Electrical Engineering (EE) Exam  >  Electrical Engineering (EE) Notes  >  6 Months Preparation for GATE Electrical  >  Lecture 27 - Characteristic Equation, Eigenvalues and Eigenvectors

Lecture 27 - Characteristic Equation, Eigenvalues and Eigenvectors | 6 Months Preparation for GATE Electrical - Electrical Engineering (EE) PDF Download

Lecture 27 - Characteristic Equation, eigenvalues and eigen vectors, Control Systems

 

1 Characteristic Equation, eigenvalues and eigen vectors

For a discrete state space model, the characteristic equation is defined as
|zI − A| = 0
The roots of the characteristic equation are the eigenvalues of matrix A
1. If det(A) = 0, i.e., A is nonsingular and λ1, λ2, · · · , λn are the eigenvalues of A, then,Lecture 27 - Characteristic Equation, Eigenvalues and Eigenvectors | 6 Months Preparation for GATE Electrical - Electrical Engineering (EE)Lecture 27 - Characteristic Equation, Eigenvalues and Eigenvectors | 6 Months Preparation for GATE Electrical - Electrical Engineering (EE) will be the eigenvalues of A−1.

2. Eigenvalues of A and AT are same when A is a real matrix.

3. If A is a real symmetric matrix then all its eigenvalues are real.

The n × 1 vector vi which satisfies the matrix equation

Avi = λivi                                     (1)

where λi, i = 1, 2, · · · , n denotes the ith eigenvalue, is called the eigen vector of A associated with the eigenvalue λi. If eigenvalues are distinct, they can be solved directly from equation (1).

Properties of eigen vectors 

1. An eigen vector cannot be a null vector.

2. If vi is an eigen vector of A then mvi is also an eigen vector of A where m is a scalar.

3. If A has n distinct eigenvalues, then the n eigen vectors are linearly independent.

Eigen vectors of multiple order eigenvalues When the matrix A an eigenvalue λ of multiplicity m, a full set of linearly independent may not exist. The number of linearly independent eigen vectors is equal to the degeneracy d of λI − A.

The degeneracy is defined as

d = n − r

where n is the dimension of A and r is the rank of λI − A. Furthermore,

1 ≤ d ≤ m


2 Similarity Transformation and Diagonalization 

Square matrices A and Lecture 27 - Characteristic Equation, Eigenvalues and Eigenvectors | 6 Months Preparation for GATE Electrical - Electrical Engineering (EE) are similar if

Lecture 27 - Characteristic Equation, Eigenvalues and Eigenvectors | 6 Months Preparation for GATE Electrical - Electrical Engineering (EE)

The non-singular matrix P is called similarity transformation matrix. It should be noted that eigenvalues of a square matrix A are not altered by similarity transformation.
Diagonalization:

If the system matrix A of a state variable model is diagonal then the state dynamics are decoupled from each other and solving the state equations become much more simpler.

In general, if A has distinct eigenvalues, it can be diagonalized using similarity transformation. Consider a square matrix A which has distinct eigenvalues λ1, λ2, . . . λn. It is required to find a transformation matrix P which will convert A into a diagonal form

Lecture 27 - Characteristic Equation, Eigenvalues and Eigenvectors | 6 Months Preparation for GATE Electrical - Electrical Engineering (EE)

through similarity transformation AP = P Λ. If v1, v2, . . . , vn are the eigenvectors of matrix A corresponding to eigenvalues λ1, λ2, . . . λn, then we know Av= λivi. This gives

A [v1 v2 . . . vn ] = [v1 v2 . . . vn ]Lecture 27 - Characteristic Equation, Eigenvalues and Eigenvectors | 6 Months Preparation for GATE Electrical - Electrical Engineering (EE)

Thus P = [v1 v2 . . . vn].

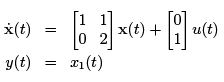
Consider the following state model.

x(k + 1) = Ax(k) + Bu(k)

If P transforms the state vector x(k) to z(k) through the relation

x(k) = P z(k), or, z(k) = P −1x(k)

then the modified state space model becomes

z(k + 1) = P −1AP z(k) + P −1Bu(k)

where P −1AP = Λ.


3 Computation of Φ(t) 

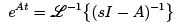
We have seen that to derive the state space model of a sampled data system, we need to know the continuous time state transition matrix Φ(t) = eAt.

