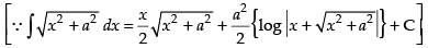
JEE Exam  >  JEE Notes  >  Mathematics (Maths) for JEE Main & Advanced  >  NCERT Exemplar: Integrals

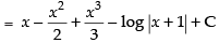
NCERT Exemplar: Integrals | Mathematics (Maths) for JEE Main & Advanced PDF Download

Verify the following :
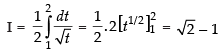
Q.1. NCERT Exemplar: Integrals | Mathematics (Maths) for JEE Main & Advanced
Ans.
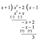
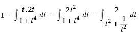
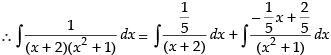
L.H.S. =NCERT Exemplar: Integrals | Mathematics (Maths) for JEE Main & Advanced
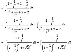
NCERT Exemplar: Integrals | Mathematics (Maths) for JEE Main & Advanced[Dividing the numerator by the denominator]
NCERT Exemplar: Integrals | Mathematics (Maths) for JEE Main & Advanced
NCERT Exemplar: Integrals | Mathematics (Maths) for JEE Main & Advanced
NCERT Exemplar: Integrals | Mathematics (Maths) for JEE Main & Advanced
NCERT Exemplar: Integrals | Mathematics (Maths) for JEE Main & Advanced[where C1 = C – log 22]
L.H.S. = R.H.S.
Hence proved.

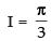
Q.2. NCERT Exemplar: Integrals | Mathematics (Maths) for JEE Main & Advanced
Ans.
L.H.S. =NCERT Exemplar: Integrals | Mathematics (Maths) for JEE Main & Advanced
Put x2 + 3x = t
∴ (2x + 3) dx = dt
NCERT Exemplar: Integrals | Mathematics (Maths) for JEE Main & Advanced
L.H.S. = R.H.S.
Hence verified.

Evaluate the following:
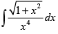
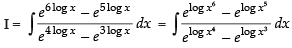
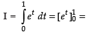
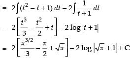
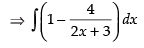
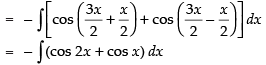
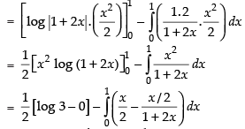
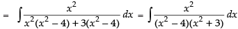
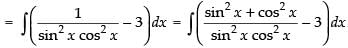
Q.3.NCERT Exemplar: Integrals | Mathematics (Maths) for JEE Main & Advanced
Ans.
NCERT Exemplar: Integrals | Mathematics (Maths) for JEE Main & Advanced
NCERT Exemplar: Integrals | Mathematics (Maths) for JEE Main & Advanced
NCERT Exemplar: Integrals | Mathematics (Maths) for JEE Main & Advanced

NCERT Exemplar: Integrals | Mathematics (Maths) for JEE Main & Advanced
Hence, the required solution isNCERT Exemplar: Integrals | Mathematics (Maths) for JEE Main & Advanced

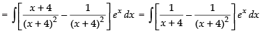
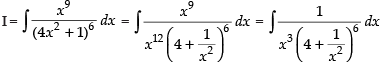
Q.4. NCERT Exemplar: Integrals | Mathematics (Maths) for JEE Main & Advanced
Ans.
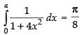
LetNCERT Exemplar: Integrals | Mathematics (Maths) for JEE Main & Advanced
NCERT Exemplar: Integrals | Mathematics (Maths) for JEE Main & Advanced
Hence, the required solution isNCERT Exemplar: Integrals | Mathematics (Maths) for JEE Main & Advanced

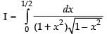
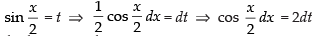
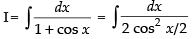
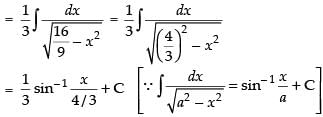
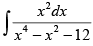
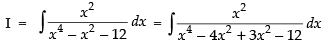
Q.5. NCERT Exemplar: Integrals | Mathematics (Maths) for JEE Main & Advanced
Ans.
Let NCERT Exemplar: Integrals | Mathematics (Maths) for JEE Main & Advanced
Put x + sin x = t ⇒ (1 + cos x) dx = dt
NCERT Exemplar: Integrals | Mathematics (Maths) for JEE Main & Advanced
Hence, the required solution isNCERT Exemplar: Integrals | Mathematics (Maths) for JEE Main & Advanced

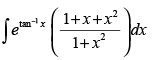
Q.6.NCERT Exemplar: Integrals | Mathematics (Maths) for JEE Main & Advanced
Ans.
LetNCERT Exemplar: Integrals | Mathematics (Maths) for JEE Main & AdvancedNCERT Exemplar: Integrals | Mathematics (Maths) for JEE Main & Advanced
NCERT Exemplar: Integrals | Mathematics (Maths) for JEE Main & Advanced
Hence, the required solution isNCERT Exemplar: Integrals | Mathematics (Maths) for JEE Main & Advanced

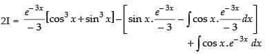
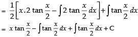
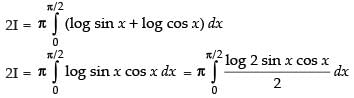
Q.7.NCERT Exemplar: Integrals | Mathematics (Maths) for JEE Main & Advanced
Ans.
LetNCERT Exemplar: Integrals | Mathematics (Maths) for JEE Main & Advanced
NCERT Exemplar: Integrals | Mathematics (Maths) for JEE Main & Advanced
Put tan x = t, ∴ sec2 x dx = dt
NCERT Exemplar: Integrals | Mathematics (Maths) for JEE Main & Advanced
NCERT Exemplar: Integrals | Mathematics (Maths) for JEE Main & Advanced
Hence, the required solution isNCERT Exemplar: Integrals | Mathematics (Maths) for JEE Main & Advanced

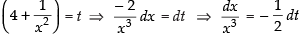
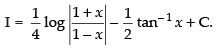
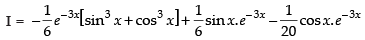
Q.8. NCERT Exemplar: Integrals | Mathematics (Maths) for JEE Main & Advanced
Ans.
LetNCERT Exemplar: Integrals | Mathematics (Maths) for JEE Main & Advanced
NCERT Exemplar: Integrals | Mathematics (Maths) for JEE Main & Advanced
NCERT Exemplar: Integrals | Mathematics (Maths) for JEE Main & Advanced
= x + C
Hence, the required solution is x + C.

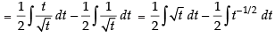
Q.9.NCERT Exemplar: Integrals | Mathematics (Maths) for JEE Main & Advanced
Ans.
LetNCERT Exemplar: Integrals | Mathematics (Maths) for JEE Main & Advanced
NCERT Exemplar: Integrals | Mathematics (Maths) for JEE Main & Advanced
NCERT Exemplar: Integrals | Mathematics (Maths) for JEE Main & Advanced
NCERT Exemplar: Integrals | Mathematics (Maths) for JEE Main & Advanced
Hence, the required solution isNCERT Exemplar: Integrals | Mathematics (Maths) for JEE Main & Advanced

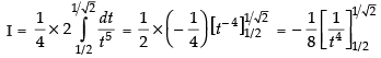
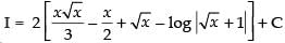
Q.10.NCERT Exemplar: Integrals | Mathematics (Maths) for JEE Main & AdvancedNCERT Exemplar: Integrals | Mathematics (Maths) for JEE Main & Advanced
Ans.
NCERT Exemplar: Integrals | Mathematics (Maths) for JEE Main & Advanced
Put √x = t  x = t2 ∵ dx = 2t . dt
NCERT Exemplar: Integrals | Mathematics (Maths) for JEE Main & Advanced
NCERT Exemplar: Integrals | Mathematics (Maths) for JEE Main & Advanced
NCERT Exemplar: Integrals | Mathematics (Maths) for JEE Main & Advanced
NCERT Exemplar: Integrals | Mathematics (Maths) for JEE Main & Advanced
Hence,NCERT Exemplar: Integrals | Mathematics (Maths) for JEE Main & Advanced

