main & Advanced
JEE Mains Previous Year Questions (2025)): Laws of Motion | Chapter-wise Tests for JEE Main & AdvancedN + 20 sin30o = mg
N = mg - 20 sin30o
= 50 - 10 = 40 N
Limition friction, fL = μN = 0.2 × 40 = 8 N
And horizontal force(Fx) = 20 cos30o = 10√3 = 17.32 N
As Fx > fL, then the block will move with acceleration aB. 
JEE Mains Previous Year Questions (2025)): Laws of Motion | Chapter-wise Tests for JEE Main & Advanced
Difference between acceleration
JEE Mains Previous Year Questions (2025)): Laws of Motion | Chapter-wise Tests for JEE Main & Advanced

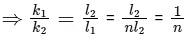
Q2: A spring whose unstretched length is l has a force constant k. The spring is cut into two pieces of unstretched lengths l1 and l2 where, l1 = nl2 and n is an integer. The ratio k1/k2 of the corresponding force constant, k1 and k2 will be: 
(a) 1/n2
(b) 1/n
(c) n2
(d) n
Ans: 
(b)
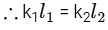
For a spring, k × l = constant.
JEE Mains Previous Year Questions (2025)): Laws of Motion | Chapter-wise Tests for JEE Main & Advanced
JEE Mains Previous Year Questions (2025)): Laws of Motion | Chapter-wise Tests for JEE Main & Advanced

Q3: A bullet of mass 20 g has an initial speed of 1 ms–1 , just before it starts penetrating a mud wall of thickness 20 cm. If the wall offers a mean resistance of 2.5 × 10–2 N, the speed of the bullet after emerging from the other side of the wall is close to :
(a) 0.3 ms-1
(b) 0.1 ms-1
(c) 0.7 ms-1
(d) 0.4 ms-1
Ans: 
(c)
Given, resistance offered by the wall
JEE Mains Previous Year Questions (2025)): Laws of Motion | Chapter-wise Tests for JEE Main & Advanced
So, deacceleration of bullet,
JEE Mains Previous Year Questions (2025)): Laws of Motion | Chapter-wise Tests for JEE Main & Advanced
JEE Mains Previous Year Questions (2025)): Laws of Motion | Chapter-wise Tests for JEE Main & Advanced
Now, using the equation of motion,
v2 − u2 = 2 as
We have,
JEE Mains Previous Year Questions (2025)): Laws of Motion | Chapter-wise Tests for JEE Main & Advanced
JEE Mains Previous Year Questions (2025)): Laws of Motion | Chapter-wise Tests for JEE Main & Advanced
JEE Mains Previous Year Questions (2025)): Laws of Motion | Chapter-wise Tests for JEE Main & Advanced
JEE Mains Previous Year Questions (2025)): Laws of Motion | Chapter-wise Tests for JEE Main & Advanced

Q4: Two blocks A and B of masses m= 1 kg and m= 3 kg are kept on the table as shown in figure. The coefficient of friction between A and B is 0.2 and between B and the surface of the table is also 0.2. The maximum force F that can be applied on B horizontally, so that the block A does not slide over the block B is: [Take g = 10 m/s2] 
JEE Mains Previous Year Questions (2025)): Laws of Motion | Chapter-wise Tests for JEE Main & Advanced
(a) 8 N
(b) 16 N
(c) 40 N
(d) 12 N
Ans: 
(b)
MA = 1 kg, MB = 3 k
μAB = 0.2
μB = 0.2
Fmax = (MA + MB) × 0.2 × 10 + (MA + MB) × 0.2 × 10
= 4 × 2 + 4 × 2 = 16 

Q5: A ball is thrown upward with an initial velocity V0 from the surface of the earth. The motion of the ball is affected by a drag force equal to mγu2 (where m is mass of the ball, u is its instantaneous velocity and γ is a constant). Time taken by the ball to rise to its zenith is:
(a) JEE Mains Previous Year Questions (2025)): Laws of Motion | Chapter-wise Tests for JEE Main & Advanced