 

3.1 Using Inverse Laplace Transform For the system

Lecture 27 - Characteristic Equation, Eigenvalues and Eigenvectors | 6 Months Preparation for GATE Electrical - Electrical Engineering (EE) = Ax(t) + B u(t), the state transition matrix eAt can be computed as,

Lecture 27 - Characteristic Equation, Eigenvalues and Eigenvectors | 6 Months Preparation for GATE Electrical - Electrical Engineering (EE)


3.2 Using Similarity Transformation

If Λ is the diagonal representation of the matrix A, then Λ = P −1AP . When a matrix is in diagonal form, computation of state transition matrix is straight forward:

Lecture 27 - Characteristic Equation, Eigenvalues and Eigenvectors | 6 Months Preparation for GATE Electrical - Electrical Engineering (EE)

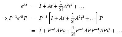
Given eΛt, we can show that

eAt = P eΛtP −1

Lecture 27 - Characteristic Equation, Eigenvalues and Eigenvectors | 6 Months Preparation for GATE Electrical - Electrical Engineering (EE)

Lecture 27 - Characteristic Equation, Eigenvalues and Eigenvectors | 6 Months Preparation for GATE Electrical - Electrical Engineering (EE)


3.3 Using Caley Hamilton Theorem 

Every square matrix A satisfies its own characteristic equation. If the characteristic equation is

Lecture 27 - Characteristic Equation, Eigenvalues and Eigenvectors | 6 Months Preparation for GATE Electrical - Electrical Engineering (EE)

then,

Lecture 27 - Characteristic Equation, Eigenvalues and Eigenvectors | 6 Months Preparation for GATE Electrical - Electrical Engineering (EE)

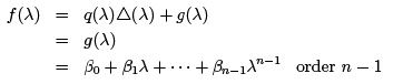
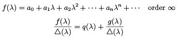
Application: Evaluation of any function f (λ) and f (A)  

Lecture 27 - Characteristic Equation, Eigenvalues and Eigenvectors | 6 Months Preparation for GATE Electrical - Electrical Engineering (EE)

Lecture 27 - Characteristic Equation, Eigenvalues and Eigenvectors | 6 Months Preparation for GATE Electrical - Electrical Engineering (EE)

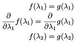
If A has distinct eigenvalues λ1, · · · , λn , then,

f (λ) = g(λi ), i = 1, · · · , n

The solution will give rise to β0 , β1 , · · · , βn−1 , then

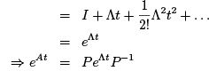
f (A) = β0I + β1A + · · · + βn−1An−1 

If there are multiple roots (multiplicity = 2), then

f (λi) = g(λi)                                                 (2)

Lecture 27 - Characteristic Equation, Eigenvalues and Eigenvectors | 6 Months Preparation for GATE Electrical - Electrical Engineering (EE)                          (3)


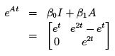
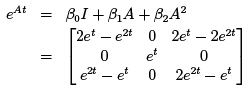
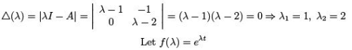
Example 1:

Lecture 27 - Characteristic Equation, Eigenvalues and Eigenvectors | 6 Months Preparation for GATE Electrical - Electrical Engineering (EE)

then compute the state transition matrix using Caley Hamilton Theorem.

Lecture 27 - Characteristic Equation, Eigenvalues and Eigenvectors | 6 Months Preparation for GATE Electrical - Electrical Engineering (EE)= (λ−1)2(λ−2) = 0 ⇒ λ1 = 1 (with multiplicity 2), λ2 = 2

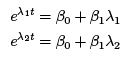
Let f (λ) = eλt and g(λ) = β0 + β1λ + β2λ2 Then using (2) and (3), we can write

Lecture 27 - Characteristic Equation, Eigenvalues and Eigenvectors | 6 Months Preparation for GATE Electrical - Electrical Engineering (EE)

This implies

Lecture 27 - Characteristic Equation, Eigenvalues and Eigenvectors | 6 Months Preparation for GATE Electrical - Electrical Engineering (EE)

Solving the above equations  

Lecture 27 - Characteristic Equation, Eigenvalues and Eigenvectors | 6 Months Preparation for GATE Electrical - Electrical Engineering (EE)

Then

Lecture 27 - Characteristic Equation, Eigenvalues and Eigenvectors | 6 Months Preparation for GATE Electrical - Electrical Engineering (EE)