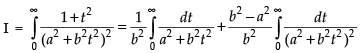
Q.11.NCERT Exemplar: Integrals | Mathematics (Maths) for JEE Main & Advanced
Ans.
LetNCERT Exemplar: Integrals | Mathematics (Maths) for JEE Main & Advanced
NCERT Exemplar: Integrals | Mathematics (Maths) for JEE Main & Advanced
Let I = I1 + I2
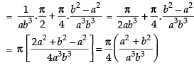
NowNCERT Exemplar: Integrals | Mathematics (Maths) for JEE Main & Advanced
andNCERT Exemplar: Integrals | Mathematics (Maths) for JEE Main & Advanced
Put a2 – x2 = t ⇒ – 2x dx = dt
NCERT Exemplar: Integrals | Mathematics (Maths) for JEE Main & Advanced
NCERT Exemplar: Integrals | Mathematics (Maths) for JEE Main & Advanced
Since I = I1 + I2
NCERT Exemplar: Integrals | Mathematics (Maths) for JEE Main & Advanced
NCERT Exemplar: Integrals | Mathematics (Maths) for JEE Main & Advanced
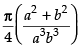
Hence,NCERT Exemplar: Integrals | Mathematics (Maths) for JEE Main & Advanced[C = C1 + C2]
Alternate method:
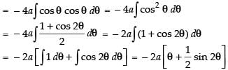
NCERT Exemplar: Integrals | Mathematics (Maths) for JEE Main & Advanced
Put x = a cos 2θ
∴ dx = a (– 2 sin 2θ) dθ =  – 2a sin 2θ dθ
NCERT Exemplar: Integrals | Mathematics (Maths) for JEE Main & Advanced
NCERT Exemplar: Integrals | Mathematics (Maths) for JEE Main & Advanced
NCERT Exemplar: Integrals | Mathematics (Maths) for JEE Main & Advanced
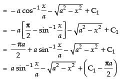
Now x = a cos 2θ
NCERT Exemplar: Integrals | Mathematics (Maths) for JEE Main & Advanced
NCERT Exemplar: Integrals | Mathematics (Maths) for JEE Main & Advanced
NCERT Exemplar: Integrals | Mathematics (Maths) for JEE Main & Advanced
NCERT Exemplar: Integrals | Mathematics (Maths) for JEE Main & AdvancedNCERT Exemplar: Integrals | Mathematics (Maths) for JEE Main & Advanced
Hence,NCERT Exemplar: Integrals | Mathematics (Maths) for JEE Main & Advanced

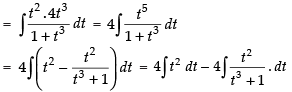
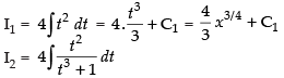
Q.12. NCERT Exemplar: Integrals | Mathematics (Maths) for JEE Main & Advanced(Hint : Put x = z4)
Ans.
LetNCERT Exemplar: Integrals | Mathematics (Maths) for JEE Main & Advanced

NCERT Exemplar: Integrals | Mathematics (Maths) for JEE Main & Advanced
Put x = t4 ⇒ dx = 4t3 dt
NCERT Exemplar: Integrals | Mathematics (Maths) for JEE Main & Advanced

I = I1 – I2

Now
NCERT Exemplar: Integrals | Mathematics (Maths) for JEE Main & Advanced
Put t3 + 1 = z ⇒ 3t2 dt = dz
NCERT Exemplar: Integrals | Mathematics (Maths) for JEE Main & Advanced
NCERT Exemplar: Integrals | Mathematics (Maths) for JEE Main & Advanced
NCERT Exemplar: Integrals | Mathematics (Maths) for JEE Main & Advanced
∴ I = I1 – I2
NCERT Exemplar: Integrals | Mathematics (Maths) for JEE Main & Advanced
Hence,NCERT Exemplar: Integrals | Mathematics (Maths) for JEE Main & Advanced[∵ C = C1 - C2]

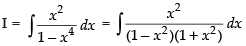
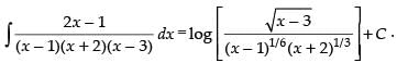
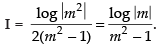
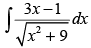
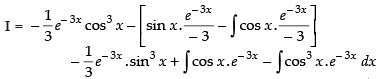
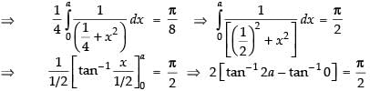
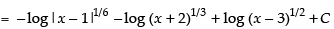
Q.13.NCERT Exemplar: Integrals | Mathematics (Maths) for JEE Main & Advanced
Ans.
LetNCERT Exemplar: Integrals | Mathematics (Maths) for JEE Main & Advanced
PutNCERT Exemplar: Integrals | Mathematics (Maths) for JEE Main & Advanced
NCERT Exemplar: Integrals | Mathematics (Maths) for JEE Main & Advanced
NCERT Exemplar: Integrals | Mathematics (Maths) for JEE Main & Advanced
Hence,NCERT Exemplar: Integrals | Mathematics (Maths) for JEE Main & Advanced

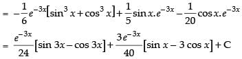
Q.14.NCERT Exemplar: Integrals | Mathematics (Maths) for JEE Main & Advanced
Ans.
LetNCERT Exemplar: Integrals | Mathematics (Maths) for JEE Main & Advanced
NCERT Exemplar: Integrals | Mathematics (Maths) for JEE Main & Advanced
NCERT Exemplar: Integrals | Mathematics (Maths) for JEE Main & Advanced
Hence,NCERT Exemplar: Integrals | Mathematics (Maths) for JEE Main & Advanced

Q.15.NCERT Exemplar: Integrals | Mathematics (Maths) for JEE Main & Advanced
Ans.
LetNCERT Exemplar: Integrals | Mathematics (Maths) for JEE Main & Advanced
NCERT Exemplar: Integrals | Mathematics (Maths) for JEE Main & Advanced[Making perfect square]
NCERT Exemplar: Integrals | Mathematics (Maths) for JEE Main & Advanced
NCERT Exemplar: Integrals | Mathematics (Maths) for JEE Main & Advanced
NCERT Exemplar: Integrals | Mathematics (Maths) for JEE Main & Advanced
Hence,NCERT Exemplar: Integrals | Mathematics (Maths) for JEE Main & Advanced

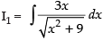
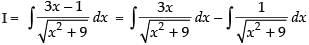
Q.16.NCERT Exemplar: Integrals | Mathematics (Maths) for JEE Main & Advanced
Ans.
LetNCERT Exemplar: Integrals | Mathematics (Maths) for JEE Main & Advanced

I = I1 – I2

NowNCERT Exemplar: Integrals | Mathematics (Maths) for JEE Main & Advanced
Put x2 + 9 = t ⇒ 2x dx = dt
x dx = dt
NCERT Exemplar: Integrals | Mathematics (Maths) for JEE Main & Advanced
NCERT Exemplar: Integrals | Mathematics (Maths) for JEE Main & Advanced
NCERT Exemplar: Integrals | Mathematics (Maths) for JEE Main & Advanced
NCERT Exemplar: Integrals | Mathematics (Maths) for JEE Main & Advanced
∴ I = I1 – I2
NCERT Exemplar: Integrals | Mathematics (Maths) for JEE Main & Advanced
Hence,NCERT Exemplar: Integrals | Mathematics (Maths) for JEE Main & Advanced

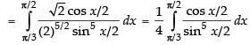
Q.17.NCERT Exemplar: Integrals | Mathematics (Maths) for JEE Main & Advanced
Ans.
LetNCERT Exemplar: Integrals | Mathematics (Maths) for JEE Main & Advanced
NCERT Exemplar: Integrals | Mathematics (Maths) for JEE Main & Advanced(Making perfect square)
NCERT Exemplar: Integrals | Mathematics (Maths) for JEE Main & Advanced
NCERT Exemplar: Integrals | Mathematics (Maths) for JEE Main & Advanced
NCERT Exemplar: Integrals | Mathematics (Maths) for JEE Main & Advanced
Hence,
NCERT Exemplar: Integrals | Mathematics (Maths) for JEE Main & Advanced

Q.18.NCERT Exemplar: Integrals | Mathematics (Maths) for JEE Main & Advanced
Ans.
LetNCERT Exemplar: Integrals | Mathematics (Maths) for JEE Main & Advanced
Put x2 = t ⇒ 2x dx = dt ⇒ x dx =NCERT Exemplar: Integrals | Mathematics (Maths) for JEE Main & Advanced
NCERT Exemplar: Integrals | Mathematics (Maths) for JEE Main & Advanced
NCERT Exemplar: Integrals | Mathematics (Maths) for JEE Main & Advanced
NCERT Exemplar: Integrals | Mathematics (Maths) for JEE Main & Advanced
Hence,NCERT Exemplar: Integrals | Mathematics (Maths) for JEE Main & Advanced

Q.19.NCERT Exemplar: Integrals | Mathematics (Maths) for JEE Main & Advanced
Ans.
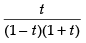
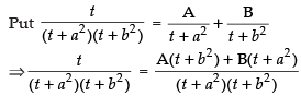
LetNCERT Exemplar: Integrals | Mathematics (Maths) for JEE Main & Advanced

Put x2 = t for the purpose of partial fractions.

