JEE Exam  >  JEE Notes  >  Chapter-wise Tests for JEE Main & Advanced  >  JEE Mains Previous Year Questions (2025)): Laws of Motion

JEE Mains Previous Year Questions (2025)): Laws of Motion | Chapter-wise Tests for JEE Main & Advanced PDF Download

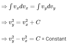
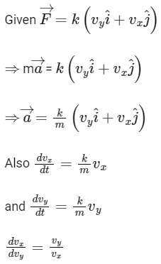
Q1: A particle moving in the xy plane experiences a velocity dependent force JEE Mains Previous Year Questions (2025)): Laws of Motion | Chapter-wise Tests for JEE Main & Advanced , where vx and vy are the x and y components of its velocity JEE Mains Previous Year Questions (2025)): Laws of Motion | Chapter-wise Tests for JEE Main & Advanced is the acceleration of the particle, then which of the following statements is true for the particle?
(a) kinetic energy of particle is constant in time
(b) quantity JEE Mains Previous Year Questions (2025)): Laws of Motion | Chapter-wise Tests for JEE Main & Advanced is constant in time
(c) quantity JEE Mains Previous Year Questions (2025)): Laws of Motion | Chapter-wise Tests for JEE Main & Advanced is constant in time
(d) JEE Mains Previous Year Questions (2025)): Laws of Motion | Chapter-wise Tests for JEE Main & Advanced arises due to a magnetic field
Ans:
(b)
JEE Mains Previous Year Questions (2025)): Laws of Motion | Chapter-wise Tests for JEE Main & Advanced
JEE Mains Previous Year Questions (2025)): Laws of Motion | Chapter-wise Tests for JEE Main & Advanced
From Option (B),
JEE Mains Previous Year Questions (2025)): Laws of Motion | Chapter-wise Tests for JEE Main & Advanced
= Constant

Q2: An insect is at the bottom of a hemispherical ditch of radius 1 m. It crawls up the ditch but starts slipping after it is at height h from the bottom. If the coefficient of friction between the ground and the insect is 0.75, then h is : (g = 10 ms–2)
(a) 0.45 m
(b) 0.60 m
(c) 0.20 m
(d) 0.80 m
Ans:
(c)
JEE Mains Previous Year Questions (2025)): Laws of Motion | Chapter-wise Tests for JEE Main & AdvancedFor balancing mgsin θ = f
mgsin θ = μ mgcos θ
⇒ tan θ = μ = 3/4
JEE Mains Previous Year Questions (2025)): Laws of Motion | Chapter-wise Tests for JEE Main & Advancedh = R – R cos θ
JEE Mains Previous Year Questions (2025)): Laws of Motion | Chapter-wise Tests for JEE Main & Advanced
JEE Mains Previous Year Questions (2025)): Laws of Motion | Chapter-wise Tests for JEE Main & Advanced

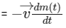
Q3: A spaceship in space sweeps stationary interplanetary dust. As a result, its mass increases at a rate JEE Mains Previous Year Questions (2025)): Laws of Motion | Chapter-wise Tests for JEE Main & Advanced where v(t) is its instantaneous velocity. The instantaneous acceleration of the satellite is :
(a) -bv3(t)
(b) JEE Mains Previous Year Questions (2025)): Laws of Motion | Chapter-wise Tests for JEE Main & Advanced
(c) JEE Mains Previous Year Questions (2025)): Laws of Motion | Chapter-wise Tests for JEE Main & Advanced
(d) JEE Mains Previous Year Questions (2025)): Laws of Motion | Chapter-wise Tests for JEE Main & Advanced
Ans: (c)
JEE Mains Previous Year Questions (2025)): Laws of Motion | Chapter-wise Tests for JEE Main & Advanced
In free space no external force so there in only thrust force on rocket.
JEE Mains Previous Year Questions (2025)): Laws of Motion | Chapter-wise Tests for JEE Main & Advanced
Force on satellite JEE Mains Previous Year Questions (2025)): Laws of Motion | Chapter-wise Tests for JEE Main & Advanced
M(t)a = – v (bv2)
JEE Mains Previous Year Questions (2025)): Laws of Motion | Chapter-wise Tests for JEE Main & Advanced

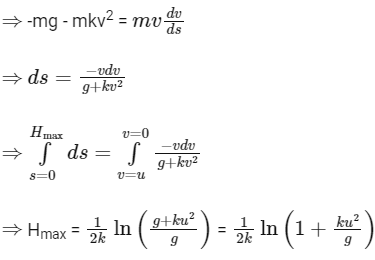
Q4: A small ball of mass m is thrown upward with velocity u from the ground. The ball experiences a resistive force mkv2 where v is its speed. The maximum height attained by the ball is:
(a) JEE Mains Previous Year Questions (2025)): Laws of Motion | Chapter-wise Tests for JEE Main & Advanced
(b) JEE Mains Previous Year Questions (2025)): Laws of Motion | Chapter-wise Tests for JEE Main & Advanced
(c) JEE Mains Previous Year Questions (2025)): Laws of Motion | Chapter-wise Tests for JEE Main & Advanced
(d) JEE Mains Previous Year Questions (2025)): Laws of Motion | Chapter-wise Tests for JEE Main & Advanced
Ans:
(c)
JEE Mains Previous Year Questions (2025)): Laws of Motion | Chapter-wise Tests for JEE Main & AdvancedFnet = ma
JEE Mains Previous Year Questions (2025)): Laws of Motion | Chapter-wise Tests for JEE Main & Advanced

Q5: A mass of 10 kg is suspended by a rope of length 4 m, from the ceiling. A force F is applied horizontally at the mid point of the rope such that the top half of the rope makes an angle of 45o with the vertical. Then F equal : (Take g = 10 ms–2 and the rope to be massless)
(a) 100 N
(b) 75 N
(c) 90 N
(d) 70 N
Ans: 
(b)
JEE Mains Previous Year Questions (2025)): Laws of Motion | Chapter-wise Tests for JEE Main & AdvancedFor equilibrium,
T sin 45o = F ....(1)
and T cos 45o = 10g ....(2)
Performing (1)/(2)
we get F = 10g = 100 N 

The document JEE Mains Previous Year Questions (2025)): Laws of Motion | Chapter-wise Tests for JEE Main & Advanced is a part of the JEE Course Chapter-wise Tests for JEE Main & Advanced.
All you need of JEE at this link: JEE
481 docs|964 tests
Related Searches

Objective type Questions

,

shortcuts and tricks

,

Summary

,

Semester Notes

,

Sample Paper

,

practice quizzes

,

mock tests for examination

,

Previous Year Questions with Solutions

,

ppt

,

study material

,

JEE Mains Previous Year Questions (2025)): Laws of Motion | Chapter-wise Tests for JEE Main & Advanced

,

Viva Questions

,

MCQs

,

JEE Mains Previous Year Questions (2025)): Laws of Motion | Chapter-wise Tests for JEE Main & Advanced

,

pdf

,

JEE Mains Previous Year Questions (2025)): Laws of Motion | Chapter-wise Tests for JEE Main & Advanced

,

Free

,

Important questions

,

video lectures

,

Exam

,

Extra Questions

,

past year papers

;