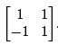
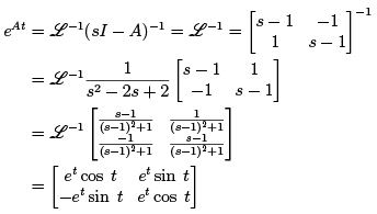
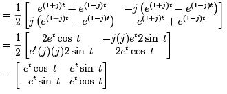
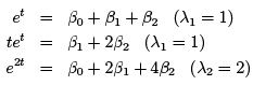
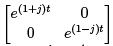
Example 2 For the system Lecture 27 - Characteristic Equation, Eigenvalues and Eigenvectors | 6 Months Preparation for GATE Electrical - Electrical Engineering (EE) = Ax(t) + B u(t), where A =Lecture 27 - Characteristic Equation, Eigenvalues and Eigenvectors | 6 Months Preparation for GATE Electrical - Electrical Engineering (EE) compute eAt using 3 different techniques.

Solution: Eigenvalues of matrix A are 1 ± j 1.

Method 1

Lecture 27 - Characteristic Equation, Eigenvalues and Eigenvectors | 6 Months Preparation for GATE Electrical - Electrical Engineering (EE)


Method 2

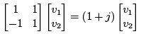
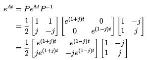
eAt = P eΛtP −1 where eΛt =Lecture 27 - Characteristic Equation, Eigenvalues and Eigenvectors | 6 Months Preparation for GATE Electrical - Electrical Engineering (EE) Eigen values are 1 ± j . The corresponding eigenvectors are found by using equation Av= λivi as follows

Lecture 27 - Characteristic Equation, Eigenvalues and Eigenvectors | 6 Months Preparation for GATE Electrical - Electrical Engineering (EE)

Taking v1 = 1, we get v2 = j . So, the eigenvector corresponding to 1 + j isLecture 27 - Characteristic Equation, Eigenvalues and Eigenvectors | 6 Months Preparation for GATE Electrical - Electrical Engineering (EE)  and the one corresponding to 1 − j is  Lecture 27 - Characteristic Equation, Eigenvalues and Eigenvectors | 6 Months Preparation for GATE Electrical - Electrical Engineering (EE) The transformation matrix is given by

Lecture 27 - Characteristic Equation, Eigenvalues and Eigenvectors | 6 Months Preparation for GATE Electrical - Electrical Engineering (EE)

Now,

Lecture 27 - Characteristic Equation, Eigenvalues and Eigenvectors | 6 Months Preparation for GATE Electrical - Electrical Engineering (EE)

Lecture 27 - Characteristic Equation, Eigenvalues and Eigenvectors | 6 Months Preparation for GATE Electrical - Electrical Engineering (EE)


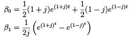
Method 3: Caley Hamilton Theorem The eigenvalues are λ1,2 = 1 ± j .

Lecture 27 - Characteristic Equation, Eigenvalues and Eigenvectors | 6 Months Preparation for GATE Electrical - Electrical Engineering (EE)

Solving,

Lecture 27 - Characteristic Equation, Eigenvalues and Eigenvectors | 6 Months Preparation for GATE Electrical - Electrical Engineering (EE)

Hence,

Lecture 27 - Characteristic Equation, Eigenvalues and Eigenvectors | 6 Months Preparation for GATE Electrical - Electrical Engineering (EE)

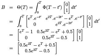
We will now show through an example how to derive discrete state equation from a continuous one.

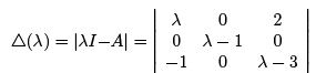
Example: Consider the following state model of a continuous time system.

Lecture 27 - Characteristic Equation, Eigenvalues and Eigenvectors | 6 Months Preparation for GATE Electrical - Electrical Engineering (EE)

If the system is under a sampling process with period T , derive the discrete state model of the system.

To derive the discrete state space model, let us first compute the state transition matrix of the continuous time system using Caley Hamilton Theorem.