We getNCERT Exemplar: Integrals | Mathematics (Maths) for JEE Main & Advanced
Resolving into partial fractions we put
NCERT Exemplar: Integrals | Mathematics (Maths) for JEE Main & Advanced
[where A and B are arbitrary constants]
NCERT Exemplar: Integrals | Mathematics (Maths) for JEE Main & Advanced
⇒ t = A + At + B – Bt
Comparing the like terms, we get A – B = 1 and A + B = 0
Solving the above equations, we haveNCERT Exemplar: Integrals | Mathematics (Maths) for JEE Main & Advanced
NCERT Exemplar: Integrals | Mathematics (Maths) for JEE Main & Advanced(Putting t = x2)
NCERT Exemplar: Integrals | Mathematics (Maths) for JEE Main & Advanced
Hence,NCERT Exemplar: Integrals | Mathematics (Maths) for JEE Main & Advanced

Q.20.NCERT Exemplar: Integrals | Mathematics (Maths) for JEE Main & Advanced
Ans.
LetNCERT Exemplar: Integrals | Mathematics (Maths) for JEE Main & Advanced
NCERT Exemplar: Integrals | Mathematics (Maths) for JEE Main & Advanced
NCERT Exemplar: Integrals | Mathematics (Maths) for JEE Main & Advanced
Hence,NCERT Exemplar: Integrals | Mathematics (Maths) for JEE Main & Advanced

Q.21.NCERT Exemplar: Integrals | Mathematics (Maths) for JEE Main & Advanced
Ans.
LetNCERT Exemplar: Integrals | Mathematics (Maths) for JEE Main & Advanced
Put x = sin θ ⇒ dx  = cos θ dθ
NCERT Exemplar: Integrals | Mathematics (Maths) for JEE Main & Advanced
NCERT Exemplar: Integrals | Mathematics (Maths) for JEE Main & Advanced
NCERT Exemplar: Integrals | Mathematics (Maths) for JEE Main & Advanced
NCERT Exemplar: Integrals | Mathematics (Maths) for JEE Main & Advanced
NCERT Exemplar: Integrals | Mathematics (Maths) for JEE Main & Advanced
Hence,NCERT Exemplar: Integrals | Mathematics (Maths) for JEE Main & Advanced

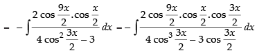
Q.22.NCERT Exemplar: Integrals | Mathematics (Maths) for JEE Main & Advanced
Ans.
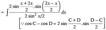
Let I =NCERT Exemplar: Integrals | Mathematics (Maths) for JEE Main & AdvancedNCERT Exemplar: Integrals | Mathematics (Maths) for JEE Main & Advanced
NCERT Exemplar: Integrals | Mathematics (Maths) for JEE Main & Advanced
NCERT Exemplar: Integrals | Mathematics (Maths) for JEE Main & Advanced
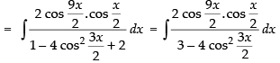
NCERT Exemplar: Integrals | Mathematics (Maths) for JEE Main & Advanced
NCERT Exemplar: Integrals | Mathematics (Maths) for JEE Main & Advanced
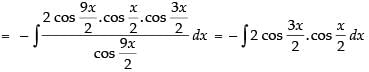
NCERT Exemplar: Integrals | Mathematics (Maths) for JEE Main & Advanced
NCERT Exemplar: Integrals | Mathematics (Maths) for JEE Main & Advanced
[∵ 2 cos A cos B = cos (A + B) + cos (A - B)]
NCERT Exemplar: Integrals | Mathematics (Maths) for JEE Main & Advanced
Hence,NCERT Exemplar: Integrals | Mathematics (Maths) for JEE Main & Advanced

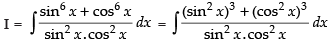
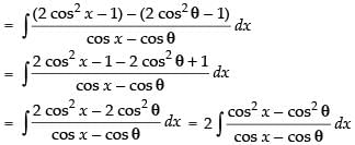
Q.23.NCERT Exemplar: Integrals | Mathematics (Maths) for JEE Main & Advanced
Ans.
LetNCERT Exemplar: Integrals | Mathematics (Maths) for JEE Main & Advanced
NCERT Exemplar: Integrals | Mathematics (Maths) for JEE Main & Advanced
NCERT Exemplar: Integrals | Mathematics (Maths) for JEE Main & Advanced
NCERT Exemplar: Integrals | Mathematics (Maths) for JEE Main & Advanced
NCERT Exemplar: Integrals | Mathematics (Maths) for JEE Main & Advanced
= tan x – cot x – 3x + C
Hence, I = tan x – cot x – 3x + C.

Q.24.NCERT Exemplar: Integrals | Mathematics (Maths) for JEE Main & Advanced
Ans.
Let I =NCERT Exemplar: Integrals | Mathematics (Maths) for JEE Main & Advanced
PutNCERT Exemplar: Integrals | Mathematics (Maths) for JEE Main & Advanced
NCERT Exemplar: Integrals | Mathematics (Maths) for JEE Main & Advanced
NCERT Exemplar: Integrals | Mathematics (Maths) for JEE Main & Advanced
Hence,NCERT Exemplar: Integrals | Mathematics (Maths) for JEE Main & Advanced

Q.25.NCERT Exemplar: Integrals | Mathematics (Maths) for JEE Main & Advanced
Ans.
LetNCERT Exemplar: Integrals | Mathematics (Maths) for JEE Main & Advanced
NCERT Exemplar: Integrals | Mathematics (Maths) for JEE Main & Advanced
NCERT Exemplar: Integrals | Mathematics (Maths) for JEE Main & Advanced
NCERT Exemplar: Integrals | Mathematics (Maths) for JEE Main & Advanced
NCERT Exemplar: Integrals | Mathematics (Maths) for JEE Main & Advanced
NCERT Exemplar: Integrals | Mathematics (Maths) for JEE Main & Advanced
= x + 2 sin x + C
Hence, I = x + 2 sin x + C.

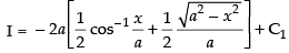
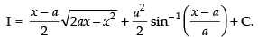
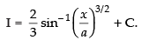
Q.26.NCERT Exemplar: Integrals | Mathematics (Maths) for JEE Main & Advanced(Hint : Put x2 = sec θ)
Ans.
LetNCERT Exemplar: Integrals | Mathematics (Maths) for JEE Main & Advanced
Put x2 = sec θ
∴ 2x dx = sec θ tan θ dθ
NCERT Exemplar: Integrals | Mathematics (Maths) for JEE Main & Advanced
NCERT Exemplar: Integrals | Mathematics (Maths) for JEE Main & Advanced
NCERT Exemplar: Integrals | Mathematics (Maths) for JEE Main & Advanced
SoNCERT Exemplar: Integrals | Mathematics (Maths) for JEE Main & Advanced
Hence,NCERT Exemplar: Integrals | Mathematics (Maths) for JEE Main & Advanced

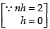
Evaluate the following as limit of sums:
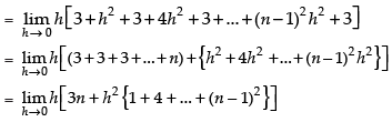
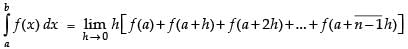
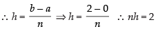
Q.27.NCERT Exemplar: Integrals | Mathematics (Maths) for JEE Main & Advanced
Ans.
LetNCERT Exemplar: Integrals | Mathematics (Maths) for JEE Main & Advanced
Using the formula,
NCERT Exemplar: Integrals | Mathematics (Maths) for JEE Main & Advanced
where h =NCERT Exemplar: Integrals | Mathematics (Maths) for JEE Main & Advanced
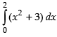
Here, a  = 0 and b = 2
NCERT Exemplar: Integrals | Mathematics (Maths) for JEE Main & Advanced
Here, f(x) = x2 + 3
f(0) = 0 + 3 = 3
f(0 + h) = (0 + h)2 + 3 = h2 + 3
f(0 + 2h) = (0 + 2h)2 + 3 = 4h2 + 3

..............................

..............................
NCERT Exemplar: Integrals | Mathematics (Maths) for JEE Main & Advanced
Now
NCERT Exemplar: Integrals | Mathematics (Maths) for JEE Main & Advanced
NCERT Exemplar: Integrals | Mathematics (Maths) for JEE Main & Advanced
NCERT Exemplar: Integrals | Mathematics (Maths) for JEE Main & Advanced
NCERT Exemplar: Integrals | Mathematics (Maths) for JEE Main & Advanced
NCERT Exemplar: Integrals | Mathematics (Maths) for JEE Main & Advanced
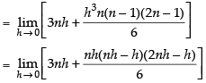
NCERT Exemplar: Integrals | Mathematics (Maths) for JEE Main & AdvancedNCERT Exemplar: Integrals | Mathematics (Maths) for JEE Main & Advanced
NCERT Exemplar: Integrals | Mathematics (Maths) for JEE Main & Advanced
Hence,NCERT Exemplar: Integrals | Mathematics (Maths) for JEE Main & Advanced

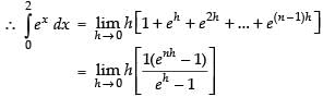
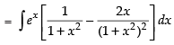
Q.28.NCERT Exemplar: Integrals | Mathematics (Maths) for JEE Main & Advanced
Ans.
LetNCERT Exemplar: Integrals | Mathematics (Maths) for JEE Main & Advanced
Here, a  = 0 and b = 2NCERT Exemplar: Integrals | Mathematics (Maths) for JEE Main & Advanced

Here f(x) = ex 
f(0) = e0 = 1
f(0 + h) = e0 + h = eh 
f(0 + 2h) = e0 + 2h = e2h 
................................