(b) JEE Mains Previous Year Questions (2025)): Laws of Motion | Chapter-wise Tests for JEE Main & Advanced
(c) JEE Mains Previous Year Questions (2025)): Laws of Motion | Chapter-wise Tests for JEE Main & Advanced
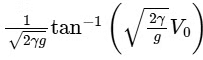
(d) JEE Mains Previous Year Questions (2025)): Laws of Motion | Chapter-wise Tests for JEE Main & Advanced
Ans: (a)
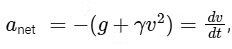
Given, drag force, F = mγv2 ......(i)
As we know, general equation of force
= ma .........(ii)
Comparing Eqs. (i) and (ii), we get
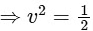
a = γv2 
The net retardation of the ball when thrown vertically upward is therefore net JEE Mains Previous Year Questions (2025)): Laws of Motion | Chapter-wise Tests for JEE Main & Advanced where g is the acceleration due to gravity.
Rearranging terms gives us:
JEE Mains Previous Year Questions (2025)): Laws of Motion | Chapter-wise Tests for JEE Main & AdvancedWe now need to integrate both sides of this equation.
When the ball is thrown upward with velocity v0 and reaches its zenith ( "zenith" refers to the highest point that the ball reaches in its upward trajectory.), the velocity is 0. The time to reach the zenith is 0.
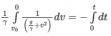
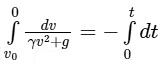
So the integral equation is t:
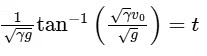
JEE Mains Previous Year Questions (2025)): Laws of Motion | Chapter-wise Tests for JEE Main & Advanced
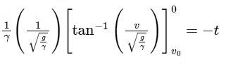
Separating the constants from the integral:
JEE Mains Previous Year Questions (2025)): Laws of Motion | Chapter-wise Tests for JEE Main & Advanced
Recognizing the integral as the standard form JEE Mains Previous Year Questions (2025)): Laws of Motion | Chapter-wise Tests for JEE Main & Advanced we write the integral in terms of the arctangent function.
This gives us :
JEE Mains Previous Year Questions (2025)): Laws of Motion | Chapter-wise Tests for JEE Main & Advanced
Evaluating the integral at the bounds gives us:
JEE Mains Previous Year Questions (2025)): Laws of Motion | Chapter-wise Tests for JEE Main & Advanced
Therefore, the time taken by the ball to rise to its zenith, considering the drag force, is given by
JEE Mains Previous Year Questions (2025)): Laws of Motion | Chapter-wise Tests for JEE Main & Advanced

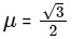
Q6: A block kept on a rough inclined plane, as shown in the figure, remains at rest upto a maximum force 2 N down the inclined plane. The maximum external force up the inclined plane that does not move the block is 10 N. The coefficient of static friction between the block and the plane is : [Take g = 10 m/s2]
JEE Mains Previous Year Questions (2025)): Laws of Motion | Chapter-wise Tests for JEE Main & Advanced
(a) √3/4
(b) 1/2
(c) √3/2
(d) 2/3
Ans:
 (c)
2 + mg sin30 = μmg cos30o
10 = mgsin30 + μmg cos30o
= 2μmg cos30  2
6 = μmg cos30
4 = mg sin30
JEE Mains Previous Year Questions (2025)): Laws of Motion | Chapter-wise Tests for JEE Main & Advanced
JEE Mains Previous Year Questions (2025)): Laws of Motion | Chapter-wise Tests for JEE Main & Advanced

Q7: Two forces P and Q, of magnitude 2F and 3F, respectively, are at an angle θ with each other. If the force Q is doubled, then their resultant also gets doubled. Then, the angle θ is -
(a) 90o
(b) 60o
(c) 30o
(d) 120o
Ans:
(d)
4F2 + 9F2 + 12F2 cos θ = R2
4F2 + 36F2 + 24F2 cos θ = 4R2
4F2 + 36F2 + 24F2 cos θ
= 4(13F2 + 12F2cosθ) = 52F2 + 48F2cos θ
JEE Mains Previous Year Questions (2025)): Laws of Motion | Chapter-wise Tests for JEE Main & Advanced

Q8: A mass of 10 kg is suspended vertically by a rope from the roof. When a horizontal force is applied on the rope at some point. the rope deviated at an angle of 45o at the roof point. If the suspended mass is at equilibrium, the magnitude of the force applied is (g = 10 ms−2)
(a) 200 N
(b) 140 N
(c) 70 N
(d) 100 N
Ans:
(d)
JEE Mains Previous Year Questions (2025)): Laws of Motion | Chapter-wise Tests for JEE Main & Advancedtan 45o = F/mg
  F = mg
= 10 × 10
= 100 N 