Lecture 27 - Characteristic Equation, Eigenvalues and Eigenvectors | 6 Months Preparation for GATE Electrical - Electrical Engineering (EE)

This implies

Lecture 27 - Characteristic Equation, Eigenvalues and Eigenvectors | 6 Months Preparation for GATE Electrical - Electrical Engineering (EE)

Solving the above equations

Lecture 27 - Characteristic Equation, Eigenvalues and Eigenvectors | 6 Months Preparation for GATE Electrical - Electrical Engineering (EE)

Then

Lecture 27 - Characteristic Equation, Eigenvalues and Eigenvectors | 6 Months Preparation for GATE Electrical - Electrical Engineering (EE)

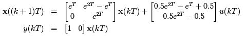
Thus the discrete state matrix A is given as

Lecture 27 - Characteristic Equation, Eigenvalues and Eigenvectors | 6 Months Preparation for GATE Electrical - Electrical Engineering (EE)

The discrete input matrix B can be computed as

Lecture 27 - Characteristic Equation, Eigenvalues and Eigenvectors | 6 Months Preparation for GATE Electrical - Electrical Engineering (EE)

The discrete state equation is thus described by

Lecture 27 - Characteristic Equation, Eigenvalues and Eigenvectors | 6 Months Preparation for GATE Electrical - Electrical Engineering (EE)

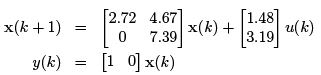
When T = 1, the state equations become

Lecture 27 - Characteristic Equation, Eigenvalues and Eigenvectors | 6 Months Preparation for GATE Electrical - Electrical Engineering (EE)

The document Lecture 27 - Characteristic Equation, Eigenvalues and Eigenvectors | 6 Months Preparation for GATE Electrical - Electrical Engineering (EE) is a part of the Electrical Engineering (EE) Course 6 Months Preparation for GATE Electrical.
All you need of Electrical Engineering (EE) at this link: Electrical Engineering (EE)
675 videos|1379 docs|882 tests

FAQs on Lecture 27 - Characteristic Equation, Eigenvalues and Eigenvectors - 6 Months Preparation for GATE Electrical - Electrical Engineering (EE)

1. What is the characteristic equation in linear algebra?
Ans. The characteristic equation in linear algebra is a polynomial equation that is obtained by setting the determinant of a matrix minus a scalar multiple of the identity matrix equal to zero. It is used to find the eigenvalues of the matrix.
2. How are eigenvalues and eigenvectors related?
Ans. Eigenvalues and eigenvectors are related in linear algebra. An eigenvalue is a scalar that represents how the corresponding eigenvector is stretched or squished by a linear transformation. Eigenvectors are the vectors that remain in the same direction, even after the transformation.
3. How can we find eigenvalues and eigenvectors?
Ans. To find the eigenvalues and eigenvectors of a matrix, we need to solve the characteristic equation. First, we find the determinant of the matrix minus a scalar multiple of the identity matrix. Then, we set this determinant equal to zero to get the characteristic equation. Solving this equation will give us the eigenvalues. Once we have the eigenvalues, we can substitute them back into the matrix equation to find the eigenvectors.
4. Why are eigenvalues and eigenvectors important in linear algebra?
Ans. Eigenvalues and eigenvectors are important in linear algebra because they provide valuable information about linear transformations and matrices. They help us understand how a transformation stretches or squishes vectors and provide a basis for analyzing the behavior of vectors under a given transformation. Eigenvalues and eigenvectors also have various applications in fields such as physics, computer science, and engineering.
5. Can a matrix have complex eigenvalues and eigenvectors?
Ans. Yes, a matrix can have complex eigenvalues and eigenvectors. Complex eigenvalues and eigenvectors arise when the matrix has complex entries or when the transformation represented by the matrix involves rotations or other non-real operations. In such cases, the eigenvalues and eigenvectors will have complex components.
Related Searches

Summary

,

Previous Year Questions with Solutions

,

Eigenvalues and Eigenvectors | 6 Months Preparation for GATE Electrical - Electrical Engineering (EE)

,

mock tests for examination

,

MCQs

,

Extra Questions

,

Exam

,

Important questions

,

Objective type Questions

,

Viva Questions

,

practice quizzes

,

shortcuts and tricks

,

ppt

,

past year papers

,

Eigenvalues and Eigenvectors | 6 Months Preparation for GATE Electrical - Electrical Engineering (EE)

,

Lecture 27 - Characteristic Equation

,

Sample Paper

,

Semester Notes

,

Eigenvalues and Eigenvectors | 6 Months Preparation for GATE Electrical - Electrical Engineering (EE)

,

Lecture 27 - Characteristic Equation

,

pdf

,

Lecture 27 - Characteristic Equation

,

study material

,

Free

,

video lectures

;