................................
NCERT Exemplar: Integrals | Mathematics (Maths) for JEE Main & Advanced
NCERT Exemplar: Integrals | Mathematics (Maths) for JEE Main & Advanced
NCERT Exemplar: Integrals | Mathematics (Maths) for JEE Main & Advanced
NCERT Exemplar: Integrals | Mathematics (Maths) for JEE Main & Advanced
NCERT Exemplar: Integrals | Mathematics (Maths) for JEE Main & Advanced
Hence, I = e–1.

Evaluate the following:
Q.29.NCERT Exemplar: Integrals | Mathematics (Maths) for JEE Main & Advanced
Ans.
LetNCERT Exemplar: Integrals | Mathematics (Maths) for JEE Main & Advanced 
NCERT Exemplar: Integrals | Mathematics (Maths) for JEE Main & Advanced
Put ex = t ⇒ ex dx = dt
Changing the limit, we have
When x  = 0 ∴ t = e0 = 1
When x  = 1 ∴ t = e1 = e
NCERT Exemplar: Integrals | Mathematics (Maths) for JEE Main & Advanced
Hence,NCERT Exemplar: Integrals | Mathematics (Maths) for JEE Main & Advanced

Q.30.NCERT Exemplar: Integrals | Mathematics (Maths) for JEE Main & Advanced
Ans.
LetNCERT Exemplar: Integrals | Mathematics (Maths) for JEE Main & Advanced
NCERT Exemplar: Integrals | Mathematics (Maths) for JEE Main & Advanced
NCERT Exemplar: Integrals | Mathematics (Maths) for JEE Main & Advanced
Put sin2 x = t
2 sin x cos x dx = dt
sin x cos x dx =NCERT Exemplar: Integrals | Mathematics (Maths) for JEE Main & Advanced
Changing the limits we get,
When x  = 0 ∴ t = sin2 0 = 0;  When x =NCERT Exemplar: Integrals | Mathematics (Maths) for JEE Main & Advanced
NCERT Exemplar: Integrals | Mathematics (Maths) for JEE Main & Advanced
NCERT Exemplar: Integrals | Mathematics (Maths) for JEE Main & Advanced
Hence,NCERT Exemplar: Integrals | Mathematics (Maths) for JEE Main & Advanced

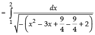
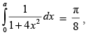
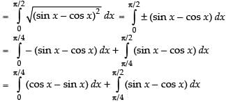
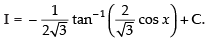
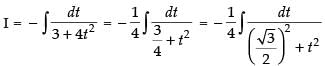
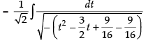
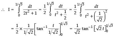
Q.31.NCERT Exemplar: Integrals | Mathematics (Maths) for JEE Main & Advanced
Ans.
LetNCERT Exemplar: Integrals | Mathematics (Maths) for JEE Main & Advanced
NCERT Exemplar: Integrals | Mathematics (Maths) for JEE Main & Advanced
NCERT Exemplar: Integrals | Mathematics (Maths) for JEE Main & Advanced[Making perfect square]
NCERT Exemplar: Integrals | Mathematics (Maths) for JEE Main & Advanced
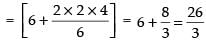
NCERT Exemplar: Integrals | Mathematics (Maths) for JEE Main & Advanced = sin– 1 (4 – 3) – sin– 1 (2 – 3)
= sin– 1 (1) – sin– 1 (– 1) = sin– 1 (1) + sin– 1 (1)
NCERT Exemplar: Integrals | Mathematics (Maths) for JEE Main & Advanced
Hence, I = π.

Q.32.NCERT Exemplar: Integrals | Mathematics (Maths) for JEE Main & Advanced
Ans.
LetNCERT Exemplar: Integrals | Mathematics (Maths) for JEE Main & Advanced
Put 1 + x2 = t ⇒ 2x dx = dt ⇒ x dx =NCERT Exemplar: Integrals | Mathematics (Maths) for JEE Main & Advanced
Changing the limits, we have
When x  = 0 ∴ t = 1
When x  = 1 ∴ t = 2
NCERT Exemplar: Integrals | Mathematics (Maths) for JEE Main & Advanced
Hence, I = √2 -1 .

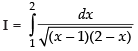
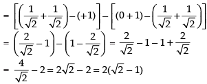
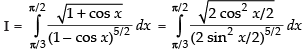
Q.33.NCERT Exemplar: Integrals | Mathematics (Maths) for JEE Main & Advanced
Ans.
LetNCERT Exemplar: Integrals | Mathematics (Maths) for JEE Main & Advanced...(i)
NCERT Exemplar: Integrals | Mathematics (Maths) for JEE Main & Advanced
NCERT Exemplar: Integrals | Mathematics (Maths) for JEE Main & Advanced...(ii)
Adding (i) and (ii) we get,
NCERT Exemplar: Integrals | Mathematics (Maths) for JEE Main & Advanced
NCERT Exemplar: Integrals | Mathematics (Maths) for JEE Main & Advanced
Put cos x = t ⇒ – sin x dx = dt ⇒ sin x dx = – dt
Changing the limits, we have
When x  = 0, t = cos 0 = 1; When x = p, t = cos p = – 1
NCERT Exemplar: Integrals | Mathematics (Maths) for JEE Main & Advanced
NCERT Exemplar: Integrals | Mathematics (Maths) for JEE Main & AdvancedNCERT Exemplar: Integrals | Mathematics (Maths) for JEE Main & Advanced
NCERT Exemplar: Integrals | Mathematics (Maths) for JEE Main & Advanced
NCERT Exemplar: Integrals | Mathematics (Maths) for JEE Main & Advanced

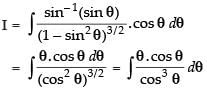
Q.34.NCERT Exemplar: Integrals | Mathematics (Maths) for JEE Main & Advanced(Hint: let x = sinθ)
Ans.
LetNCERT Exemplar: Integrals | Mathematics (Maths) for JEE Main & Advanced
Put x = sin θ
∴ dx = cos θ dθ
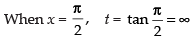
Changing the limits, we get
When x  = 0 ∴ sin θ = 0 ∴ θ = 0
NCERT Exemplar: Integrals | Mathematics (Maths) for JEE Main & Advanced
NCERT Exemplar: Integrals | Mathematics (Maths) for JEE Main & Advanced
Now, dividing the numerator and denominator by cos2 θ, we get
NCERT Exemplar: Integrals | Mathematics (Maths) for JEE Main & Advanced
Put tan θ = t
∴ sec2 θ dθ = dt
Changing the limits, we get
When θ = 0 ∴ t = tan 0 = 0
NCERT Exemplar: Integrals | Mathematics (Maths) for JEE Main & Advanced
NCERT Exemplar: Integrals | Mathematics (Maths) for JEE Main & Advanced
NCERT Exemplar: Integrals | Mathematics (Maths) for JEE Main & Advanced

Long Answer (L.A.)
Q.35. NCERT Exemplar: Integrals | Mathematics (Maths) for JEE Main & Advanced
Ans.
LetNCERT Exemplar: Integrals | Mathematics (Maths) for JEE Main & Advanced
NCERT Exemplar: Integrals | Mathematics (Maths) for JEE Main & Advanced

Put x2 = t for the purpose of partial fraction.

We getNCERT Exemplar: Integrals | Mathematics (Maths) for JEE Main & Advanced
LetNCERT Exemplar: Integrals | Mathematics (Maths) for JEE Main & Advanced
[where A and B are arbitrary constants]
NCERT Exemplar: Integrals | Mathematics (Maths) for JEE Main & Advanced

⇒ t = At + 3A + Bt – 4B
Comparing the like terms, we get
A + B = 1 and 3A – 4B = 0
⇒ 3A = 4B
NCERT Exemplar: Integrals | Mathematics (Maths) for JEE Main & Advanced
NowNCERT Exemplar: Integrals | Mathematics (Maths) for JEE Main & Advanced
NCERT Exemplar: Integrals | Mathematics (Maths) for JEE Main & Advanced
So,NCERT Exemplar: Integrals | Mathematics (Maths) for JEE Main & Advanced
NCERT Exemplar: Integrals | Mathematics (Maths) for JEE Main & Advanced
NCERT Exemplar: Integrals | Mathematics (Maths) for JEE Main & Advanced
NCERT Exemplar: Integrals | Mathematics (Maths) for JEE Main & Advanced
Hence,NCERT Exemplar: Integrals | Mathematics (Maths) for JEE Main & Advanced

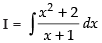
Q.36.NCERT Exemplar: Integrals | Mathematics (Maths) for JEE Main & Advanced
Ans.
LetNCERT Exemplar: Integrals | Mathematics (Maths) for JEE Main & Advanced

Put x2 = t for the purpose of partial fraction.