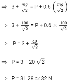
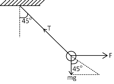
Q9: A block of mass 10 kg is kept on a rough inclined plane as shown in the figure. A force of 3 N is applied on the block. The coefficient of static friction between the plane and the block is 0.6. What should be the minimum value of force P, such that the block does not move downward? (take g = 10 ms−2) 
JEE Mains Previous Year Questions (2025)): Laws of Motion | Chapter-wise Tests for JEE Main & Advanced(a) 32 N
(b) 18 N
(c) 23 N
(d) 25 N
Ans: 
(a)
JEE Mains Previous Year Questions (2025)): Laws of Motion | Chapter-wise Tests for JEE Main & AdvancedAt equilibrium,
N = mg cos 45o    . . . . . . (1)
3 + mg sin 45o =  P + μN
JEE Mains Previous Year Questions (2025)): Laws of Motion | Chapter-wise Tests for JEE Main & Advanced

The document JEE Mains Previous Year Questions (2025)): Laws of Motion | Chapter-wise Tests for JEE Main & Advanced is a part of the JEE Course Chapter-wise Tests for JEE Main & Advanced.
All you need of JEE at this link: JEE
446 docs|929 tests

FAQs on JEE Mains Previous Year Questions (2025)): Laws of Motion - Chapter-wise Tests for JEE Main & Advanced

1. What are the laws of motion in physics?
Ans. The laws of motion are three fundamental principles formulated by Sir Isaac Newton to describe the motion of objects. These laws are: 1. Newton's First Law of Motion (Law of Inertia): An object at rest stays at rest, and an object in motion stays in motion with the same speed and in the same direction unless acted upon by an external force. 2. Newton's Second Law of Motion: The acceleration of an object is directly proportional to the net force acting on it and inversely proportional to its mass. It can be expressed as F = ma, where F is the net force, m is the mass of the object, and a is the acceleration produced. 3. Newton's Third Law of Motion: For every action, there is an equal and opposite reaction. This means that whenever an object exerts a force on another object, the second object exerts an equal and opposite force on the first object.
2. How do the laws of motion apply to everyday life?
Ans. The laws of motion apply to various aspects of everyday life. Some examples include: - Newton's First Law: When a car suddenly stops, the passengers tend to move forward due to their inertia. - Newton's Second Law: Pushing a heavy object requires more force than pushing a lighter object, as the acceleration is inversely proportional to the mass. - Newton's Third Law: Jumping from a boat to the shore causes the boat to move backward due to the reaction force.
3. What is the significance of the laws of motion in engineering?
Ans. The laws of motion are of great significance in engineering. They are used to design structures, machines, and vehicles, ensuring their stability, safety, and efficiency. Engineers apply these laws to calculate forces, accelerations, and motions of various components and systems. Understanding the laws of motion helps engineers in designing bridges, buildings, airplanes, cars, and many other engineering marvels.
4. Can you explain the concept of inertia in Newton's first law of motion?
Ans. Inertia is the resistance of an object to changes in its state of motion. According to Newton's First Law of Motion, an object at rest stays at rest, and an object in motion stays in motion with the same speed and in the same direction unless acted upon by an external force. This property of objects to resist changes in their motion is called inertia. Inertia depends on the mass of the object, with larger mass objects having greater inertia.
5. How are the laws of motion related to the concept of force?
Ans. The laws of motion and the concept of force are closely related. Newton's Second Law of Motion states that the acceleration of an object is directly proportional to the net force acting on it and inversely proportional to its mass. This equation, F = ma, shows that force is the cause of acceleration. The third law of motion also states that forces always occur in pairs, with equal magnitudes but opposite directions. Therefore, force plays a crucial role in determining the motion and behavior of objects according to the laws of motion.
Related Searches

shortcuts and tricks

,

pdf

,

Semester Notes

,

JEE Mains Previous Year Questions (2025)): Laws of Motion | Chapter-wise Tests for JEE Main & Advanced

,

mock tests for examination

,

Viva Questions

,

ppt

,

Previous Year Questions with Solutions

,

JEE Mains Previous Year Questions (2025)): Laws of Motion | Chapter-wise Tests for JEE Main & Advanced

,

Important questions

,

Sample Paper

,

study material

,

Exam

,

Free

,

JEE Mains Previous Year Questions (2025)): Laws of Motion | Chapter-wise Tests for JEE Main & Advanced

,

Objective type Questions

,

past year papers

,

Summary

,

practice quizzes

,

video lectures

,

MCQs

,

Extra Questions

;