We getNCERT Exemplar: Integrals | Mathematics (Maths) for JEE Main & Advanced
NCERT Exemplar: Integrals | Mathematics (Maths) for JEE Main & Advanced 
⇒ t = At + Ab2 + Bt + Ba2
Comparing the like terms, we get
A + B = 1 and Ab2 + Ba2 = 0
NCERT Exemplar: Integrals | Mathematics (Maths) for JEE Main & Advanced
NCERT Exemplar: Integrals | Mathematics (Maths) for JEE Main & Advanced
NCERT Exemplar: Integrals | Mathematics (Maths) for JEE Main & Advanced
NCERT Exemplar: Integrals | Mathematics (Maths) for JEE Main & Advanced
SoNCERT Exemplar: Integrals | Mathematics (Maths) for JEE Main & Advanced
NCERT Exemplar: Integrals | Mathematics (Maths) for JEE Main & Advanced
NCERT Exemplar: Integrals | Mathematics (Maths) for JEE Main & Advanced
Hence,NCERT Exemplar: Integrals | Mathematics (Maths) for JEE Main & Advanced

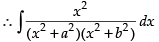
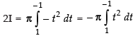
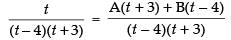
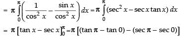
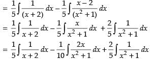
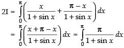
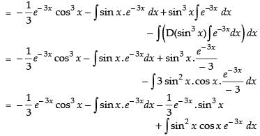
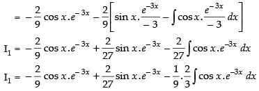
Q.37.NCERT Exemplar: Integrals | Mathematics (Maths) for JEE Main & Advanced
Ans.
LetNCERT Exemplar: Integrals | Mathematics (Maths) for JEE Main & Advanced...(i)
NCERT Exemplar: Integrals | Mathematics (Maths) for JEE Main & Advanced
NCERT Exemplar: Integrals | Mathematics (Maths) for JEE Main & Advanced...(ii)
Adding (i) and (ii), we get
NCERT Exemplar: Integrals | Mathematics (Maths) for JEE Main & Advanced
NCERT Exemplar: Integrals | Mathematics (Maths) for JEE Main & Advanced
NCERT Exemplar: Integrals | Mathematics (Maths) for JEE Main & Advanced
2I = π [0 - (- 1 - 1)] = π(2)
∴ I = π
Hence, I = π.

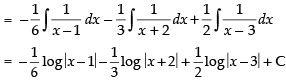
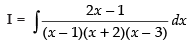
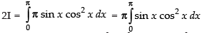
Q.38.NCERT Exemplar: Integrals | Mathematics (Maths) for JEE Main & Advanced
Ans.
LetNCERT Exemplar: Integrals | Mathematics (Maths) for JEE Main & Advanced
Resolving into partial fraction, we put
NCERT Exemplar: Integrals | Mathematics (Maths) for JEE Main & Advanced
 2x – 1 = A(x + 2)(x – 3) + B(x – 1)(x – 3) + C(x – 1)(x + 2)
put x  = 1, 1 = A(3)(– 2)NCERT Exemplar: Integrals | Mathematics (Maths) for JEE Main & Advanced
put x  = – 2, – 5 = B(– 3)(– 5)NCERT Exemplar: Integrals | Mathematics (Maths) for JEE Main & Advanced
put x  = 3, 5 = C(2)(5)NCERT Exemplar: Integrals | Mathematics (Maths) for JEE Main & Advanced
NCERT Exemplar: Integrals | Mathematics (Maths) for JEE Main & Advanced
NCERT Exemplar: Integrals | Mathematics (Maths) for JEE Main & Advanced
NCERT Exemplar: Integrals | Mathematics (Maths) for JEE Main & Advanced
Hence,NCERT Exemplar: Integrals | Mathematics (Maths) for JEE Main & Advanced

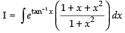
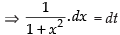
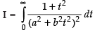
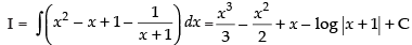
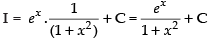
Q.39.NCERT Exemplar: Integrals | Mathematics (Maths) for JEE Main & Advanced
Ans.
LetNCERT Exemplar: Integrals | Mathematics (Maths) for JEE Main & Advanced
Put tan– 1x = tNCERT Exemplar: Integrals | Mathematics (Maths) for JEE Main & Advanced
NCERT Exemplar: Integrals | Mathematics (Maths) for JEE Main & Advanced

Here f(t) = tan t
∴ f ′(t) = sec2 t
= et . f(t) = et tan t = - + e tan-1 x .x + C
NCERT Exemplar: Integrals | Mathematics (Maths) for JEE Main & Advanced 
Hence, I = - + e tan-1 x .x + C.

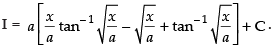
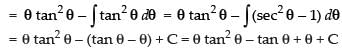
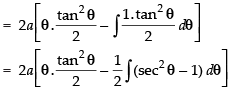
Q.40.NCERT Exemplar: Integrals | Mathematics (Maths) for JEE Main & Advanced(Hint: Put x = a tan2θ)
Ans.
LetNCERT Exemplar: Integrals | Mathematics (Maths) for JEE Main & Advanced
Put x = a tan2 θ
dx = 2a tan θ . sec2 θ . dθ
NCERT Exemplar: Integrals | Mathematics (Maths) for JEE Main & Advanced
NCERT Exemplar: Integrals | Mathematics (Maths) for JEE Main & Advanced
NCERT Exemplar: Integrals | Mathematics (Maths) for JEE Main & Advanced
NCERT Exemplar: Integrals | Mathematics (Maths) for JEE Main & Advanced
NCERT Exemplar: Integrals | Mathematics (Maths) for JEE Main & Advanced
NCERT Exemplar: Integrals | Mathematics (Maths) for JEE Main & Advanced
NCERT Exemplar: Integrals | Mathematics (Maths) for JEE Main & Advanced
Hence,NCERT Exemplar: Integrals | Mathematics (Maths) for JEE Main & Advanced

Q.41.NCERT Exemplar: Integrals | Mathematics (Maths) for JEE Main & Advanced
Ans.
LetNCERT Exemplar: Integrals | Mathematics (Maths) for JEE Main & Advanced
NCERT Exemplar: Integrals | Mathematics (Maths) for JEE Main & Advanced
PutNCERT Exemplar: Integrals | Mathematics (Maths) for JEE Main & Advanced
Changing the limits, we have
NCERT Exemplar: Integrals | Mathematics (Maths) for JEE Main & Advanced
NCERT Exemplar: Integrals | Mathematics (Maths) for JEE Main & Advanced
NCERT Exemplar: Integrals | Mathematics (Maths) for JEE Main & Advanced
NCERT Exemplar: Integrals | Mathematics (Maths) for JEE Main & Advanced
Hence,NCERT Exemplar: Integrals | Mathematics (Maths) for JEE Main & Advanced

Q.42.NCERT Exemplar: Integrals | Mathematics (Maths) for JEE Main & Advanced
Ans.
LetNCERT Exemplar: Integrals | Mathematics (Maths) for JEE Main & Advanced
NCERT Exemplar: Integrals | Mathematics (Maths) for JEE Main & Advanced
NCERT Exemplar: Integrals | Mathematics (Maths) for JEE Main & Advanced
NCERT Exemplar: Integrals | Mathematics (Maths) for JEE Main & Advanced
NCERT Exemplar: Integrals | Mathematics (Maths) for JEE Main & Advanced
NCERT Exemplar: Integrals | Mathematics (Maths) for JEE Main & Advanced
NCERT Exemplar: Integrals | Mathematics (Maths) for JEE Main & Advanced
NCERT Exemplar: Integrals | Mathematics (Maths) for JEE Main & Advanced
Now, put
NCERT Exemplar: Integrals | Mathematics (Maths) for JEE Main & Advanced
NCERT Exemplar: Integrals | Mathematics (Maths) for JEE Main & Advanced
NCERT Exemplar: Integrals | Mathematics (Maths) for JEE Main & Advanced
NCERT Exemplar: Integrals | Mathematics (Maths) for JEE Main & Advanced
NCERT Exemplar: Integrals | Mathematics (Maths) for JEE Main & Advanced
NCERT Exemplar: Integrals | Mathematics (Maths) for JEE Main & Advanced
NCERT Exemplar: Integrals | Mathematics (Maths) for JEE Main & Advanced
NCERT Exemplar: Integrals | Mathematics (Maths) for JEE Main & Advanced
NCERT Exemplar: Integrals | Mathematics (Maths) for JEE Main & Advanced
Hence,NCERT Exemplar: Integrals | Mathematics (Maths) for JEE Main & Advanced

Q.43.NCERT Exemplar: Integrals | Mathematics (Maths) for JEE Main & Advanced(Hint: Put tanx = t2)
Ans.
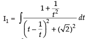
LetNCERT Exemplar: Integrals | Mathematics (Maths) for JEE Main & Advanced
Put tan x = t2
sec2 x dx = 2t dtNCERT Exemplar: Integrals | Mathematics (Maths) for JEE Main & Advanced
NCERT Exemplar: Integrals | Mathematics (Maths) for JEE Main & Advanced
[Dividing the numerator and denominator by t2]
NCERT Exemplar: Integrals | Mathematics (Maths) for JEE Main & Advanced
PutNCERT Exemplar: Integrals | Mathematics (Maths) for JEE Main & Advanced
∴ I = I1 + I2 ...(i)
NowNCERT Exemplar: Integrals | Mathematics (Maths) for JEE Main & Advanced
PutNCERT Exemplar: Integrals | Mathematics (Maths) for JEE Main & Advanced
NCERT Exemplar: Integrals | Mathematics (Maths) for JEE Main & Advanced
NowNCERT Exemplar: Integrals | Mathematics (Maths) for JEE Main & Advanced
PutNCERT Exemplar: Integrals | Mathematics (Maths) for JEE Main & Advanced
NCERT Exemplar: Integrals | Mathematics (Maths) for JEE Main & Advanced
So I = I1 + I2
NCERT Exemplar: Integrals | Mathematics (Maths) for JEE Main & Advanced
NCERT Exemplar: Integrals | Mathematics (Maths) for JEE Main & Advanced
Hence,NCERT Exemplar: Integrals | Mathematics (Maths) for JEE Main & Advanced
NCERT Exemplar: Integrals | Mathematics (Maths) for JEE Main & Advanced

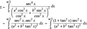
Q.44.NCERT Exemplar: Integrals | Mathematics (Maths) for JEE Main & Advanced
Ans.
LetNCERT Exemplar: Integrals | Mathematics (Maths) for JEE Main & Advanced
Dividing the numerator and denominator by cos4 x, we have
NCERT Exemplar: Integrals | Mathematics (Maths) for JEE Main & Advanced
Put tan x = t ⇒ sec2 x dx = dt
Changing the limits, we get
When x  = 0, t = tan 0 = 0
NCERT Exemplar: Integrals | Mathematics (Maths) for JEE Main & Advanced
NCERT Exemplar: Integrals | Mathematics (Maths) for JEE Main & Advanced
Put t 2 = u only for the purpose of partial fraction
NCERT Exemplar: Integrals | Mathematics (Maths) for JEE Main & Advanced
Comparing the coefficients of like terms, we get
a2A + B = 1 and b2A = 1
NowNCERT Exemplar: Integrals | Mathematics (Maths) for JEE Main & AdvancedNCERT Exemplar: Integrals | Mathematics (Maths) for JEE Main & Advanced
NCERT Exemplar: Integrals | Mathematics (Maths) for JEE Main & Advanced
NCERT Exemplar: Integrals | Mathematics (Maths) for JEE Main & Advanced
NCERT Exemplar: Integrals | Mathematics (Maths) for JEE Main & Advanced
Hence, I =NCERT Exemplar: Integrals | Mathematics (Maths) for JEE Main & Advanced

Q.45.NCERT Exemplar: Integrals | Mathematics (Maths) for JEE Main & Advanced
Ans.
Let I =NCERT Exemplar: Integrals | Mathematics (Maths) for JEE Main & Advanced
NCERT Exemplar: Integrals | Mathematics (Maths) for JEE Main & Advanced 
NCERT Exemplar: Integrals | Mathematics (Maths) for JEE Main & Advanced
NCERT Exemplar: Integrals | Mathematics (Maths) for JEE Main & Advanced
Hence,NCERT Exemplar: Integrals | Mathematics (Maths) for JEE Main & Advanced

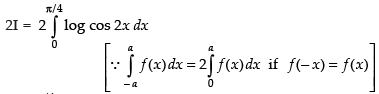
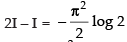
Q.46.NCERT Exemplar: Integrals | Mathematics (Maths) for JEE Main & Advanced
Ans.
Let I =NCERT Exemplar: Integrals | Mathematics (Maths) for JEE Main & Advanced 
NCERT Exemplar: Integrals | Mathematics (Maths) for JEE Main & Advancedlog sin (π - x) dx
NCERT Exemplar: Integrals | Mathematics (Maths) for JEE Main & Advanced
NCERT Exemplar: Integrals | Mathematics (Maths) for JEE Main & Advanced...(ii)
Adding (i) and (ii), we get
NCERT Exemplar: Integrals | Mathematics (Maths) for JEE Main & Advanced
NCERT Exemplar: Integrals | Mathematics (Maths) for JEE Main & Advanced
NCERT Exemplar: Integrals | Mathematics (Maths) for JEE Main & AdvancedNCERT Exemplar: Integrals | Mathematics (Maths) for JEE Main & Advanced
NCERT Exemplar: Integrals | Mathematics (Maths) for JEE Main & Advanced...(iii)
NCERT Exemplar: Integrals | Mathematics (Maths) for JEE Main & Advanced
NCERT Exemplar: Integrals | Mathematics (Maths) for JEE Main & Advanced...(iv)
On adding (iii) and (iv), we get
NCERT Exemplar: Integrals | Mathematics (Maths) for JEE Main & Advanced
NCERT Exemplar: Integrals | Mathematics (Maths) for JEE Main & Advanced
Put 2x = t ⇒ 2 dx = dtNCERT Exemplar: Integrals | Mathematics (Maths) for JEE Main & Advanced
NCERT Exemplar: Integrals | Mathematics (Maths) for JEE Main & Advanceddx [Changing the limit]
2I = I -π . log 2 [ x]0π/2 [from eqn. (iii)]
NCERT Exemplar: Integrals | Mathematics (Maths) for JEE Main & Advanced
SoNCERT Exemplar: Integrals | Mathematics (Maths) for JEE Main & Advanced

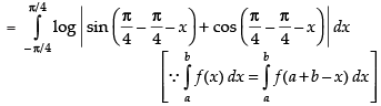
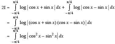
Q.47.NCERT Exemplar: Integrals | Mathematics (Maths) for JEE Main & Advanced
Ans.
Let I =NCERT Exemplar: Integrals | Mathematics (Maths) for JEE Main & Advanced ...(i)
NCERT Exemplar: Integrals | Mathematics (Maths) for JEE Main & Advanced
NCERT Exemplar: Integrals | Mathematics (Maths) for JEE Main & Advanced
NCERT Exemplar: Integrals | Mathematics (Maths) for JEE Main & Advanced...(ii)
Adding (i) and (ii), we get
NCERT Exemplar: Integrals | Mathematics (Maths) for JEE Main & Advanced
NCERT Exemplar: Integrals | Mathematics (Maths) for JEE Main & Advanced
NCERT Exemplar: Integrals | Mathematics (Maths) for JEE Main & Advanced
NCERT Exemplar: Integrals | Mathematics (Maths) for JEE Main & Advancedcos 2x dx
Put 2x = tNCERT Exemplar: Integrals | Mathematics (Maths) for JEE Main & Advanced
Changing the limits we get
When x = 0 ∴ t = 0; When x =NCERT Exemplar: Integrals | Mathematics (Maths) for JEE Main & Advanced
NCERT Exemplar: Integrals | Mathematics (Maths) for JEE Main & Advanced...(iii)
NCERT Exemplar: Integrals | Mathematics (Maths) for JEE Main & Advanced
NCERT Exemplar: Integrals | Mathematics (Maths) for JEE Main & Advanced...(iv)

On adding (iii) and (iv), we get,

NCERT Exemplar: Integrals | Mathematics (Maths) for JEE Main & Advanced
NCERT Exemplar: Integrals | Mathematics (Maths) for JEE Main & Advanced
Put 2t = u ⇒ 2 dt = duNCERT Exemplar: Integrals | Mathematics (Maths) for JEE Main & Advanced
NCERT Exemplar: Integrals | Mathematics (Maths) for JEE Main & Advanced
NCERT Exemplar: Integrals | Mathematics (Maths) for JEE Main & Advanced
NCERT Exemplar: Integrals | Mathematics (Maths) for JEE Main & Advanced[From eq. (ii)]
NCERT Exemplar: Integrals | Mathematics (Maths) for JEE Main & Advanced
Hence,NCERT Exemplar: Integrals | Mathematics (Maths) for JEE Main & Advanced

Objective Type Questions
Q.48.NCERT Exemplar: Integrals | Mathematics (Maths) for JEE Main & Advancedis equal to 
(a) 2(sinx + xcosθ) + C 
(b) 2(sinx – xcosθ) + C 
(c) 2(sinx + 2xcosθ) + C 
(d) 2(sinx – 2x cosθ) + C
Ans. (a)
Solution.

Let I =NCERT Exemplar: Integrals | Mathematics (Maths) for JEE Main & Advanced 
 NCERT Exemplar: Integrals | Mathematics (Maths) for JEE Main & Advanced
NCERT Exemplar: Integrals | Mathematics (Maths) for JEE Main & Advanced

∴ I = 2(sin x +cos θ .x)+ C.

Hence, correct option is (a).

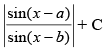
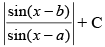
Q.49.NCERT Exemplar: Integrals | Mathematics (Maths) for JEE Main & Advancedis equal to 
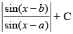
(a) sin (b – a) logNCERT Exemplar: Integrals | Mathematics (Maths) for JEE Main & Advanced
 (b) cosec (b – a) logNCERT Exemplar: Integrals | Mathematics (Maths) for JEE Main & Advanced
(c) cosec (b – a) logNCERT Exemplar: Integrals | Mathematics (Maths) for JEE Main & Advanced
 (d) sin (b – a) logNCERT Exemplar: Integrals | Mathematics (Maths) for JEE Main & Advanced
Ans. (c)
Solution.

Let I =NCERT Exemplar: Integrals | Mathematics (Maths) for JEE Main & Advanced 
Multiplying and dividing by sin (b – a) we get,
NCERT Exemplar: Integrals | Mathematics (Maths) for JEE Main & Advanced
NCERT Exemplar: Integrals | Mathematics (Maths) for JEE Main & Advanced
NCERT Exemplar: Integrals | Mathematics (Maths) for JEE Main & Advanced
NCERT Exemplar: Integrals | Mathematics (Maths) for JEE Main & Advanced
Hence, the correct option is (c).

Q.50.NCERT Exemplar: Integrals | Mathematics (Maths) for JEE Main & Advanced is equal to 
(a) (x + 1) tan –1 √x – √x + C 
(b) x tan –1 √x – √x + C 
(c) √x – x tan –1 √x + C 
(d) √x – ( x + 1) tan –1 √x + C
Ans. (a)
Solution.

 Let I =NCERT Exemplar: Integrals | Mathematics (Maths) for JEE Main & Advanced 
Put √x = tan θ ⇒  x = tan2 θ ⇒ dx = 2 tan θ sec2 θ dθ
NCERT Exemplar: Integrals | Mathematics (Maths) for JEE Main & Advanced
NCERT Exemplar: Integrals | Mathematics (Maths) for JEE Main & Advanced
Let us take
NCERT Exemplar: Integrals | Mathematics (Maths) for JEE Main & Advanced
Put tan θ = t ⇒ sec2 θ dθ = dt
NCERT Exemplar: Integrals | Mathematics (Maths) for JEE Main & Advanced
NCERT Exemplar: Integrals | Mathematics (Maths) for JEE Main & Advanced
NCERT Exemplar: Integrals | Mathematics (Maths) for JEE Main & Advanced

∴ I = tan - 1 √x .x - √x+ tan-1 √x + C =

( x + 1) tan - 1 √x -√x+ C
Hence, the correct option is (a).

Q.51.NCERT Exemplar: Integrals | Mathematics (Maths) for JEE Main & Advancedis equal to
(a)NCERT Exemplar: Integrals | Mathematics (Maths) for JEE Main & Advanced
(b)NCERT Exemplar: Integrals | Mathematics (Maths) for JEE Main & Advanced
(c)NCERT Exemplar: Integrals | Mathematics (Maths) for JEE Main & Advanced
(d)NCERT Exemplar: Integrals | Mathematics (Maths) for JEE Main & Advanced
Ans. (a)
Solution.

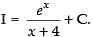
Let I =NCERT Exemplar: Integrals | Mathematics (Maths) for JEE Main & Advanced 
NCERT Exemplar: Integrals | Mathematics (Maths) for JEE Main & Advanced
NCERT Exemplar: Integrals | Mathematics (Maths) for JEE Main & Advanced
Here f(x) =NCERT Exemplar: Integrals | Mathematics (Maths) for JEE Main & Advanced
UsingNCERT Exemplar: Integrals | Mathematics (Maths) for JEE Main & Advanced
NCERT Exemplar: Integrals | Mathematics (Maths) for JEE Main & Advanced
Hence, the correct option is (a).

Q.52.NCERT Exemplar: Integrals | Mathematics (Maths) for JEE Main & Advancedis equal to
(a)NCERT Exemplar: Integrals | Mathematics (Maths) for JEE Main & Advanced
(b)NCERT Exemplar: Integrals | Mathematics (Maths) for JEE Main & Advanced
(c)NCERT Exemplar: Integrals | Mathematics (Maths) for JEE Main & Advanced
(d)NCERT Exemplar: Integrals | Mathematics (Maths) for JEE Main & Advanced
Ans. (d)
Solution.

LetNCERT Exemplar: Integrals | Mathematics (Maths) for JEE Main & Advanced
PutNCERT Exemplar: Integrals | Mathematics (Maths) for JEE Main & Advanced
NCERT Exemplar: Integrals | Mathematics (Maths) for JEE Main & Advanced
NCERT Exemplar: Integrals | Mathematics (Maths) for JEE Main & Advanced
Hence, the correct option is (d).

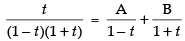
Q.53. IfNCERT Exemplar: Integrals | Mathematics (Maths) for JEE Main & Advancedthen
(a)NCERT Exemplar: Integrals | Mathematics (Maths) for JEE Main & Advanced
(b)NCERT Exemplar: Integrals | Mathematics (Maths) for JEE Main & Advanced
(c)NCERT Exemplar: Integrals | Mathematics (Maths) for JEE Main & Advanced
(d)NCERT Exemplar: Integrals | Mathematics (Maths) for JEE Main & Advanced
Ans. (c)
Solution.

Let I =NCERT Exemplar: Integrals | Mathematics (Maths) for JEE Main & Advanced
PutNCERT Exemplar: Integrals | Mathematics (Maths) for JEE Main & Advanced
1 = A(x2 + 1) + (x + 2) (Bx + C)
1 = Ax2 + A + Bx2 + Cx + 2Bx + 2C
1 = (A + B)x2 + (C + 2B)x + (A + 2C)
Comparing the like terms, we have
A + B = 0 ...(i)
2B + C = 0 ...(ii)
A + 2C = 1 ...(iii)
Subtracting (i) from (iii) we get      
2C  B = 1 ∴ B = 2C – 1

Putting the value of B in eqn. (ii) we have
2(2C – 1) + C = 0 ⇒ 4C – 2 + C = 0

5C = 2NCERT Exemplar: Integrals | Mathematics (Maths) for JEE Main & Advanced
NCERT Exemplar: Integrals | Mathematics (Maths) for JEE Main & Advanced
NCERT Exemplar: Integrals | Mathematics (Maths) for JEE Main & Advanced
NCERT Exemplar: Integrals | Mathematics (Maths) for JEE Main & Advanced
NCERT Exemplar: Integrals | Mathematics (Maths) for JEE Main & Advanced
Putting the given value of I
NCERT Exemplar: Integrals | Mathematics (Maths) for JEE Main & Advanced
NCERT Exemplar: Integrals | Mathematics (Maths) for JEE Main & Advanced
NCERT Exemplar: Integrals | Mathematics (Maths) for JEE Main & Advanced
Hence, the correct option is (c).

Q.54.NCERT Exemplar: Integrals | Mathematics (Maths) for JEE Main & Advancedis equal to
(a)NCERT Exemplar: Integrals | Mathematics (Maths) for JEE Main & Advanced
(b)NCERT Exemplar: Integrals | Mathematics (Maths) for JEE Main & Advanced
(c)NCERT Exemplar: Integrals | Mathematics (Maths) for JEE Main & Advanced
(d)NCERT Exemplar: Integrals | Mathematics (Maths) for JEE Main & Advanced
Ans. (d)
Solution.

Let I =NCERT Exemplar: Integrals | Mathematics (Maths) for JEE Main & Advanced 
NCERT Exemplar: Integrals | Mathematics (Maths) for JEE Main & Advanced
NCERT Exemplar: Integrals | Mathematics (Maths) for JEE Main & Advanced
Hence, the correct option is (d).

Q.55.NCERT Exemplar: Integrals | Mathematics (Maths) for JEE Main & Advancedis equal to 
(a) log 1 + cos x + C 
(b) log x + sin x + C
(c)NCERT Exemplar: Integrals | Mathematics (Maths) for JEE Main & Advanced
(d)NCERT Exemplar: Integrals | Mathematics (Maths) for JEE Main & Advanced
Ans. (d)
Solution.

Let I =NCERT Exemplar: Integrals | Mathematics (Maths) for JEE Main & Advanced
NCERT Exemplar: Integrals | Mathematics (Maths) for JEE Main & Advanced
NCERT Exemplar: Integrals | Mathematics (Maths) for JEE Main & Advanced
NCERT Exemplar: Integrals | Mathematics (Maths) for JEE Main & Advanced
NCERT Exemplar: Integrals | Mathematics (Maths) for JEE Main & Advanced
Hence, the correct option is (d).

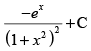
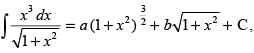
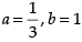
Q.56. IfNCERT Exemplar: Integrals | Mathematics (Maths) for JEE Main & Advancedthen
(a)NCERT Exemplar: Integrals | Mathematics (Maths) for JEE Main & Advanced
(b)NCERT Exemplar: Integrals | Mathematics (Maths) for JEE Main & Advanced
(c)NCERT Exemplar: Integrals | Mathematics (Maths) for JEE Main & Advanced
(d)NCERT Exemplar: Integrals | Mathematics (Maths) for JEE Main & Advanced
Ans. (d)
Solution.

Let I =NCERT Exemplar: Integrals | Mathematics (Maths) for JEE Main & Advanced
Put 1 + x2 = t ⇒ 2x dx = dt ⇒ x dx =NCERT Exemplar: Integrals | Mathematics (Maths) for JEE Main & Advanced
NCERT Exemplar: Integrals | Mathematics (Maths) for JEE Main & Advanced
NCERT Exemplar: Integrals | Mathematics (Maths) for JEE Main & Advanced
NCERT Exemplar: Integrals | Mathematics (Maths) for JEE Main & Advanced
But I = a(1 + x2 )3/2 +NCERT Exemplar: Integrals | Mathematics (Maths) for JEE Main & Advanced
Hence, the correct option is (d).

Q.57.NCERT Exemplar: Integrals | Mathematics (Maths) for JEE Main & Advancedis equal to 
(a) 1 
(b) 2 
(c) 3 
(d) 4
Ans. (a)
Solution.

Let I =NCERT Exemplar: Integrals | Mathematics (Maths) for JEE Main & Advanced 
NCERT Exemplar: Integrals | Mathematics (Maths) for JEE Main & Advanced
Hence, the correct option is (a).

Q.58.NCERT Exemplar: Integrals | Mathematics (Maths) for JEE Main & Advancedis equal to
(a) 2√2 
(b) 2( √2 + 1) 
(c) 2 
(d) 2( √2 - 1)
Ans. (d)
Solution.

Let I =NCERT Exemplar: Integrals | Mathematics (Maths) for JEE Main & Advanced
NCERT Exemplar: Integrals | Mathematics (Maths) for JEE Main & Advanced
NCERT Exemplar: Integrals | Mathematics (Maths) for JEE Main & Advanced
NCERT Exemplar: Integrals | Mathematics (Maths) for JEE Main & Advanced
Hence, the correct option is (d).

Q.59.NCERT Exemplar: Integrals | Mathematics (Maths) for JEE Main & Advancedis equal to _______.
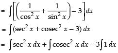
Ans.
Let I =NCERT Exemplar: Integrals | Mathematics (Maths) for JEE Main & Advanced 
Put sin x = t ⇒ cos x dx = dt
When x  = 0 then t = sin 0 = 0;  When x =NCERT Exemplar: Integrals | Mathematics (Maths) for JEE Main & Advanced
NCERT Exemplar: Integrals | Mathematics (Maths) for JEE Main & AdvancedNCERT Exemplar: Integrals | Mathematics (Maths) for JEE Main & Advanced
Hence, I = e – 1.

Q.60.NCERT Exemplar: Integrals | Mathematics (Maths) for JEE Main & Advanced= ________.

Ans.
Let I =NCERT Exemplar: Integrals | Mathematics (Maths) for JEE Main & Advanced
NCERT Exemplar: Integrals | Mathematics (Maths) for JEE Main & Advanced
PutNCERT Exemplar: Integrals | Mathematics (Maths) for JEE Main & Advanced
Let f(x) =NCERT Exemplar: Integrals | Mathematics (Maths) for JEE Main & Advanced
UsingNCERT Exemplar: Integrals | Mathematics (Maths) for JEE Main & Advanced
NCERT Exemplar: Integrals | Mathematics (Maths) for JEE Main & Advanced
Hence,NCERT Exemplar: Integrals | Mathematics (Maths) for JEE Main & Advanced

Fill in the blanks
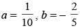
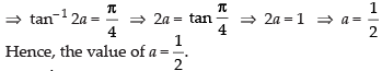
Q.61. IfNCERT Exemplar: Integrals | Mathematics (Maths) for JEE Main & Advancedthen a = ________.
Ans.
Given that:NCERT Exemplar: Integrals | Mathematics (Maths) for JEE Main & Advanced
NCERT Exemplar: Integrals | Mathematics (Maths) for JEE Main & Advanced
NCERT Exemplar: Integrals | Mathematics (Maths) for JEE Main & Advanced

Q.62.NCERT Exemplar: Integrals | Mathematics (Maths) for JEE Main & Advanced= ________.
Ans.
Let I =NCERT Exemplar: Integrals | Mathematics (Maths) for JEE Main & Advanced
Put cos x = t
∴ – sin x dx = dt ⇒ sin x dx = – dt
NCERT Exemplar: Integrals | Mathematics (Maths) for JEE Main & Advanced
NCERT Exemplar: Integrals | Mathematics (Maths) for JEE Main & Advanced
NCERT Exemplar: Integrals | Mathematics (Maths) for JEE Main & Advanced
Hence,NCERT Exemplar: Integrals | Mathematics (Maths) for JEE Main & Advanced

Q.63. The value ofNCERT Exemplar: Integrals | Mathematics (Maths) for JEE Main & Advancedsin3x cos2x dx is _______.
Ans.
Let I =NCERT Exemplar: Integrals | Mathematics (Maths) for JEE Main & Advanced
Let f(x) = sin3 x cos2 x f(– x)
= sin3(– x).cos2 (– x) = – sin3 x cos2 x = – f(x)
NCERT Exemplar: Integrals | Mathematics (Maths) for JEE Main & Advanced

The document NCERT Exemplar: Integrals | Mathematics (Maths) for JEE Main & Advanced is a part of the JEE Course Mathematics (Maths) for JEE Main & Advanced.
All you need of JEE at this link: JEE
172 videos|487 docs|154 tests

FAQs on NCERT Exemplar: Integrals - Mathematics (Maths) for JEE Main & Advanced

1. What is the concept of integration?
Ans. Integration is a mathematical operation that involves finding the antiderivative of a function. It is the reverse process of differentiation and is used to calculate the area under a curve, the accumulation of quantities over time, and various other applications in mathematics and science.
2. How can integrals be used to find the area under a curve?
Ans. Integrals can be used to find the area under a curve by evaluating the definite integral of the function over a specific interval. The integral represents the area between the curve and the x-axis within that interval. By evaluating this integral, we can determine the exact value of the area.
3. What are the different methods of integration?
Ans. There are several methods of integration, including: - Integration by substitution: This method involves substituting a variable to simplify the integral. - Integration by parts: This method is based on the product rule of differentiation and involves splitting the integral into two parts. - Partial fraction decomposition: This method is used to integrate rational functions by decomposing them into simpler fractions. - Trigonometric substitution: This method involves substituting trigonometric functions to simplify the integral.
4. How can integrals be applied in physics and engineering?
Ans. Integrals have numerous applications in physics and engineering. They can be used to calculate the work done by a force, the displacement of an object, or the velocity and acceleration of a particle. In engineering, integrals are commonly used for determining the area, volume, and moment of inertia of objects, as well as for solving differential equations that model physical systems.
5. What is the fundamental theorem of calculus?
Ans. The fundamental theorem of calculus states that if a function is continuous over a closed interval and has an antiderivative, then the definite integral of the function over that interval can be evaluated by subtracting the antiderivative at the upper limit from the antiderivative at the lower limit. In other words, it relates differentiation and integration, providing a powerful tool for evaluating integrals.
Related Searches

Sample Paper

,

NCERT Exemplar: Integrals | Mathematics (Maths) for JEE Main & Advanced

,

mock tests for examination

,

Summary

,

pdf

,

Exam

,

Viva Questions

,

study material

,

Semester Notes

,

Free

,

past year papers

,

Extra Questions

,

Previous Year Questions with Solutions

,

practice quizzes

,

Objective type Questions

,

Important questions

,

NCERT Exemplar: Integrals | Mathematics (Maths) for JEE Main & Advanced

,

MCQs

,

NCERT Exemplar: Integrals | Mathematics (Maths) for JEE Main & Advanced

,

ppt

,

shortcuts and tricks

,

video lectures

;